Suppr超能文献

肌肉注射混合睾酮酯不会在短期内增强有运动习惯的年轻男性的力量和爆发力。

An Intramuscular Injection of Mixed Testosterone Esters Does Not Acutely Enhance Strength and Power in Recreationally Active Young Men.

作者信息

Solheim Sara Amalie, Mørkeberg Jakob, Juul Anders, Freiesleben Stine Yde, Upners Emmie N, Dehnes Yvette, Nordsborg Nikolai Baastrup

机构信息

Department of Nutrition, Exercise and Sports, University of Copenhagen, Copenhagen, Denmark.

Anti Doping Denmark, Brøndby, Denmark.

出版信息

Front Physiol. 2020 Sep 23;11:563620. doi: 10.3389/fphys.2020.563620. eCollection 2020.

Abstract

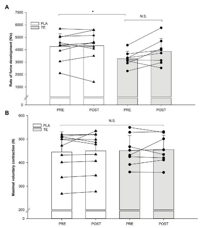
: Limited data are available on the acute performance-enhancing effects of single-dose administration of testosterone in healthy humans. Studies of testosterone administrations to healthy humans are rare due to the difficult nature and necessity of close clinical monitoring. However, our unique physiological experimental facilities combined with close endocrinological collaboration have allowed us to safely complete such a study. We tested the hypothesis that an intramuscular injection of 250 mg mixed testosterone esters (TEs) enhances physical performance in strength and power exercises acutely, measured 24 h after injection. Additionally, we investigated whether the basal serum testosterone concentration influences the performance in countermovement jump (CMJ), 30-s all out cycle sprint, and one-arm isometric elbow flexion. : In a randomized, double-blind, placebo-controlled design, 19 eugonadal men received either a TE ( = 9, 23 ± 1 years, 183 ± 7 cm, 83 ± 10 kg) or a PLA ( = 10, 25 ± 2 years, 186 ± 6 cm, 82 ± 14 kg) injection. Hormonal levels and the performance in CMJ, 30-s all out cycle sprint, and one-arm isometric elbow flexion were measured before and 24 h after injection. : Firstly, an intramuscular injection of 250 mg mixed TEs did not enhance the vertical jump height in a CMJ test, peak power, mean power, and fatigue index in a 30-s all-out cycle sprint or rate of force development and maximal voluntary contraction in a one-arm isometric elbow flexion 24 h post-injection. Secondly, baseline testosterone levels appeared not to influence performance in strength and power exercises to a large extent in healthy, recreationally active young men. : A single intramuscular injection of 250 mg mixed TEs has no acute ergogenic effects on strength and power performance in recreationally active, young men. This novel information has implication for basic physiological understanding. Whether the same applies to an elite athlete population remains to be determined. If so, this would have implications for anti-doping efforts aiming to determine the most cost-efficient testing programs.

摘要

关于单剂量睾酮对健康人体急性增强运动表现的作用,现有数据有限。由于密切临床监测的困难性质和必要性,对健康人体进行睾酮给药的研究很少。然而,我们独特的生理实验设施与密切的内分泌学合作使我们能够安全地完成这样一项研究。我们检验了以下假设:肌肉注射250毫克混合睾酮酯(TEs)可在注射后24小时急性增强力量和爆发力训练中的身体表现。此外,我们研究了基础血清睾酮浓度是否会影响反向纵跳(CMJ)、30秒全力自行车冲刺和单臂等长屈肘的表现。

在一项随机、双盲、安慰剂对照设计中,19名性腺功能正常的男性接受了TE(n = 9,年龄23 ± 1岁,身高183 ± 7厘米,体重83 ± 10千克)或PLA(n = 10,年龄25 ± 2岁,身高186 ± 6厘米,体重82 ± 14千克)注射。在注射前和注射后24小时测量激素水平以及CMJ、30秒全力自行车冲刺和单臂等长屈肘的表现。

首先,肌肉注射250毫克混合TEs在注射后24小时并未提高CMJ测试中的垂直跳高度、30秒全力自行车冲刺中的峰值功率、平均功率和疲劳指数,也未提高单臂等长屈肘中的力量发展速率和最大自主收缩。其次,在健康、有运动习惯的年轻男性中,基线睾酮水平似乎在很大程度上不会影响力量和爆发力训练的表现。

单次肌肉注射250毫克混合TEs对有运动习惯的年轻男性的力量和爆发力表现没有急性促力作用。这一新信息对基础生理学理解具有启示意义。这是否同样适用于精英运动员群体仍有待确定。如果适用,这将对旨在确定最具成本效益的检测方案的反兴奋剂工作产生影响。

https://cdn.ncbi.nlm.nih.gov/pmc/blobs/8a60/7538707/2c399e0e3e4a/fphys-11-563620-g001.jpg

文献检索

告别复杂PubMed语法,用中文像聊天一样搜索,搜遍4000万医学文献。AI智能推荐,让科研检索更轻松。

立即免费搜索

文件翻译

保留排版,准确专业,支持PDF/Word/PPT等文件格式,支持 12+语言互译。

免费翻译文档

深度研究

AI帮你快速写综述,25分钟生成高质量综述,智能提取关键信息,辅助科研写作。

立即免费体验