• 文献检索
  • 文档翻译
  • 深度研究
  • 学术资讯
  • Suppr Zotero 插件Zotero 插件
  • 邀请有礼
  • 套餐&价格
  • 历史记录
应用&插件
Suppr Zotero 插件Zotero 插件浏览器插件Mac 客户端Windows 客户端微信小程序
定价
高级版会员购买积分包购买API积分包
服务
文献检索文档翻译深度研究API 文档MCP 服务
关于我们
关于 Suppr公司介绍联系我们用户协议隐私条款
关注我们

Suppr 超能文献

核心技术专利:CN118964589B侵权必究
粤ICP备2023148730 号-1Suppr @ 2026

文献检索

告别复杂PubMed语法,用中文像聊天一样搜索,搜遍4000万医学文献。AI智能推荐,让科研检索更轻松。

立即免费搜索

文件翻译

保留排版,准确专业,支持PDF/Word/PPT等文件格式,支持 12+语言互译。

免费翻译文档

深度研究

AI帮你快速写综述,25分钟生成高质量综述,智能提取关键信息,辅助科研写作。

立即免费体验

干燥香蕉种子以进行保存。

Drying banana seeds for conservation.

作者信息

Kallow Simon, Garcia Zuluaga Manuela, Fanega Sleziak Natalia, Nugraha Bayu, Mertens Arne, Janssens Steven B, Gueco Lavernee, Valle-Descalsota Michelle Lyka, Dang Vu Tuong, Toan Vu Dang, Thi Li Loan, Vandelook Filip, Dickie John B, Verboven Pieter, Swennen Rony, Panis Bart

机构信息

Royal Botanic Gardens Kew, Millennium Seed Bank, Wakehurst, Ardingly, Sussex, RH17 6TN, UK.

Department of Biosystems, Katholieke Universiteit Leuven, Willem de Croylaan 42, 3001 Leuven, Belgium.

出版信息

Conserv Physiol. 2022 Jan 12;10(1):coab099. doi: 10.1093/conphys/coab099. eCollection 2022.

DOI:10.1093/conphys/coab099
PMID:35492425
原文链接:https://pmc.ncbi.nlm.nih.gov/articles/PMC9041424/
Abstract

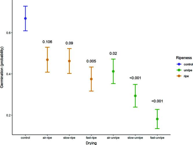
The ability of seeds to withstand drying is fundamental to seed conservation but drying responses are not well known for most wild species including crop wild relatives. We look at drying responses of seeds of and , the two primary wild relatives of bananas and plantains, using the following four experimental approaches: (i) We equilibrated seeds to a range of relative humidity (RH) levels using non-saturated lithium chloride solutions and subsequently measured moisture content (MC) and viability. At each humidity level we tested viability using embryo rescue (ER), tetrazolium chloride staining and germination in an incubator. We found that seed viability was not reduced when seeds were dried to 4% equilibrium relative humidity (eRH; equating to 2.5% MC). (ii) We assessed viability of mature and less mature seeds using ER and germination in the soil and tested responses to drying. Findings showed that seeds must be fully mature to germinate and immature seeds had negligible viability. (iii) We dried seeds extracted from ripe/unripe fruit to 35-40% eRH at different rates and tested viability with germination tests in the soil. Seeds from unripe fruit lost viability when dried and especially when dried faster; seeds from ripe fruit only lost viability when fast dried. (iv) Finally, we dried and re-imbibed mature and less mature seeds and measured embryo shrinkage and volume change using X-ray computer tomography. Embryos of less mature seeds shrank significantly when dried to 15% eRH from 0.468 to 0.262 mm, but embryos of mature seeds did not. Based on our results, mature seeds from ripe fruit are desiccation tolerant to moisture levels required for seed genebanking but embryos from immature seeds are mechanistically less able to withstand desiccation, especially when water potential gradients are high.

摘要

种子的耐干燥能力是种子保存的基础,但对于包括作物野生近缘种在内的大多数野生物种,其干燥反应尚不清楚。我们使用以下四种实验方法研究了香蕉和大蕉的两个主要野生近缘种—— 和 的种子干燥反应:(i)我们使用不饱和氯化锂溶液将种子平衡至一系列相对湿度(RH)水平,随后测量水分含量(MC)和活力。在每个湿度水平下,我们使用胚拯救(ER)、氯化三苯基四氮唑染色和在培养箱中发芽来测试活力。我们发现,当种子干燥至4%的平衡相对湿度(eRH;相当于2.5%的MC)时,种子活力并未降低。(ii)我们使用胚拯救和在土壤中发芽来评估成熟和不太成熟种子的活力,并测试对干燥的反应。结果表明,种子必须完全成熟才能发芽,未成熟种子的活力可忽略不计。(iii)我们以不同速率将从成熟/未成熟果实中提取的种子干燥至35 - 40%的eRH,并通过在土壤中的发芽试验测试活力。未成熟果实的种子在干燥时尤其是快速干燥时会失去活力;成熟果实的种子只有在快速干燥时才会失去活力。(iv)最后,我们对成熟和不太成熟的种子进行干燥和再吸水处理,并使用X射线计算机断层扫描测量胚的收缩和体积变化。未成熟种子的胚在从0.468毫米干燥至15%的eRH时显著收缩至0.262毫米,但成熟种子的胚没有。根据我们的结果,来自成熟果实的成熟种子对种子基因库所需的水分水平具有耐干燥性,但未成熟种子的胚在机械上更不耐干燥,尤其是当水势梯度较高时。

https://cdn.ncbi.nlm.nih.gov/pmc/blobs/c046/9041424/38692b9bed5b/coab099f8.jpg
https://cdn.ncbi.nlm.nih.gov/pmc/blobs/c046/9041424/2e36b777415e/coab099f1.jpg
https://cdn.ncbi.nlm.nih.gov/pmc/blobs/c046/9041424/edfacad7b065/coab099f2.jpg
https://cdn.ncbi.nlm.nih.gov/pmc/blobs/c046/9041424/69554e74df32/coab099f3.jpg
https://cdn.ncbi.nlm.nih.gov/pmc/blobs/c046/9041424/2a321b0e301f/coab099f4.jpg
https://cdn.ncbi.nlm.nih.gov/pmc/blobs/c046/9041424/a69c81be5414/coab099f5.jpg
https://cdn.ncbi.nlm.nih.gov/pmc/blobs/c046/9041424/cb02c6a780cd/coab099f6.jpg
https://cdn.ncbi.nlm.nih.gov/pmc/blobs/c046/9041424/8a2529aa8adb/coab099f7.jpg
https://cdn.ncbi.nlm.nih.gov/pmc/blobs/c046/9041424/38692b9bed5b/coab099f8.jpg
https://cdn.ncbi.nlm.nih.gov/pmc/blobs/c046/9041424/2e36b777415e/coab099f1.jpg
https://cdn.ncbi.nlm.nih.gov/pmc/blobs/c046/9041424/edfacad7b065/coab099f2.jpg
https://cdn.ncbi.nlm.nih.gov/pmc/blobs/c046/9041424/69554e74df32/coab099f3.jpg
https://cdn.ncbi.nlm.nih.gov/pmc/blobs/c046/9041424/2a321b0e301f/coab099f4.jpg
https://cdn.ncbi.nlm.nih.gov/pmc/blobs/c046/9041424/a69c81be5414/coab099f5.jpg
https://cdn.ncbi.nlm.nih.gov/pmc/blobs/c046/9041424/cb02c6a780cd/coab099f6.jpg
https://cdn.ncbi.nlm.nih.gov/pmc/blobs/c046/9041424/8a2529aa8adb/coab099f7.jpg
https://cdn.ncbi.nlm.nih.gov/pmc/blobs/c046/9041424/38692b9bed5b/coab099f8.jpg

相似文献

1
Drying banana seeds for conservation.干燥香蕉种子以进行保存。
Conserv Physiol. 2022 Jan 12;10(1):coab099. doi: 10.1093/conphys/coab099. eCollection 2022.
2
Challenges for Ex Situ Conservation of Wild Bananas: Seeds Collected in Papua New Guinea Have Variable Levels of Desiccation Tolerance.野生香蕉迁地保护面临的挑战:在巴布亚新几内亚收集的种子具有不同程度的耐干燥性。
Plants (Basel). 2020 Sep 21;9(9):1243. doi: 10.3390/plants9091243.
3
Maximizing genetic representation in seed collections from populations of self and cross-pollinated banana wild relatives.最大限度地提高自花授粉和异花授粉香蕉野生亲缘植物群体种子收集的遗传代表性。
BMC Plant Biol. 2021 Sep 9;21(1):415. doi: 10.1186/s12870-021-03142-y.
4
Increases in the longevity of desiccation-phase developing rice seeds: response to high-temperature drying depends on harvest moisture content.处于干燥阶段的发育中水稻种子寿命的延长:对高温干燥的响应取决于收获时的含水量。
Ann Bot. 2015 Aug;116(2):247-59. doi: 10.1093/aob/mcv091. Epub 2015 Jul 1.
5
Seed production and storage for endangered Morus boninensis using an ex-situ living collection.利用异地活体收集物为濒危物种构树生产和储存种子。
Plant Biol (Stuttg). 2021 Nov;23(6):956-961. doi: 10.1111/plb.13325. Epub 2021 Sep 14.
6
Revisiting the pericarp as a barrier restricting water entry/loss from cotyledons and embryonic axis of temperate desiccation-sensitive Quercus acorns.重新审视果皮作为限制温带对干燥敏感的栎属橡子子叶和胚轴水分进出的屏障。
Planta. 2023 Jan 7;257(2):33. doi: 10.1007/s00425-022-04061-4.
7
SEED DESICCATION TOLERANCE AND CRYOPRESERVATION OF PHILIPPINE CALAMANSI [x Citrofortunella microcarpa (BUNGE) WIJNANDS].菲律宾四季橘[x 金橘(邦格)维扬兹]种子的脱水耐受性与超低温保存
Cryo Letters. 2016 Jul/Aug;37(4):219-230.
8
Cryopreservation of native Kazakhstan apricot (Prunus armeniaca l) seeds and embryonic axes.哈萨克斯坦本土杏(Prunus armeniaca l)种子和胚轴的冷冻保存。
Cryo Letters. 2014 Mar-Apr;35(2):83-9.
9
Drying and storage of Melanoxylon brauna Schott. seeds.黑桤木种子的干燥与贮藏。
Braz J Biol. 2021 Mar-May;81(2):464-473. doi: 10.1590/1519-6984.232578.
10
Changes in oligosaccharide content and antioxidant enzyme activities in developing bean seeds as related to acquisition of drying tolerance and seed quality.发育中菜豆种子中寡糖含量和抗氧化酶活性的变化与干燥耐受性和种子质量的获得有关。
J Exp Bot. 2001 Apr;52(357):701-8. doi: 10.1093/jexbot/52.357.701.

引用本文的文献

1
The a-peel of storing mature seeds for wild banana conservation.用于野生香蕉保护的成熟种子储存方法
Conserv Physiol. 2022 Jul 22;10(1):coac049. doi: 10.1093/conphys/coac049. eCollection 2022.

本文引用的文献

1
Threats to global food security from emerging fungal and oomycete crop pathogens.新兴真菌和卵菌作物病原体对全球粮食安全构成的威胁。
Nat Food. 2020 Jun;1(6):332-342. doi: 10.1038/s43016-020-0075-0. Epub 2020 Jun 8.
2
Banana seed genetic resources for food security: Status, constraints, and future priorities.用于粮食安全的香蕉种子遗传资源:现状、制约因素及未来重点
Food Energy Secur. 2022 Feb;11(1):e345. doi: 10.1002/fes3.345. Epub 2021 Nov 15.
3
Challenges for Ex Situ Conservation of Wild Bananas: Seeds Collected in Papua New Guinea Have Variable Levels of Desiccation Tolerance.
野生香蕉迁地保护面临的挑战:在巴布亚新几内亚收集的种子具有不同程度的耐干燥性。
Plants (Basel). 2020 Sep 21;9(9):1243. doi: 10.3390/plants9091243.
4
Main Challenges and Actions Needed to Improve Conservation and Sustainable Use of Our Crop Wild Relatives.改善我们的作物野生近缘种保护与可持续利用所需面对的主要挑战及行动。
Plants (Basel). 2020 Jul 30;9(8):968. doi: 10.3390/plants9080968.
5
Variable desiccation tolerance in Acer pseudoplatanus seeds in relation to developmental conditions: a case of phenotypic recalcitrance?欧洲槭种子的可变干燥耐受性与发育条件的关系:表型顽拗性的一个案例?
Funct Plant Biol. 2006 Feb;33(1):59-66. doi: 10.1071/FP04206.
6
The rate of drying determines the extent of desiccation tolerance in Physcomitrella patens.干燥速率决定了小立碗藓的耐干燥程度。
Funct Plant Biol. 2014 Apr;41(5):460-467. doi: 10.1071/FP13257.
7
Climate change impacts on banana yields around the world.气候变化对全球香蕉产量产生影响。
Nat Clim Chang. 2019 Oct;9(10):752-757. doi: 10.1038/s41558-019-0559-9. Epub 2019 Sep 2.
8
Late seed maturation: drying without dying.种子成熟后期:干燥而不死亡。
J Exp Bot. 2017 Feb 1;68(4):827-841. doi: 10.1093/jxb/erw363.
9
Species diversity driven by morphological and ecological disparity: a case study of comparative seed morphology and anatomy across a large monocot order.由形态和生态差异驱动的物种多样性:以一个大型单子叶植物目种子形态与解剖结构的比较研究为例
AoB Plants. 2016 Oct 27;8. doi: 10.1093/aobpla/plw063. Print 2016.
10
Advances in seed conservation of wild plant species: a review of recent research.野生植物物种种子保存的进展:近期研究综述
Conserv Physiol. 2013 Nov 4;1(1):cot030. doi: 10.1093/conphys/cot030. eCollection 2013.