Suppr超能文献

利用 BIA 测量法评估正常体重和超重青少年儿童的总体水含量。

Total body water by BIA in children and young adults with normal and excessive weight.

机构信息

Department of Pediatrics, Wayne State University School of Medicine, Detroit, Michigan, United States of America.

Department of Internal Medicine, Wayne State University School of Medicine, Detroit, Michigan, United States of America.

出版信息

PLoS One. 2020 Oct 8;15(10):e0239212. doi: 10.1371/journal.pone.0239212. eCollection 2020.

Abstract

BACKGROUND

Estimation of total body water (TBW) is essential for clinical care.

OBJECTIVE

Evaluation of changes in TBW by bioelectrical impedance analysis (BIA) in children and young adults with excessive weight.

DESIGN

Data was collected in individuals aged 3-21 years with normal (n = 202) or excessive body weight (n = 133). The BIA results from individuals with normal weight were compared with two previously published studies in children by isotope dilution methods.

RESULTS

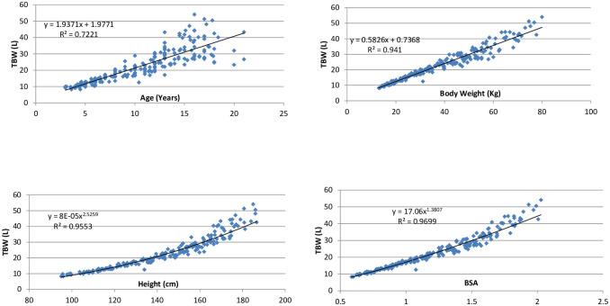
Individuals with excessive weight had a higher mean TBW (27.87 L, SE 0.368) for height and age as compared to individuals with normal weight (23.95 L, SE 0.298), P<0.001. However, individuals with excessive weight had lower mean TBW (24.93 L, SE 0.37) for weight and body surface area (BSA) as compared to individuals with normal weight (26.94 L, SE 0.287), P<0.001. Comparison with two previously published studies showed no significant differences in mean TBW with one ((p = 1.00) but a significant difference with another study (p = 0.001).

CONCLUSIONS

Individuals with excessive weight had 16.5% higher mean TBW for height and age and 7.4% lower TBW for weight and BSA as compared to normal weight individuals. Our study validates the feasibility of data collection in pediatric outpatient setting by BIA.

摘要

背景

全身水(TBW)的估计对于临床护理至关重要。

目的

评估超重儿童和年轻人通过生物电阻抗分析(BIA)的 TBW 变化。

设计

收集了年龄在 3-21 岁的个体的数据,这些个体的体重正常(n=202)或超重(n=133)。将体重正常个体的 BIA 结果与先前通过同位素稀释法发表的两项关于儿童的研究进行了比较。

结果

与体重正常的个体相比,超重个体的身高和年龄的平均 TBW(27.87 L,SE 0.368)更高(23.95 L,SE 0.298),P<0.001。然而,与体重正常的个体相比,超重个体的体重和体表面积(BSA)的平均 TBW(24.93 L,SE 0.37)更低(26.94 L,SE 0.287),P<0.001。与先前发表的两项研究相比,一项研究中平均 TBW 没有显著差异(p=1.00),但另一项研究中差异显著(p=0.001)。

结论

与体重正常的个体相比,超重个体的身高和年龄的平均 TBW 高 16.5%,体重和 BSA 的 TBW 低 7.4%。我们的研究验证了通过 BIA 在儿科门诊环境中进行数据收集的可行性。

https://cdn.ncbi.nlm.nih.gov/pmc/blobs/7f24/7544096/131330daf65a/pone.0239212.g001.jpg

文献AI研究员

20分钟写一篇综述,助力文献阅读效率提升50倍。

立即体验

用中文搜PubMed

大模型驱动的PubMed中文搜索引擎

马上搜索

文档翻译

学术文献翻译模型,支持多种主流文档格式。

立即体验