Department of Ophthalmology, College of Medicine, Chung-Ang University Hospital, Seoul, South Korea.
510 Air Defense Artillery Battery, 1st Air Defense Missile Brigade, Air Defense & Guided Missile Command, Republic of Korea Air Force, Pohang, Korea.
Invest Ophthalmol Vis Sci. 2020 Sep 1;61(11):12. doi: 10.1167/iovs.61.11.12.
The purpose of this study was to analyze the effects of systemic and ocular profiles on subfoveal choroidal thickness (SFChT) in treatment-naïve eyes with diabetic retinopathy (DR).
This study included patients with treatment-naïve DR. They underwent routine laboratory evaluations, including complete blood cell count, liver function tests, kidney function tests, and urinalysis for macroalbuminuria. The systemic and ocular factors associated with the change in SFChT in DR were analyzed.
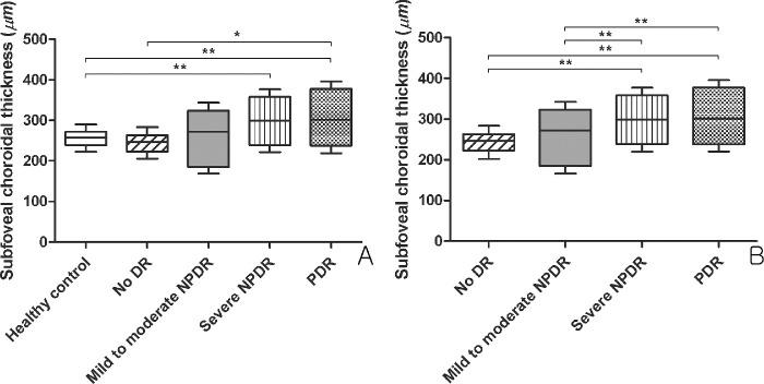
A total of 136 eyes from 136 patients with diabetes and 30 eyes from 30 age-matched healthy controls were recruited. Generalized linear model analyses showed that the SFChT in treatment-naïve eyes with DR was positively associated with the DR grade and estimated glomerular filtration rate (eGFR; P = 0.001) and negatively associated with age (P < 0.001) and serum phosphorus levels (P = 0.001). Treatment-naïve eyes with proliferative DR (PDR; 313.4 ± 9.0 µm) or severe nonproliferative DR (NPDR; 299.7 ± 9.7 µm) had thicker choroid than eyes with mild to moderate NPDR (251.7 ± 11.1 µm) or no DR (231.2 ± 14.5 µm) after adjusting for age, eGFR, and phosphorus levels.
Choroid is affected by renal function and the grade of DR in patients with diabetes. Advanced retinopathy is associated with choroidal thickening, and the severity of concomitant renal disease is associated with choroidal thinning.
本研究旨在分析未经治疗的糖尿病视网膜病变(DR)患者的全身和眼部特征对黄斑中心凹下脉络膜厚度(SFChT)的影响。
本研究纳入未经治疗的 DR 患者。他们接受了常规实验室评估,包括全血细胞计数、肝功能检查、肾功能检查和尿macroalbuminuria 分析。分析了与 DR 患者 SFChT 变化相关的全身和眼部因素。
共纳入 136 只糖尿病眼和 30 只年龄匹配的健康对照眼的 136 例患者。广义线性模型分析显示,未经治疗的 DR 患者的 SFChT 与 DR 分级和估算肾小球滤过率(eGFR;P = 0.001)呈正相关,与年龄(P < 0.001)和血清磷水平(P = 0.001)呈负相关。未经治疗的增殖性 DR(PDR;313.4 ± 9.0 µm)或严重非增殖性 DR(NPDR;299.7 ± 9.7 µm)的脉络膜比轻度至中度 NPDR(251.7 ± 11.1 µm)或无 DR(231.2 ± 14.5 µm)的脉络膜厚,调整年龄、eGFR 和磷水平后。
在糖尿病患者中,脉络膜受肾功能和 DR 分级的影响。较严重的视网膜病变与脉络膜增厚相关,同时存在的肾脏疾病的严重程度与脉络膜变薄相关。