Suppr超能文献

阴离子卟啉光动力失活灰葡萄孢:一种替代的葡萄藤害虫管理方法。

Photodynamic inactivation of Botrytis cinerea by an anionic porphyrin: an alternative pest management of grapevine.

机构信息

PEIRENE-EA7500, Faculty of Sciences and Technology, University of Limoges, 123 avenue Albert Thomas, 87060, Limoges, France.

出版信息

Sci Rep. 2020 Oct 15;10(1):17438. doi: 10.1038/s41598-020-74427-9.

Abstract

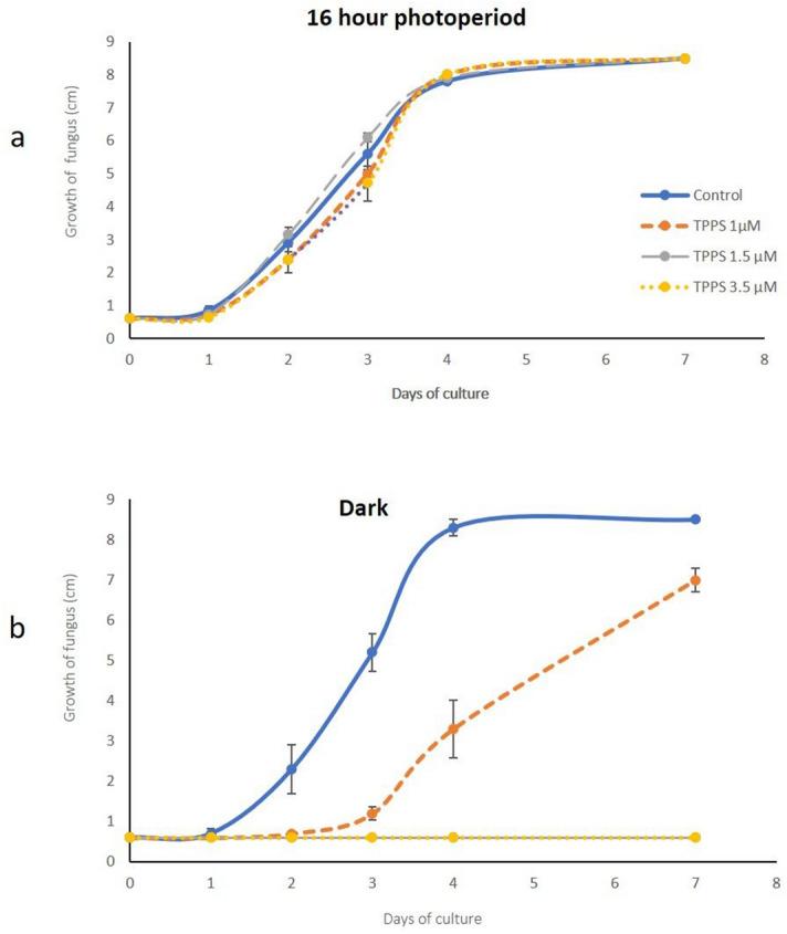
Botrytis cinerea is a necrotic plant fungus that causes gray mold disease in over 200 crops, including grapevine. Due to its genetic plasticity, this fungus presents strong resistance to many fungicides. Thus, new strategies against B. cinerea are urgently needed. In this context, antimicrobial photodynamic treatment (APDT) was considered. APDT involves the use of a photosensitizer that generates reactive oxygen species upon illumination with white light. Tetra-4-sulfonatophenyl porphyrin tetra-ammonium (TPPS) was tested on B. cinerea using light. 1.5 µM TPPS completely inhibited mycelial growth. TPPS (12.5 µM) was tested on three grapevine clones from Chardonnay, Merlot and Sauvignon, grown in vitro for 2 months. Treated root apparatus of the three backgrounds increased thiol production as a molecular protection against photoactivated TPPS, leading to a normal phenotype as compared with control plantlets. Finally, 2-month-old grapevine leaves were infected with 4-day-old mycelium of B. cinerea pre-incubated or not with TPPS. The pre-treated mycelium was unable to infect the detached leaves of any of the three grapevine varieties after 72 h growth when subjected to a 16 h photoperiod, contrary to untreated mycelium. These results suggest a strong potential of photo-treatment against B. cinerea mycelium for future agricultural practices in vineyard or other cultures.

摘要

灰葡萄孢是一种坏死植物真菌,可导致 200 多种作物(包括葡萄藤)发生灰霉病。由于其遗传可塑性,该真菌对许多杀真菌剂表现出很强的抗性。因此,迫切需要针对 B. cinerea 的新策略。在这种情况下,考虑了抗菌光动力治疗(APDT)。APDT 涉及使用一种光敏剂,该光敏剂在白光照射下会产生活性氧。四-4-磺基苯基卟啉四铵(TPPS)在光照下用于 B. cinerea 的测试。1.5μM 的 TPPS 完全抑制了菌丝生长。12.5μM 的 TPPS 用于在体外生长 2 个月的霞多丽、梅洛和长相思三个葡萄克隆体上进行测试。三种背景的处理根器官增加了巯基的产生,作为对光激活 TPPS 的分子保护,与对照苗相比,导致正常表型。最后,用经过 4 天预孵育或未预孵育 TPPS 的 B. cinerea 菌丝体感染 2 个月大的葡萄叶片。在用 16 小时光周期照射 72 小时后,预处理的菌丝体无法感染三种葡萄品种的离体叶片,而未经处理的菌丝体则可以。这些结果表明,光处理对 B. cinerea 菌丝体具有很强的潜力,可用于未来的葡萄园或其他文化中的农业实践。

https://cdn.ncbi.nlm.nih.gov/pmc/blobs/4980/7566482/4600b76ea21f/41598_2020_74427_Fig1_HTML.jpg

文献AI研究员

20分钟写一篇综述,助力文献阅读效率提升50倍。

立即体验

用中文搜PubMed

大模型驱动的PubMed中文搜索引擎

马上搜索

文档翻译

学术文献翻译模型,支持多种主流文档格式。

立即体验