Suppr超能文献

带或不带石灰处理的家养鸭粪中高致病性 H5 流感病毒的自然和实验持久性。

Natural and Experimental Persistence of Highly Pathogenic H5 Influenza Viruses in Slurry of Domestic Ducks, with or without Lime Treatment.

机构信息

Ploufragan-Plouzané-Niort Laboratory, Avian and Rabbit Virology, Immunology and Parasitology Unit, French National Reference Laboratory for Avian Influenza and Newcastle Disease, French Agency for Food, Environmental and Occupational Health & Safety, Ploufragan, France

Institut Technique de l'Aviculture, UMT Sanivol, Paris, France.

出版信息

Appl Environ Microbiol. 2020 Nov 24;86(24). doi: 10.1128/AEM.02288-20.

Abstract

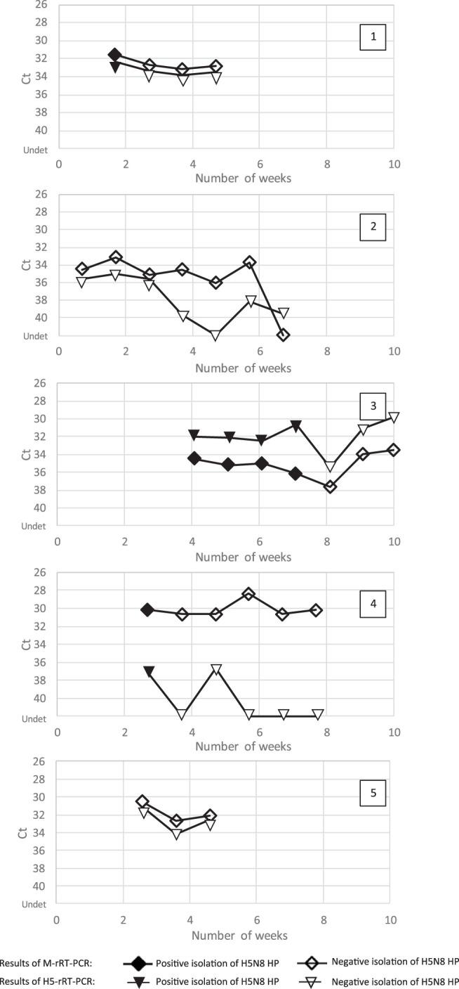
Infections by A/H5 and A/H7 avian influenza viruses (AIVs) can cause acute disease and are therefore notifiable in poultry and wild birds. During winter 2015-2016, several cases of infection caused by highly pathogenic (HP) AIVs belonging to the A/H5N1, A/H5N2, and A/H5N9 subtypes were detected in southwestern France. Throughout winter 2016-2017, several cases of infections caused mainly by A/H5N8 HP AIV (A/goose/GD/1/1996, clade 2.3.4.4) were detected across Europe. On both occasions, the viruses were widely detected on palmiped farms in France. This study was designed to evaluate the persistence of A/H5 HP AIV in slurry from various duck productions. This was achieved (i) in the laboratory setting by artificially spiking four AIV-free slurry samples with known amounts of A/H5N9 HP AIV and monitoring virus infectivity, with or without lime treatment to achieve pH 10 or pH 12, and (ii) by sampling slurry tanks on five naturally A/H5N8 HP-contaminated farms. Experimental results in artificially spiked slurry suggested virus survival for 4 weeks in slurry from Muscovy or Pekin duck breeders and for 2 weeks in slurry from ducks for foie gras production during the assisted-feeding period, without lime treatment. Persistence of infectious A/H5N9 HP AIV in all slurry samples after lime treatment at pH 10 or pH 12 was less than 1 week. The A/H5N8 HP AIV persisted in naturally contaminated untreated slurry for 7 weeks. The results obtained provide experimental support for the 60-day storage period without treatment or the 7-day interval after lime treatment defined in French regulations for slurry sanitization. From November 2015 to July 2017, two successive episodes of H5 highly pathogenic avian influenza viruses (HP AIVs) infections occurred on poultry farms in France, mostly in domestic ducks raised for foie gras production in southwestern France. During the two epizootics, epidemiological investigations were carried out on infected farms and control and biosafety measures were implemented in association with surveillance in order to stop the spread of the viruses. Effluents are known to be an important factor in environmental dissemination of viruses, and suitable effluent management is needed to help prevent the spread of epizootics to other farms or pathogen persistence at the farm level. The present study was therefore designed to assess how long infectious A/H5 HP AIVs can persist in naturally or experimentally contaminated fecal slurry samples from ducks, with or without sanitization by lime treatment.

摘要

在冬季 2015-2016 年,法国西南部检测到几例由高致病性(HP)AIV 引起的感染,这些病毒属于 A/H5N1、A/H5N2 和 A/H5N9 亚型。在整个 2016-2017 年冬季,欧洲各地检测到几例主要由 A/H5N8 HP AIV(A/goose/GD/1/1996,clade 2.3.4.4)引起的感染。在这两种情况下,病毒在法国的棕榈养殖场都有广泛检测到。本研究旨在评估 A/H5 HP AIV 在来自不同鸭生产的粪浆中的持久性。这是通过(i)在实验室环境中,用已知量的 A/H5N9 HP AIV 人工接种四个无 AIV 的粪浆样本,并监测病毒感染力,或用石灰处理达到 pH 10 或 pH 12,以及(ii)在五个自然受 A/H5N8 HP 污染的农场的粪浆罐中采样来实现的。在人工接种的粪浆中进行的实验结果表明,未经石灰处理时,鸭种鸭或北京鸭饲养场的粪浆中病毒存活 4 周,鸭肥肝生产期间的辅助喂养期粪浆中病毒存活 2 周。在 pH 10 或 pH 12 时用石灰处理后,所有粪浆样本中传染性 A/H5N9 HP AIV 的存活时间均小于 1 周。未经处理的自然污染的粪浆中 A/H5N8 HP AIV 持续存在 7 周。这些结果为法国规定的粪浆消毒 60 天无处理期或石灰处理后 7 天间隔期提供了实验支持。从 2015 年 11 月到 2017 年 7 月,法国的家禽养殖场发生了两起 H5 高致病性禽流感病毒(HP AIV)感染事件,主要发生在法国西南部用于肥肝生产的家养鸭中。在两次疫情中,对受感染的农场进行了流行病学调查,并在监测的同时实施了控制和生物安全措施,以阻止病毒的传播。众所周知,废水是病毒在环境中传播的一个重要因素,需要进行适当的废水管理,以帮助防止疫情传播到其他农场或病原体在农场一级持续存在。因此,本研究旨在评估在没有石灰处理或石灰处理的情况下,鸭的自然或实验性污染粪浆样本中传染性 A/H5 HP AIV 能存活多久。

https://cdn.ncbi.nlm.nih.gov/pmc/blobs/b06c/7688237/296e08c7b53e/AEM.02288-20-f0001.jpg

文献AI研究员

20分钟写一篇综述,助力文献阅读效率提升50倍。

立即体验

用中文搜PubMed

大模型驱动的PubMed中文搜索引擎

马上搜索

文档翻译

学术文献翻译模型,支持多种主流文档格式。

立即体验