Suppr超能文献

基于方法学的智利大量医学文献数据语义分析应用于智利医学研究经费效率分析。

Methodologically grounded semantic analysis of large volume of chilean medical literature data applied to the analysis of medical research funding efficiency in Chile.

机构信息

Business Intelligence Research Center, Universidad de Chile, Beauchef 851, Santiago, Santiago, 8370459, Chile.

Computational Intelligence Group, University of Basque Country, P. Manuel Lardizabal 1, San Sebastián, 20018, Spain.

出版信息

J Biomed Semantics. 2020 Sep 29;11(1):12. doi: 10.1186/s13326-020-00226-w.

Abstract

BACKGROUND

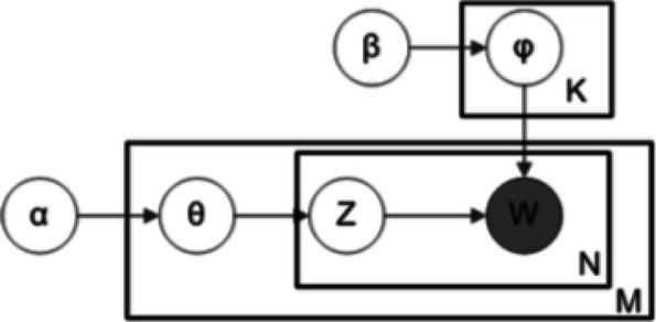
Medical knowledge is accumulated in scientific research papers along time. In order to exploit this knowledge by automated systems, there is a growing interest in developing text mining methodologies to extract, structure, and analyze in the shortest time possible the knowledge encoded in the large volume of medical literature. In this paper, we use the Latent Dirichlet Allocation approach to analyze the correlation between funding efforts and actually published research results in order to provide the policy makers with a systematic and rigorous tool to assess the efficiency of funding programs in the medical area.

RESULTS

We have tested our methodology in the Revista Médica de Chile, years 2012-2015. 50 relevant semantic topics were identified within 643 medical scientific research papers. Relationships between the identified semantic topics were uncovered using visualization methods. We have also been able to analyze the funding patterns of scientific research underlying these publications. We found that only 29% of the publications declare funding sources, and we identified five topic clusters that concentrate 86% of the declared funds.

CONCLUSIONS

Our methodology allows analyzing and interpreting the current state of medical research at a national level. The funding source analysis may be useful at the policy making level in order to assess the impact of actual funding policies, and to design new policies.

摘要

背景

医学知识是随着时间的推移在科学研究论文中积累起来的。为了通过自动化系统利用这些知识,人们越来越感兴趣地开发文本挖掘方法,以便在最短的时间内提取、构建和分析大量医学文献中编码的知识。在本文中,我们使用潜在狄利克雷分配方法来分析资金投入与实际发表的研究成果之间的相关性,以便为决策者提供一个系统和严格的工具来评估医疗领域的资金计划的效率。

结果

我们在 2012-2015 年的《智利医学杂志》上测试了我们的方法。在 643 篇医学科学研究论文中,确定了 50 个相关语义主题。使用可视化方法揭示了所确定的语义主题之间的关系。我们还能够分析这些出版物所依据的科学研究的资金模式。我们发现,只有 29%的出版物宣布了资金来源,并且我们确定了五个集中了 86%宣布资金的主题集群。

结论

我们的方法允许在国家层面上分析和解释医学研究的现状。资金来源分析在政策制定层面可能有用,以评估实际资金政策的影响,并设计新的政策。

https://cdn.ncbi.nlm.nih.gov/pmc/blobs/5522/7523397/a9b8474633ab/13326_2020_226_Fig1_HTML.jpg

文献检索

告别复杂PubMed语法,用中文像聊天一样搜索,搜遍4000万医学文献。AI智能推荐,让科研检索更轻松。

立即免费搜索

文件翻译

保留排版,准确专业,支持PDF/Word/PPT等文件格式,支持 12+语言互译。

免费翻译文档

深度研究

AI帮你快速写综述,25分钟生成高质量综述,智能提取关键信息,辅助科研写作。

立即免费体验