Suppr超能文献

荧光成像中的纹理分析技术对口腔标准癌和口腔癌前异常区域的分类:医疗专业人员在回路中。

Healthcare Professional in the Loop (HPIL): Classification of Standard and Oral Cancer-Causing Anomalous Regions of Oral Cavity Using Textural Analysis Technique in Autofluorescence Imaging.

机构信息

Center for Intelligent Medical Electronics, Department of Electronic Engineering, School of Information Science and Technology, Fudan University, Shanghai 200433, China.

Innovation Division Technical University of Denmark, 2800 Lyngby, Denmark.

出版信息

Sensors (Basel). 2020 Oct 12;20(20):5780. doi: 10.3390/s20205780.

Abstract

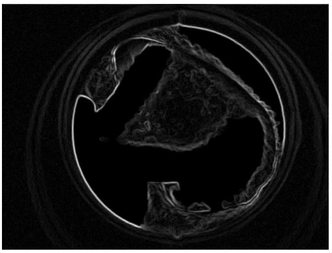
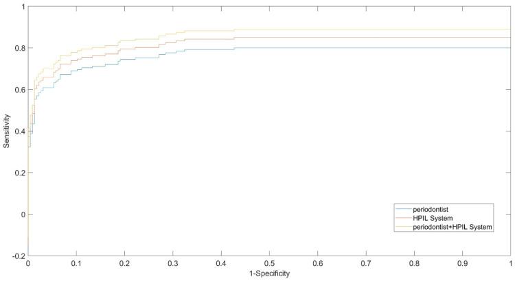
Oral mucosal lesions (OML) and oral potentially malignant disorders (OPMDs) have been identified as having the potential to transform into oral squamous cell carcinoma (OSCC). This research focuses on the human-in-the-loop-system named Healthcare Professionals in the Loop (HPIL) to support diagnosis through an advanced machine learning procedure. HPIL is a novel system approach based on the textural pattern of OML and OPMDs (anomalous regions) to differentiate them from standard regions of the oral cavity by using autofluorescence imaging. An innovative method based on pre-processing, e.g., the Deriche-Canny edge detector and circular Hough transform (CHT); a post-processing textural analysis approach using the gray-level co-occurrence matrix (GLCM); and a feature selection algorithm (linear discriminant analysis (LDA)), followed by k-nearest neighbor (KNN) to classify OPMDs and the standard region, is proposed in this paper. The accuracy, sensitivity, and specificity in differentiating between standard and anomalous regions of the oral cavity are 83%, 85%, and 84%, respectively. The performance evaluation was plotted through the receiver operating characteristics of periodontist diagnosis with the HPIL system and without the system. This method of classifying OML and OPMD areas may help the dental specialist to identify anomalous regions for performing their biopsies more efficiently to predict the histological diagnosis of epithelial dysplasia.

摘要

口腔黏膜病变(OML)和口腔潜在恶性疾病(OPMDs)已被确定为有可能转化为口腔鳞状细胞癌(OSCC)。本研究专注于一种名为医疗保健专业人员参与的人机交互系统(HPIL),通过先进的机器学习程序支持诊断。HPIL 是一种基于 OML 和 OPMDs(异常区域)纹理模式的新型系统方法,通过自发荧光成像将其与口腔标准区域区分开来。本文提出了一种基于预处理(例如 Deriche-Canny 边缘检测和圆形霍夫变换(CHT))、使用灰度共生矩阵(GLCM)进行纹理分析的后处理方法以及特征选择算法(线性判别分析(LDA))的创新方法,然后是 k-最近邻(KNN)来对 OPMD 和标准区域进行分类。在区分口腔标准和异常区域方面,准确性、灵敏度和特异性分别为 83%、85%和 84%。通过牙周病医生使用 HPIL 系统和不使用系统进行诊断的接收器工作特性来绘制性能评估。这种分类 OML 和 OPMD 区域的方法可能有助于牙科专家识别异常区域,以便更有效地进行活检,从而预测上皮发育不良的组织学诊断。

https://cdn.ncbi.nlm.nih.gov/pmc/blobs/36e8/7601168/888ff1eacff7/sensors-20-05780-g001.jpg

文献AI研究员

20分钟写一篇综述,助力文献阅读效率提升50倍。

立即体验

用中文搜PubMed

大模型驱动的PubMed中文搜索引擎

马上搜索

文档翻译

学术文献翻译模型,支持多种主流文档格式。

立即体验