Suppr超能文献

野生香蕉迁地保护面临的挑战:在巴布亚新几内亚收集的种子具有不同程度的耐干燥性。

Challenges for Ex Situ Conservation of Wild Bananas: Seeds Collected in Papua New Guinea Have Variable Levels of Desiccation Tolerance.

作者信息

Kallow Simon, Longin Kevin, Sleziak Natalia Fanega, Janssens Steven B, Vandelook Filip, Dickie John, Swennen Rony, Paofa Janet, Carpentier Sebastien, Panis Bart

机构信息

Royal Botanic Gardens Kew, Millennium Seed Bank, Wakehurst, Ardingly, Sussex RH17 6TN, UK.

Department of Biosystems, Katholieke Universiteit Leuven, Willem de Croylaan 42, 3001 Leuven, Belgium.

出版信息

Plants (Basel). 2020 Sep 21;9(9):1243. doi: 10.3390/plants9091243.

Abstract

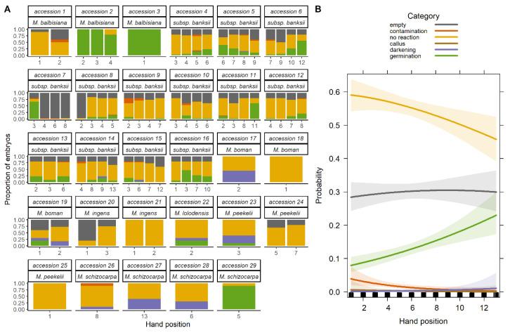
Ex situ seed conservation of banana crop wild relatives ( spp. L.), is constrained by critical knowledge gaps in their storage and germination behaviour. Additionally, challenges in collecting seeds from wild populations impact the quality of seed collections. It is, therefore, crucial to evaluate the viability of seeds from such collecting missions in order to improve the value of future seed collections. We evaluate the seed viability of 37 accessions of seven species, collected from wild populations in Papua New Guinea, during two collecting missions. Seeds from one mission had already been stored in conventional storage (dried for four months at 15% relative humidity, 20 °C and stored for two months at 15% relative humdity, -20 °C), so a post-storage test was carried out. Seeds from the second mission were assessed freshly extracted and following desiccation. We used embryo rescue techniques to overcome the barrier of germinating in vivo seeds. Seeds from the first mission had low viability (19 ± 27% mean and standard deviation) after storage for two months at 15% relative humidity and -20 °C. Colla seeds had significantly higher post-storage germination than other species ( < 0.01). Desiccation reduced germination of the seeds from the second collecting mission, from 84 ± 22% (at 16.7 ± 2.4% moisture content) to 36 ± 30% (at 2.4 ± 0.8% moisture content). There was considerable variation between and (to a lesser extent) within accessions, a proportion of individual seeds of all but one species ( N.W.Simmonds) survived desiccation and sub-zero temperature storage. We identified that seeds from the basal end of the infructescence were less likely to be viable after storage ( < 0.001); and made morphological observations that identify seeds and infructescences with higher viability in relation to their developmental maturity. We highlight the need for research into seed eco-physiology of crop wild relatives in order to improve future collecting missions.

摘要

香蕉作物野生近缘种(芭蕉属物种)的迁地种子保存受到其储存和萌发行为方面关键知识空白的限制。此外,从野生群体收集种子面临的挑战影响了种子收集的质量。因此,评估此类收集任务中种子的活力对于提高未来种子收集的价值至关重要。我们评估了在两次收集任务期间从巴布亚新几内亚野生群体收集的7个物种的37份种质的种子活力。其中一次任务收集的种子已采用常规储存方式(在相对湿度15%、20℃下干燥4个月,然后在相对湿度15%、-20℃下储存2个月),因此进行了储存后测试。对第二次任务收集的种子在新鲜提取时以及干燥后进行了评估。我们采用胚拯救技术来克服种子在体内萌发的障碍。在相对湿度15%、-20℃下储存2个月后,第一次任务收集的种子活力较低(平均为19±27%,为均值和标准差)。科拉蕉种子储存后的发芽率显著高于其他物种(P<0.01)。干燥降低了第二次收集任务种子的发芽率,从84±22%(含水量16.7±2.4%)降至36±30%(含水量2.4±0.8%)。不同种质之间以及(在较小程度上)同一种质内存在相当大的差异,除了一种(西蒙兹蕉)之外,所有物种的一部分单粒种子在干燥和零下温度储存后仍存活。我们发现果穗基部的种子储存后存活的可能性较小(P<0.001);并进行了形态学观察,以识别与发育成熟度相关的具有较高活力的种子和果穗。我们强调需要对作物野生近缘种的种子生态生理学进行研究,以改进未来的收集任务。

https://cdn.ncbi.nlm.nih.gov/pmc/blobs/4f0b/7570212/dccd55d32f94/plants-09-01243-g001.jpg

文献检索

告别复杂PubMed语法,用中文像聊天一样搜索,搜遍4000万医学文献。AI智能推荐,让科研检索更轻松。

立即免费搜索

文件翻译

保留排版,准确专业,支持PDF/Word/PPT等文件格式,支持 12+语言互译。

免费翻译文档

深度研究

AI帮你快速写综述,25分钟生成高质量综述,智能提取关键信息,辅助科研写作。

立即免费体验