• 文献检索
  • 文档翻译
  • 深度研究
  • 学术资讯
  • Suppr Zotero 插件Zotero 插件
  • 邀请有礼
  • 套餐&价格
  • 历史记录
应用&插件
Suppr Zotero 插件Zotero 插件浏览器插件Mac 客户端Windows 客户端微信小程序
定价
高级版会员购买积分包购买API积分包
服务
文献检索文档翻译深度研究API 文档MCP 服务
关于我们
关于 Suppr公司介绍联系我们用户协议隐私条款
关注我们

Suppr 超能文献

核心技术专利:CN118964589B侵权必究
粤ICP备2023148730 号-1Suppr @ 2026

文献检索

告别复杂PubMed语法,用中文像聊天一样搜索,搜遍4000万医学文献。AI智能推荐,让科研检索更轻松。

立即免费搜索

文件翻译

保留排版,准确专业,支持PDF/Word/PPT等文件格式,支持 12+语言互译。

免费翻译文档

深度研究

AI帮你快速写综述,25分钟生成高质量综述,智能提取关键信息,辅助科研写作。

立即免费体验

用于小细胞肺癌和非小细胞肺癌分类的CT影像组学模型的探索性研究

Exploratory Study of a CT Radiomics Model for the Classification of Small Cell Lung Cancer and Non-small-Cell Lung Cancer.

作者信息

Liu Shihe, Liu Shunli, Zhang Chuanyu, Yu Hualong, Liu Xuejun, Hu Yabin, Xu Wenjian, Tang Xiaoyan, Fu Qing

机构信息

Department of Radiology, The Affiliated Hospital of Qingdao University, Qingdao, China.

Department of Ultrasound, The Affiliated Hospital of Qingdao University, Qingdao, China.

出版信息

Front Oncol. 2020 Sep 4;10:1268. doi: 10.3389/fonc.2020.01268. eCollection 2020.

DOI:10.3389/fonc.2020.01268
PMID:33014770
原文链接:https://pmc.ncbi.nlm.nih.gov/articles/PMC7498676/
Abstract

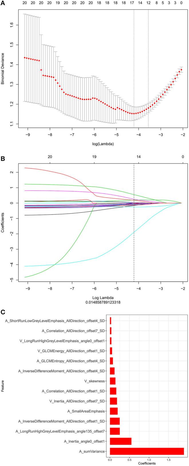
Radiomics can quantify tumor phenotypic characteristics non-invasively by applying feature algorithms to medical imaging data. In this study, we investigated the association between radiomics features and the tumor histological subtypes, and we aimed to establish a nomogram for the classification of small cell lung cancer (SCLC) and non-small-cell lung cancer (NSCLC). This was a retrospective single center study. In total, 468 cases including 202 patients with SCLC and 266 patients with NSCLC were enrolled in our study, and were randomly divided into a training set ( = 327) and a validation set ( = 141) in a 7:3 ratio. The clinical data of the patients, including age, sex, smoking history, tumor maximum diameter, clinical stage, and serum tumor markers, were collected. All patients underwent enhanced computed tomography (CT) scans, and all lesions were pathologically confirmed. A radiomics signature was generated from the training set using the least absolute shrinkage and selection operator algorithm. Independent risk factors were identified by multivariate logistic regression analysis, and a radiomics nomogram based on the radiomics signature and clinical features was constructed. The capability of the nomogram was evaluated in the training set and validated in the validation set. Fourteen of 396 radiomics parameters were screened as important factors for establishing the radiomics model. The radiomics signature performed well in differentiating SCLC and NSCLC, with an area under the curve (AUC) of 0.86 (95% CI: 0.82-0.90) in the training set and 0.82 (95% CI: 0.75-0.89) in the validation set. The radiomics nomogram had better predictive performance [AUC = 0.94 (95% CI: 0.90-0.98) in the validation set] than the clinical model [AUC = 0.86 (95% CI: 0.80-0.93)] and the radiomics signature [AUC = 0.82 (95% CI: 0.75-0.89)], and the accuracy was 86.2% (95% CI: 0.79-0.92) in the validation set. The enhanced CT radiomics signature performed well in the classification of SCLC and NSCLC. The nomogram based on the radiomics signature and clinical factors has better diagnostic performance for the classification of SCLC and NSCLC than the simple application of the radiomics signature.

摘要

放射组学可通过将特征算法应用于医学影像数据来无创地量化肿瘤表型特征。在本研究中,我们调查了放射组学特征与肿瘤组织学亚型之间的关联,并旨在建立一个用于小细胞肺癌(SCLC)和非小细胞肺癌(NSCLC)分类的列线图。这是一项回顾性单中心研究。我们的研究共纳入了468例患者,其中包括202例SCLC患者和266例NSCLC患者,并按照7:3的比例随机分为训练集(=327)和验证集(=141)。收集了患者的临床数据,包括年龄、性别、吸烟史、肿瘤最大直径、临床分期和血清肿瘤标志物。所有患者均接受了增强计算机断层扫描(CT),且所有病变均经病理证实。使用最小绝对收缩和选择算子算法从训练集中生成放射组学特征。通过多因素逻辑回归分析确定独立危险因素,并构建基于放射组学特征和临床特征的放射组学列线图。在训练集中评估列线图的性能,并在验证集中进行验证。396个放射组学参数中的14个被筛选为建立放射组学模型的重要因素。放射组学特征在区分SCLC和NSCLC方面表现良好,在训练集中曲线下面积(AUC)为0.86(95%CI:0.82 - 0.90),在验证集中为0.82(95%CI:0.75 - 0.89)。放射组学列线图比临床模型[AUC = 0.86(95%CI:0.80 - 0.93)]和放射组学特征[AUC = 0.82(95%CI:0.75 - 0.89)]具有更好的预测性能[在验证集中AUC = 0.94(95%CI:0.90 - 0.98)],在验证集中准确率为86.2%(95%CI:0.79 - 0.92)。增强CT放射组学特征在SCLC和NSCLC的分类中表现良好。基于放射组学特征和临床因素的列线图在SCLC和NSCLC分类方面比单纯应用放射组学特征具有更好的诊断性能。

https://cdn.ncbi.nlm.nih.gov/pmc/blobs/53e8/7498676/de1738d72bae/fonc-10-01268-g0009.jpg
https://cdn.ncbi.nlm.nih.gov/pmc/blobs/53e8/7498676/84f64d6cccf0/fonc-10-01268-g0001.jpg
https://cdn.ncbi.nlm.nih.gov/pmc/blobs/53e8/7498676/d044371c3793/fonc-10-01268-g0002.jpg
https://cdn.ncbi.nlm.nih.gov/pmc/blobs/53e8/7498676/1c68e294c86f/fonc-10-01268-g0003.jpg
https://cdn.ncbi.nlm.nih.gov/pmc/blobs/53e8/7498676/485c09f9cad9/fonc-10-01268-g0004.jpg
https://cdn.ncbi.nlm.nih.gov/pmc/blobs/53e8/7498676/378ffeb13442/fonc-10-01268-g0005.jpg
https://cdn.ncbi.nlm.nih.gov/pmc/blobs/53e8/7498676/1ea8aa58c2d1/fonc-10-01268-g0006.jpg
https://cdn.ncbi.nlm.nih.gov/pmc/blobs/53e8/7498676/2f568cbf05f0/fonc-10-01268-g0007.jpg
https://cdn.ncbi.nlm.nih.gov/pmc/blobs/53e8/7498676/997b884a34be/fonc-10-01268-g0008.jpg
https://cdn.ncbi.nlm.nih.gov/pmc/blobs/53e8/7498676/de1738d72bae/fonc-10-01268-g0009.jpg
https://cdn.ncbi.nlm.nih.gov/pmc/blobs/53e8/7498676/84f64d6cccf0/fonc-10-01268-g0001.jpg
https://cdn.ncbi.nlm.nih.gov/pmc/blobs/53e8/7498676/d044371c3793/fonc-10-01268-g0002.jpg
https://cdn.ncbi.nlm.nih.gov/pmc/blobs/53e8/7498676/1c68e294c86f/fonc-10-01268-g0003.jpg
https://cdn.ncbi.nlm.nih.gov/pmc/blobs/53e8/7498676/485c09f9cad9/fonc-10-01268-g0004.jpg
https://cdn.ncbi.nlm.nih.gov/pmc/blobs/53e8/7498676/378ffeb13442/fonc-10-01268-g0005.jpg
https://cdn.ncbi.nlm.nih.gov/pmc/blobs/53e8/7498676/1ea8aa58c2d1/fonc-10-01268-g0006.jpg
https://cdn.ncbi.nlm.nih.gov/pmc/blobs/53e8/7498676/2f568cbf05f0/fonc-10-01268-g0007.jpg
https://cdn.ncbi.nlm.nih.gov/pmc/blobs/53e8/7498676/997b884a34be/fonc-10-01268-g0008.jpg
https://cdn.ncbi.nlm.nih.gov/pmc/blobs/53e8/7498676/de1738d72bae/fonc-10-01268-g0009.jpg

相似文献

1
Exploratory Study of a CT Radiomics Model for the Classification of Small Cell Lung Cancer and Non-small-Cell Lung Cancer.用于小细胞肺癌和非小细胞肺癌分类的CT影像组学模型的探索性研究
Front Oncol. 2020 Sep 4;10:1268. doi: 10.3389/fonc.2020.01268. eCollection 2020.
2
Application of computed tomography-based radiomics analysis combined with lung cancer serum tumor markers in the identification of lung squamous cell carcinoma and lung adenocarcinoma.基于 CT 影像组学分析联合肺癌血清肿瘤标志物在肺鳞癌和肺腺癌鉴别诊断中的应用。
J Cancer Res Ther. 2024 Aug 1;20(4):1186-1194. doi: 10.4103/jcrt.jcrt_79_24. Epub 2024 Aug 29.
3
Bone metastasis prediction in non-small-cell lung cancer: primary CT-based radiomics signature and clinical feature.非小细胞肺癌骨转移预测:基于 CT 的原发性放射组学特征和临床特征。
BMC Med Imaging. 2024 Aug 5;24(1):203. doi: 10.1186/s12880-024-01383-5.
4
Using contrast-enhanced CT and non-contrast-enhanced CT to predict EGFR mutation status in NSCLC patients-a radiomics nomogram analysis.使用对比增强 CT 和非对比增强 CT 预测 NSCLC 患者的 EGFR 突变状态——放射组学列线图分析。
Eur Radiol. 2022 Apr;32(4):2693-2703. doi: 10.1007/s00330-021-08366-y. Epub 2021 Nov 22.
5
CT Radiomics Model for Predicting the Ki-67 Index of Lung Cancer: An Exploratory Study.用于预测肺癌Ki-67指数的CT影像组学模型:一项探索性研究
Front Oncol. 2021 Oct 11;11:743490. doi: 10.3389/fonc.2021.743490. eCollection 2021.
6
A CT-based radiomics nomogram for differentiation of focal nodular hyperplasia from hepatocellular carcinoma in the non-cirrhotic liver.基于 CT 的放射组学列线图用于区分非肝硬化肝脏中的局灶性结节性增生与肝细胞癌。
Cancer Imaging. 2020 Feb 24;20(1):20. doi: 10.1186/s40644-020-00297-z.
7
CT radiomics model for predicting the Ki-67 proliferation index of pure-solid non-small cell lung cancer: a multicenter study.预测纯实性非小细胞肺癌Ki-67增殖指数的CT影像组学模型:一项多中心研究
Front Oncol. 2023 Aug 29;13:1175010. doi: 10.3389/fonc.2023.1175010. eCollection 2023.
8
Development and Validation of a Radiomics Nomogram Using Computed Tomography for Differentiating Immune Checkpoint Inhibitor-Related Pneumonitis From Radiation Pneumonitis for Patients With Non-Small Cell Lung Cancer.基于 CT 影像的放射组学列线图模型构建及其在免疫检查点抑制剂相关性肺炎与放射性肺炎鉴别诊断中的价值:一项针对非小细胞肺癌患者的研究
Front Immunol. 2022 Apr 26;13:870842. doi: 10.3389/fimmu.2022.870842. eCollection 2022.
9
Precise prediction of the sensitivity of platinum chemotherapy in SCLC: Establishing and verifying the feasibility of a CT-based radiomics nomogram.小细胞肺癌中铂类化疗敏感性的精确预测:建立并验证基于CT的影像组学列线图的可行性
Front Oncol. 2023 Mar 16;13:1006172. doi: 10.3389/fonc.2023.1006172. eCollection 2023.
10
A CT-based radiomics nomogram for differentiation of renal angiomyolipoma without visible fat from homogeneous clear cell renal cell carcinoma.基于 CT 的影像组学列线图,用于区分无可见脂肪的肾血管平滑肌脂肪瘤与均质透明细胞肾细胞癌。
Eur Radiol. 2020 Feb;30(2):1274-1284. doi: 10.1007/s00330-019-06427-x. Epub 2019 Sep 10.

引用本文的文献

1
Peritumoral Radiomic Features on CT for Differential Diagnosis in Small-Cell Lung Cancer: Potential for Surgical Decision-Making.CT上小细胞肺癌鉴别诊断的瘤周放射组学特征:手术决策的潜力
Cancer Control. 2025 Jan-Dec;32:10732748251351754. doi: 10.1177/10732748251351754. Epub 2025 Jun 16.
2
Construction of an imaging diagnostic model based on computed tomograph signs for peripheral small cell lung cancer.基于计算机断层扫描征象构建周围型小细胞肺癌的影像诊断模型。
Pak J Med Sci. 2025 Mar;41(3):747-752. doi: 10.12669/pjms.41.3.11354.
3
CT radiomics to differentiate neuroendocrine neoplasm from adenocarcinoma in patients with a peripheral solid pulmonary nodule: a multicenter study.

本文引用的文献

1
Radiomics for Classifying Histological Subtypes of Lung Cancer Based on Multiphasic Contrast-Enhanced Computed Tomography.基于多期对比增强计算机断层扫描的肺癌组织学亚型分类的影像组学
J Comput Assist Tomogr. 2019 Mar/Apr;43(2):300-306. doi: 10.1097/RCT.0000000000000836.
2
Radiomics for Classification of Lung Cancer Histological Subtypes Based on Nonenhanced Computed Tomography.基于平扫 CT 的肺癌组织学分型影像组学研究
Acad Radiol. 2019 Sep;26(9):1245-1252. doi: 10.1016/j.acra.2018.10.013. Epub 2018 Nov 28.
3
Deep learning for lung cancer prognostication: A retrospective multi-cohort radiomics study.
CT影像组学鉴别周围型实性肺结节患者神经内分泌肿瘤与腺癌:一项多中心研究
Front Oncol. 2024 Jun 17;14:1420213. doi: 10.3389/fonc.2024.1420213. eCollection 2024.
4
Using MRI radiomics to predict the efficacy of immunotherapy for brain metastasis in patients with small cell lung cancer.利用 MRI 放射组学预测小细胞肺癌脑转移患者免疫治疗的疗效。
Thorac Cancer. 2024 Mar;15(9):738-748. doi: 10.1111/1759-7714.15259. Epub 2024 Feb 20.
5
Effectiveness of CT radiomic features combined with clinical factors in predicting prognosis in patients with limited-stage small cell lung cancer.CT 放射组学特征联合临床因素预测局限期小细胞肺癌患者预后的价值。
BMC Cancer. 2024 Feb 3;24(1):170. doi: 10.1186/s12885-024-11862-1.
6
Development and validation of a radiomics nomogram for diagnosis of malignant pleural effusion.用于诊断恶性胸腔积液的放射组学列线图的开发与验证
Discov Oncol. 2023 Nov 24;14(1):213. doi: 10.1007/s12672-023-00835-8.
7
Automated Classification of Lung Cancer Subtypes Using Deep Learning and CT-Scan Based Radiomic Analysis.使用深度学习和基于CT扫描的放射组学分析对肺癌亚型进行自动分类
Bioengineering (Basel). 2023 Jun 6;10(6):690. doi: 10.3390/bioengineering10060690.
8
Benign-malignant classification of pulmonary nodules by low-dose spiral computerized tomography and clinical data with machine learning in opportunistic screening.低剂量螺旋 CT 结合临床资料与机器学习在机会性筛查中对肺结节的良恶性分类。
Cancer Med. 2023 Jun;12(11):12050-12064. doi: 10.1002/cam4.5886. Epub 2023 May 29.
9
CT radiomics model combined with clinical and radiographic features for discriminating peripheral small cell lung cancer from peripheral lung adenocarcinoma.结合临床和影像学特征的CT影像组学模型用于鉴别外周型小细胞肺癌和外周型肺腺癌
Front Oncol. 2023 Mar 20;13:1157891. doi: 10.3389/fonc.2023.1157891. eCollection 2023.
10
Feature selection methods and predictive models in CT lung cancer radiomics.CT 肺癌影像组学中的特征选择方法和预测模型。
J Appl Clin Med Phys. 2023 Jan;24(1):e13869. doi: 10.1002/acm2.13869. Epub 2022 Dec 17.
深度学习在肺癌预后预测中的应用:一项回顾性多队列放射组学研究。
PLoS Med. 2018 Nov 30;15(11):e1002711. doi: 10.1371/journal.pmed.1002711. eCollection 2018 Nov.
4
Spectral CT Imaging of Lung Cancer: Quantitative Analysis of Spectral Parameters and Their Correlation with Tumor Characteristics.肺癌的光谱 CT 成像:光谱参数的定量分析及其与肿瘤特征的相关性。
Acad Radiol. 2018 Nov;25(11):1398-1404. doi: 10.1016/j.acra.2018.04.017. Epub 2018 May 8.
5
Radiomics-based features for pattern recognition of lung cancer histopathology and metastases.基于放射组学的肺癌组织病理学和转移模式识别特征。
Comput Methods Programs Biomed. 2018 Jun;159:23-30. doi: 10.1016/j.cmpb.2018.02.015. Epub 2018 Feb 27.
6
Radiomic signature as a diagnostic factor for histologic subtype classification of non-small cell lung cancer.放射组学特征作为非小细胞肺癌组织学分型分类的诊断因素。
Eur Radiol. 2018 Jul;28(7):2772-2778. doi: 10.1007/s00330-017-5221-1. Epub 2018 Feb 15.
7
Interstitial lung disease: the diagnostic role of bronchoscopy.间质性肺疾病:支气管镜检查的诊断作用
J Thorac Dis. 2017 Sep;9(Suppl 10):S996-S1010. doi: 10.21037/jtd.2017.06.39.
8
Defining a Radiomic Response Phenotype: A Pilot Study using targeted therapy in NSCLC.定义放射组学反应表型:一项针对 NSCLC 靶向治疗的初步研究。
Sci Rep. 2016 Sep 20;6:33860. doi: 10.1038/srep33860.
9
Development and Validation of a Radiomics Nomogram for Preoperative Prediction of Lymph Node Metastasis in Colorectal Cancer.基于影像组学的直肠癌淋巴结转移术前预测列线图模型的建立与验证。
J Clin Oncol. 2016 Jun 20;34(18):2157-64. doi: 10.1200/JCO.2015.65.9128. Epub 2016 May 2.
10
Exploratory Study to Identify Radiomics Classifiers for Lung Cancer Histology.用于识别肺癌组织学的放射组学分类器的探索性研究。
Front Oncol. 2016 Mar 30;6:71. doi: 10.3389/fonc.2016.00071. eCollection 2016.