• 文献检索
  • 文档翻译
  • 深度研究
  • 学术资讯
  • Suppr Zotero 插件Zotero 插件
  • 邀请有礼
  • 套餐&价格
  • 历史记录
应用&插件
Suppr Zotero 插件Zotero 插件浏览器插件Mac 客户端Windows 客户端微信小程序
定价
高级版会员购买积分包购买API积分包
服务
文献检索文档翻译深度研究API 文档MCP 服务
关于我们
关于 Suppr公司介绍联系我们用户协议隐私条款
关注我们

Suppr 超能文献

核心技术专利:CN118964589B侵权必究
粤ICP备2023148730 号-1Suppr @ 2026

文献检索

告别复杂PubMed语法,用中文像聊天一样搜索,搜遍4000万医学文献。AI智能推荐,让科研检索更轻松。

立即免费搜索

文件翻译

保留排版,准确专业,支持PDF/Word/PPT等文件格式,支持 12+语言互译。

免费翻译文档

深度研究

AI帮你快速写综述,25分钟生成高质量综述,智能提取关键信息,辅助科研写作。

立即免费体验

评估 COVID-19 对预期寿命的潜在影响。

Assessing the potential impact of COVID-19 on life expectancy.

机构信息

Asian Demographic Research Institute, Shanghai University, Shanghai, China.

Wittgenstein Centre for Demography and Global Human Capital (Univ. Vienna, IIASA, VID/ÖAW), International Institute for Applied Systems Analysis (IIASA), Laxenburg, Austria.

出版信息

PLoS One. 2020 Sep 17;15(9):e0238678. doi: 10.1371/journal.pone.0238678. eCollection 2020.

DOI:10.1371/journal.pone.0238678
PMID:32941467
原文链接:https://pmc.ncbi.nlm.nih.gov/articles/PMC7498023/
Abstract

BACKGROUND

The COVID-19 virus pandemic has caused a significant number of deaths worldwide. If the prevalence of the infection continues to grow, this could impact life expectancy. This paper provides first estimates of the potential direct impact of the COVID-19 pandemic on period life expectancy.

METHODS

From the estimates of bias-adjusted age-specific infection fatality rates in Hubei (China) and a range of six prevalence rate assumptions ranging from 1% to 70%, we built a discrete-time microsimulation model that simulates the number of people infected by COVID-19, the number dying from it, and the number of deaths from all causes week by week for a period of one year. We applied our simulation to four broad regions: North America and Europe; Latin America and the Caribbean; Southeastern Asia; and sub-Saharan African. For each region, 100,000 individuals per each 5-year age group are simulated.

RESULTS

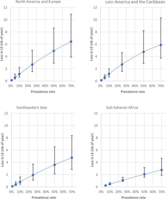
At a 10% COVID-19 prevalence rate, the loss in life expectancy at birth is likely above 1 year in North America and Europe and in Latin America and the Caribbean. In Southeastern Asia and sub-Saharan Africa, one year lost in life expectancy corresponds to an infection prevalence of about 15% and 25%, respectively. Given the uncertainty in fatality rates, with a 50% prevalence of COVID-19 infections under 95% prediction intervals, life expectancy would drop by 3 to 9 years in North America and Europe, by 3 to 8 years in Latin America and the Caribbean, by 2 to 7 years in Southeastern Asia, and by 1 to 4 years in sub-Saharan Africa. In all prevalence scenarios, as long as the COVID-19 infection prevalence rate remains below 1 or 2%, COVID-19 would not affect life expectancy in a substantial manner.

INTERPRETATION

In regions with relatively high life expectancy, if the infection prevalence threshold exceeds 1 or 2%, the COVID-19 pandemic will break the secular trend of increasing life expectancy, resulting in a decline in period life expectancy. With life expectancy being a key indicator of human development, mortality increase, especially among the vulnerable subgroups of populations, would set a country back on its path of human development.

摘要

背景

新冠病毒大流行在全球范围内造成了大量死亡。如果感染的流行率继续增长,这可能会影响预期寿命。本文首次估算了新冠大流行对期间预期寿命的潜在直接影响。

方法

我们根据中国湖北省校正后偏倚的年龄特异性感染病死率估计数和 1%至 70%的六个流行率假设范围,建立了一个离散时间微观模拟模型,该模型每周模拟一次新冠感染人数、死于该病的人数和所有原因死亡人数,为期一年。我们将模拟应用于四个广泛的地区:北美洲和欧洲;拉丁美洲和加勒比;东南亚;以及撒哈拉以南非洲。每个地区模拟 10 万名 5 岁年龄组的个体。

结果

在 10%的新冠流行率假设下,在北美洲和欧洲以及拉丁美洲和加勒比,出生时预期寿命的损失可能超过 1 年。在东南亚和撒哈拉以南非洲,预期寿命损失 1 年对应于感染率约为 15%和 25%。鉴于病死率的不确定性,如果 95%预测区间内 50%的新冠感染率,那么在北美洲和欧洲,预期寿命将下降 3 至 9 年;在拉丁美洲和加勒比,下降 3 至 8 年;在东南亚,下降 2 至 7 年;在撒哈拉以南非洲,下降 1 至 4 年。在所有流行率假设下,只要新冠感染率低于 1%或 2%,新冠大流行就不会对预期寿命产生实质性影响。

解释

在预期寿命相对较高的地区,如果感染流行率超过 1%或 2%,新冠大流行将打破预期寿命增加的长期趋势,导致期间预期寿命下降。预期寿命是人类发展的关键指标,死亡率的上升,尤其是在脆弱的人口亚群中,将使一个国家的人类发展进程倒退。

https://cdn.ncbi.nlm.nih.gov/pmc/blobs/cd5d/7498023/ee634abb5a42/pone.0238678.g001.jpg
https://cdn.ncbi.nlm.nih.gov/pmc/blobs/cd5d/7498023/ee634abb5a42/pone.0238678.g001.jpg
https://cdn.ncbi.nlm.nih.gov/pmc/blobs/cd5d/7498023/ee634abb5a42/pone.0238678.g001.jpg

相似文献

1
Assessing the potential impact of COVID-19 on life expectancy.评估 COVID-19 对预期寿命的潜在影响。
PLoS One. 2020 Sep 17;15(9):e0238678. doi: 10.1371/journal.pone.0238678. eCollection 2020.
2
A SARS-CoV-2 Surveillance System in Sub-Saharan Africa: Modeling Study for Persistence and Transmission to Inform Policy.撒哈拉以南非洲的新冠病毒监测系统:关于持续存在和传播以指导政策的建模研究
J Med Internet Res. 2020 Nov 19;22(11):e24248. doi: 10.2196/24248.
3
Global estimates of HIV infections and AIDS cases: 1991.1991年全球艾滋病毒感染和艾滋病病例估计数。
AIDS. 1991;5 Suppl 2:S57-61. doi: 10.1097/00002030-199101001-00009.
4
Potential effects of disruption to HIV programmes in sub-Saharan Africa caused by COVID-19: results from multiple mathematical models.COVID-19 对撒哈拉以南非洲地区艾滋病毒规划造成的潜在影响:来自多个数学模型的结果。
Lancet HIV. 2020 Sep;7(9):e629-e640. doi: 10.1016/S2352-3018(20)30211-3. Epub 2020 Aug 6.
5
Impact of lockdown on Covid-19 case fatality rate and viral mutations spread in 7 countries in Europe and North America.封锁对欧洲和北美 7 个国家的新冠病毒病死率和病毒突变传播的影响。
J Transl Med. 2020 Sep 2;18(1):338. doi: 10.1186/s12967-020-02501-x.
6
COVID-19 Pandemic and Burden of Non-Communicable Diseases: An Ecological Study on Data of 185 Countries.新冠疫情与非传染性疾病负担:一项基于185个国家数据的生态学研究
J Stroke Cerebrovasc Dis. 2020 Sep;29(9):105089. doi: 10.1016/j.jstrokecerebrovasdis.2020.105089. Epub 2020 Jun 25.
7
An evidence for correlation between the glutathione S-transferase T1 (GSTT1) polymorphism and outcome of COVID-19.谷胱甘肽S-转移酶T1(GSTT1)基因多态性与2019冠状病毒病(COVID-19)预后之间相关性的证据。
Clin Chim Acta. 2020 Sep;508:213-216. doi: 10.1016/j.cca.2020.05.041. Epub 2020 May 23.
8
Prevalence and Associated Risk Factors of Mortality Among COVID-19 Patients: A Meta-Analysis.COVID-19 患者死亡率的流行情况及相关危险因素:一项荟萃分析。
J Community Health. 2020 Dec;45(6):1270-1282. doi: 10.1007/s10900-020-00920-x.
9
Analyzing COVID-19 pandemic for unequal distribution of tests, identified cases, deaths, and fatality rates in the top 18 countries.分析新冠疫情在18个主要国家中检测、确诊病例、死亡病例及死亡率的不平等分布情况。
Diabetes Metab Syndr. 2020 Sep-Oct;14(5):953-961. doi: 10.1016/j.dsx.2020.06.051. Epub 2020 Jun 26.
10
[Induced abortion: a world perspective].[人工流产:全球视角]
Perspect Int Planif Fam. 1987(Spec No):12-6.

引用本文的文献

1
Exploring the Relation between Contextual Social Determinants of Health and COVID-19 Occurrence and Hospitalization.探索健康的背景性社会决定因素与新冠病毒肺炎发生及住院之间的关系。
Informatics (MDPI). 2024 Mar;11(1). doi: 10.3390/informatics11010004. Epub 2024 Jan 15.
2
Preparation for a pandemic: The need for a standardised African health protocol for diseases.大流行防范:制定非洲疾病标准化卫生协议的必要性。
J Public Health Afr. 2025 Jan 13;16(1):735. doi: 10.4102/jphia.v16i1.735. eCollection 2025.
3
Virtual reality solution to promote adapted physical activity in older adults: outcomes from VR2Care project exploratory study.

本文引用的文献

1
Beyond deaths per capita: comparative COVID-19 mortality indicators.超越人均死亡数:比较 COVID-19 死亡率指标。
BMJ Open. 2021 Mar 10;11(3):e042934. doi: 10.1136/bmjopen-2020-042934.
2
Monitoring life expectancy levels during the COVID-19 pandemic: Example of the unequal impact of the first wave on Spanish regions.监测 COVID-19 大流行期间的预期寿命水平:西班牙各地区受第一波疫情影响不均衡的实例。
PLoS One. 2020 Nov 5;15(11):e0241952. doi: 10.1371/journal.pone.0241952. eCollection 2020.
3
Estimate of the Basic Reproduction Number for COVID-19: A Systematic Review and Meta-analysis.
促进老年人适应性体育活动的虚拟现实解决方案:VR2Care项目探索性研究的结果
Front Public Health. 2025 May 13;13:1584406. doi: 10.3389/fpubh.2025.1584406. eCollection 2025.
4
Investigating the Trend of Mortality, Life Expectancy and Excessive Death with Emphasis on the Role of the COVID-19 Pandemic Period in the Isfahan Province: A Cross-sectional Study of Join Point Regression Analysis 2011-2021.以伊斯法罕省2011 - 2021年为例,通过连接点回归分析的横断面研究,探讨死亡率、预期寿命和超额死亡趋势,重点关注新冠疫情期间的作用。
Arch Iran Med. 2025 Apr 1;28(4):189-197. doi: 10.34172/aim.31306.
5
Multi-level quality assessment of United States COVID-19 epidemiological surveillance.美国新冠疫情流行病学监测的多层次质量评估
PLoS One. 2025 Feb 21;20(2):e0319263. doi: 10.1371/journal.pone.0319263. eCollection 2025.
6
Knowledge, attitude and practice of healthcare workers on infection prevention and control in Ethiopia: A systematic review and meta-analysis.医护人员对感染预防和控制在埃塞俄比亚的知识、态度和实践:系统评价和荟萃分析。
PLoS One. 2024 Sep 5;19(9):e0308348. doi: 10.1371/journal.pone.0308348. eCollection 2024.
7
Impact of COVID-19 on subnational variations in life expectancy and life disparity at birth in India: evidence from NFHS and SRS data.新冠疫情对印度各邦预期寿命及出生时寿命差距的影响:基于全国家庭健康调查(NFHS)和人口登记系统(SRS)数据的证据
Arch Public Health. 2023 Sep 4;81(1):165. doi: 10.1186/s13690-023-01170-8.
8
COVID-19 cluster identification and support vector machine classifier model construction using global healthcare and socio-economic features.利用全球医疗保健和社会经济特征识别 COVID-19 集群并构建支持向量机分类器模型。
Epidemiol Infect. 2023 Aug 30;151:e159. doi: 10.1017/S0950268823001383.
9
Implementation of a pan-European ecosystem and an interoperable platform for Smart and Healthy Ageing in Europe: An Innovation Action research protocol.在欧洲实施泛欧生态系统及用于智能健康老龄化的互操作性平台:一项创新行动研究方案。
Open Res Eur. 2022 Jul 4;2:85. doi: 10.12688/openreseurope.14827.1. eCollection 2022.
10
COVID-19 Vaccine Hesitancy Among Pregnant Women.孕妇对新冠疫苗的犹豫态度
Cureus. 2023 Jun 29;15(6):e41126. doi: 10.7759/cureus.41126. eCollection 2023 Jun.
2019年冠状病毒病基本繁殖数的估计:一项系统评价和荟萃分析
J Prev Med Public Health. 2020 May;53(3):151-157. doi: 10.3961/jpmph.20.076. Epub 2020 Mar 20.
4
Low- and middle-income countries face up to COVID-19.低收入和中等收入国家直面新冠疫情。
Nat Med. 2020 Jul;26(7):986-988. doi: 10.1038/d41591-020-00020-2.
5
Early estimates of the indirect effects of the COVID-19 pandemic on maternal and child mortality in low-income and middle-income countries: a modelling study.对 COVID-19 大流行对低收入和中等收入国家母婴死亡率间接影响的早期估计:一项建模研究。
Lancet Glob Health. 2020 Jul;8(7):e901-e908. doi: 10.1016/S2214-109X(20)30229-1. Epub 2020 May 12.
6
COVID-19 deaths in Lombardy, Italy: data in context.意大利伦巴第大区的新冠病毒疾病死亡病例:相关数据
Lancet Public Health. 2020 Jun;5(6):e310. doi: 10.1016/S2468-2667(20)30099-2. Epub 2020 Apr 25.
7
Demographic science aids in understanding the spread and fatality rates of COVID-19.人口科学有助于了解 COVID-19 的传播和死亡率。
Proc Natl Acad Sci U S A. 2020 May 5;117(18):9696-9698. doi: 10.1073/pnas.2004911117. Epub 2020 Apr 16.
8
COVID-19 in Italy: impact of containment measures and prevalence estimates of infection in the general population.意大利的新冠疫情:防控措施的影响及普通人群感染率估算
Acta Biomed. 2020 Apr 10;91(3-S):175-179. doi: 10.23750/abm.v91i3-S.9511.
9
COVID-19 and Older Adults: What We Know.COVID-19 与老年人:我们已知的情况。
J Am Geriatr Soc. 2020 May;68(5):926-929. doi: 10.1111/jgs.16472. Epub 2020 Apr 20.
10
A Systematic Review of COVID-19 Epidemiology Based on Current Evidence.基于当前证据的新型冠状病毒肺炎流行病学系统评价
J Clin Med. 2020 Mar 31;9(4):967. doi: 10.3390/jcm9040967.