The Division of ENT Diseases, CLINTEC, Karolinska Institutet, Stockholm, Sweden.
Division of Neuro and Inflammation Science, Department of Clinical and Experimental Medicine, Linköping University, Linköping, Sweden.
PLoS One. 2020 Sep 11;15(9):e0239161. doi: 10.1371/journal.pone.0239161. eCollection 2020.
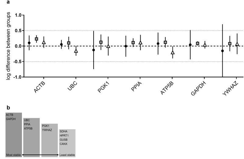
The middle ear is a small and hard to reach compartment, limiting the amount of tissue that can be extracted and the possibilities for studying the molecular mechanisms behind diseases like cholesteatoma. In this paper 14 reference gene candidates were evaluated in the middle ear mucosa of cholesteatoma patients and two different control tissues. ACTB and GAPDH were shown to be the optimal genes for the normalisation of target gene expression when investigating middle ear mucosa in multiplex qPCR analysis. Validation of reference genes using c-MYC expression confirmed the suitability of ACTB and GAPDH as reference genes and showed an upregulation of c-MYC in middle ear mucosa during cholesteatoma. The occurrence of participants of the innate immunity, TLR2 and TLR4, were analysed in order to compare healthy middle ear mucosa to cholesteatoma. Analysis of TLR2 and TLR4 showed variable results depending on control tissue used, highlighting the importance of selecting relevant control tissue when investigating causes for disease. It is our belief that a consensus regarding reference genes and control tissue will contribute to the comparability and reproducibility of studies within the field.
中耳是一个狭小而难以触及的部位,这限制了可以提取的组织量,也限制了研究胆脂瘤等疾病背后分子机制的可能性。在本文中,我们评估了 14 种候选参考基因在胆脂瘤患者和两种不同对照组织的中耳黏膜中的表达情况。结果显示,在进行多重 qPCR 分析时,ACTB 和 GAPDH 是中耳黏膜靶基因表达归一化的最佳基因。使用 c-MYC 表达验证参考基因,证实了 ACTB 和 GAPDH 作为参考基因的适用性,并显示 c-MYC 在胆脂瘤中耳黏膜中上调。为了比较健康中耳黏膜和胆脂瘤,我们分析了先天免疫的参与者 TLR2 和 TLR4。TLR2 和 TLR4 的分析结果因对照组织的不同而有所不同,这突出了在研究疾病原因时选择相关对照组织的重要性。我们相信,关于参考基因和对照组织的共识将有助于该领域研究的可比性和可重复性。