• 文献检索
  • 文档翻译
  • 深度研究
  • 学术资讯
  • Suppr Zotero 插件Zotero 插件
  • 邀请有礼
  • 套餐&价格
  • 历史记录
应用&插件
Suppr Zotero 插件Zotero 插件浏览器插件Mac 客户端Windows 客户端微信小程序
定价
高级版会员购买积分包购买API积分包
服务
文献检索文档翻译深度研究API 文档MCP 服务
关于我们
关于 Suppr公司介绍联系我们用户协议隐私条款
关注我们

Suppr 超能文献

核心技术专利:CN118964589B侵权必究
粤ICP备2023148730 号-1Suppr @ 2026

文献检索

告别复杂PubMed语法,用中文像聊天一样搜索,搜遍4000万医学文献。AI智能推荐,让科研检索更轻松。

立即免费搜索

文件翻译

保留排版,准确专业,支持PDF/Word/PPT等文件格式,支持 12+语言互译。

免费翻译文档

深度研究

AI帮你快速写综述,25分钟生成高质量综述,智能提取关键信息,辅助科研写作。

立即免费体验

一种带有液压执行器的人形下肢外骨骼的运动学模型。

A Kinematic Model of a Humanoid Lower Limb Exoskeleton with Hydraulic Actuators.

机构信息

Department of Mechanical Engineering, Koszalin University of Technology, 75453 Koszalin, Poland.

Institute of Health Science, Slupsk Pomeranian University, 76200 Slupsk, Poland.

出版信息

Sensors (Basel). 2020 Oct 27;20(21):6116. doi: 10.3390/s20216116.

DOI:10.3390/s20216116
PMID:33121194
原文链接:https://pmc.ncbi.nlm.nih.gov/articles/PMC7663499/
Abstract

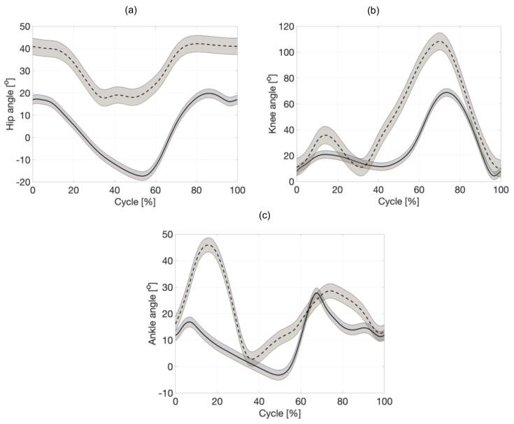
Although it is well-established that exoskeletons as robots attached to the extremities of the human body increase their strength, limited studies presented a computer and mathematical model of a human leg hydraulic exoskeleton based on anthropometric data. This study aimed to examine lower limb joint angles during walking and running by using Inertial Measurement Units. The geometry and kinematic parameters were calculated. Twenty-six healthy adults participated in walking and running experiments. The geometric model of a human leg hydraulic exoskeleton was presented. Joint angle data acquired during experiments were used in the mathematical model. The position and velocity of exoskeleton actuators in each phase of movement were calculated using the MATLAB package (Matlab_R2017b, The MathWorks Company, Novi, MI, USA). The highest velocity of the knee actuator during walking and running was in the swing phase, 0.3 and 0.4 m/s, respectively. For the ankle and hip joints, the highest velocity of actuators occurred during the push-off phase. The results with 26 healthy subjects demonstrated that the system's compliance can be effectively adjusted while guiding the subjects walking in predefined trajectories. The developed mathematical model makes it possible to determine the position of lower limb segments and exoskeleton elements. The proposed model allows for calculating the position of the human leg and actuators' characteristic points.

摘要

虽然已经证实,附着在人体四肢上的外骨骼机器人可以增强力量,但有限的研究提出了一种基于人体测量数据的计算机和数学模型的人类腿部液压外骨骼。本研究旨在使用惯性测量单元(IMU)检查行走和跑步时下肢关节角度。计算了几何和运动学参数。26 名健康成年人参与了行走和跑步实验。提出了人类腿部液压外骨骼的几何模型。在实验中获得的关节角度数据被用于数学模型。使用 MATLAB 软件包(Matlab_R2017b,MathWorks 公司,Novi,MI,USA)计算了运动各阶段中外骨骼执行器的位置和速度。在行走和跑步过程中,膝关节执行器的最高速度分别为 0.3 和 0.4m/s。对于踝关节和髋关节,执行器的最高速度发生在蹬离阶段。26 名健康受试者的结果表明,该系统的顺应性可以在引导受试者按照预定轨迹行走时进行有效调整。所开发的数学模型可以确定下肢节段和外骨骼元件的位置。所提出的模型允许计算人体腿部和执行器特征点的位置。

https://cdn.ncbi.nlm.nih.gov/pmc/blobs/96f1/7663499/e8a88c433bf6/sensors-20-06116-g008.jpg
https://cdn.ncbi.nlm.nih.gov/pmc/blobs/96f1/7663499/768bbfc558d3/sensors-20-06116-g001.jpg
https://cdn.ncbi.nlm.nih.gov/pmc/blobs/96f1/7663499/8f4512ecd034/sensors-20-06116-g002.jpg
https://cdn.ncbi.nlm.nih.gov/pmc/blobs/96f1/7663499/870213292e08/sensors-20-06116-g003.jpg
https://cdn.ncbi.nlm.nih.gov/pmc/blobs/96f1/7663499/2c94648ef3a0/sensors-20-06116-g004.jpg
https://cdn.ncbi.nlm.nih.gov/pmc/blobs/96f1/7663499/6c483d144925/sensors-20-06116-g005.jpg
https://cdn.ncbi.nlm.nih.gov/pmc/blobs/96f1/7663499/632a4bc52dda/sensors-20-06116-g006.jpg
https://cdn.ncbi.nlm.nih.gov/pmc/blobs/96f1/7663499/692e6da99133/sensors-20-06116-g007.jpg
https://cdn.ncbi.nlm.nih.gov/pmc/blobs/96f1/7663499/e8a88c433bf6/sensors-20-06116-g008.jpg
https://cdn.ncbi.nlm.nih.gov/pmc/blobs/96f1/7663499/768bbfc558d3/sensors-20-06116-g001.jpg
https://cdn.ncbi.nlm.nih.gov/pmc/blobs/96f1/7663499/8f4512ecd034/sensors-20-06116-g002.jpg
https://cdn.ncbi.nlm.nih.gov/pmc/blobs/96f1/7663499/870213292e08/sensors-20-06116-g003.jpg
https://cdn.ncbi.nlm.nih.gov/pmc/blobs/96f1/7663499/2c94648ef3a0/sensors-20-06116-g004.jpg
https://cdn.ncbi.nlm.nih.gov/pmc/blobs/96f1/7663499/6c483d144925/sensors-20-06116-g005.jpg
https://cdn.ncbi.nlm.nih.gov/pmc/blobs/96f1/7663499/632a4bc52dda/sensors-20-06116-g006.jpg
https://cdn.ncbi.nlm.nih.gov/pmc/blobs/96f1/7663499/692e6da99133/sensors-20-06116-g007.jpg
https://cdn.ncbi.nlm.nih.gov/pmc/blobs/96f1/7663499/e8a88c433bf6/sensors-20-06116-g008.jpg

相似文献

1
A Kinematic Model of a Humanoid Lower Limb Exoskeleton with Hydraulic Actuators.一种带有液压执行器的人形下肢外骨骼的运动学模型。
Sensors (Basel). 2020 Oct 27;20(21):6116. doi: 10.3390/s20216116.
2
A kinematic model of a humanoid lower limb exoskeleton with pneumatic actuators.一种带有气动执行器的类人下肢外骨骼的运动学模型。
Acta Bioeng Biomech. 2022;24(1):145-157.
3
Dynamic Model of a Humanoid Exoskeleton of a Lower Limb with Hydraulic Actuators.下肢液压驱动人形外骨骼的动力学模型。
Sensors (Basel). 2021 May 14;21(10):3432. doi: 10.3390/s21103432.
4
Estimation of the Continuous Walking Angle of Knee and Ankle (Talocrural Joint, Subtalar Joint) of a Lower-Limb Exoskeleton Robot Using a Neural Network.利用神经网络估算下肢外骨骼机器人的膝关节和踝关节(距下关节)连续行走角度。
Sensors (Basel). 2021 Apr 16;21(8):2807. doi: 10.3390/s21082807.
5
Novel swing-assist un-motorized exoskeletons for gait training.用于步态训练的新型摆动辅助非机动外骨骼
J Neuroeng Rehabil. 2009 Jul 3;6:24. doi: 10.1186/1743-0003-6-24.
6
Kinematics study of a 10 degrees-of-freedom lower extremity exoskeleton for crutch-less walking rehabilitation.一种用于无杖行走康复的 10 自由度下肢外骨骼的运动学研究。
Technol Health Care. 2022;30(3):747-755. doi: 10.3233/THC-213144.
7
Modulating Multiarticular Energy during Human Walking and Running with an Unpowered Exoskeleton.使用无动力外骨骼调节人体行走和跑步时的多关节能量。
Sensors (Basel). 2022 Nov 6;22(21):8539. doi: 10.3390/s22218539.
8
Design and analysis of a lightweight lower extremity exoskeleton with novel compliant ankle joints.设计并分析一种带有新型柔顺踝关节的轻型下肢外骨骼。
Technol Health Care. 2022;30(4):881-894. doi: 10.3233/THC-213177.
9
The Wearable Lower Limb Rehabilitation Exoskeleton Kinematic Analysis and Simulation.可穿戴下肢康复外骨骼运动学分析与仿真。
Biomed Res Int. 2022 Aug 29;2022:5029663. doi: 10.1155/2022/5029663. eCollection 2022.
10
Terrain Feature Estimation Method for a Lower Limb Exoskeleton Using Kinematic Analysis and Center of Pressure.基于运动学分析和压力中心的下肢外骨骼地形特征估计方法。
Sensors (Basel). 2019 Oct 12;19(20):4418. doi: 10.3390/s19204418.

引用本文的文献

1
A dataset of optical camera and IMU sensor derived kinematics of thirty transtibial prosthesis wearers.三十名小腿截肢者的光学相机和惯性测量单元传感器衍生运动学数据集。
Sci Data. 2024 Aug 24;11(1):922. doi: 10.1038/s41597-024-03677-3.
2
Cardioid oscillator-based pattern generator for imitating the time-ratio-asymmetrical behavior of the lower limb exoskeleton.基于心形振荡器的模式发生器,用于模仿下肢外骨骼的时间比率不对称行为。
Front Neurorobot. 2024 Mar 27;18:1379906. doi: 10.3389/fnbot.2024.1379906. eCollection 2024.
3
Towards Human-like Walking with Biomechanical and Neuromuscular Control Features: Personalized Attachment Point Optimization Method of Cable-Driven Exoskeleton.

本文引用的文献

1
Fast AHRS Filter for Accelerometer, Magnetometer, and Gyroscope Combination with Separated Sensor Corrections.用于加速度计、磁力计和陀螺仪组合的快速航姿参考系统滤波器及分离式传感器校正
Sensors (Basel). 2020 Jul 9;20(14):3824. doi: 10.3390/s20143824.
2
Inertial Sensors as a Tool for Diagnosing Discopathy Lumbosacral Pathologic Gait: A Preliminary Research.惯性传感器作为诊断腰骶部椎间盘病变导致的病理性步态的工具:一项初步研究。
Diagnostics (Basel). 2020 May 26;10(6):342. doi: 10.3390/diagnostics10060342.
3
Design and Control of a Polycentric Knee Exoskeleton Using an Electro-Hydraulic Actuator.
迈向具有生物力学和神经肌肉控制特征的类人行走:缆索驱动外骨骼的个性化附着点优化方法
Front Aging Neurosci. 2024 Feb 2;16:1327397. doi: 10.3389/fnagi.2024.1327397. eCollection 2024.
4
Exo Supportive Devices: Summary of Technical Aspects.外骨骼辅助设备:技术方面总结
Bioengineering (Basel). 2023 Nov 17;10(11):1328. doi: 10.3390/bioengineering10111328.
5
Validity and Reliability of Inertial Measurement Unit (IMU)-Derived 3D Joint Kinematics in Persons Wearing Transtibial Prosthesis.惯性测量单元(IMU)衍生的三维关节运动学在佩戴小腿假肢者中的有效性和可靠性。
Sensors (Basel). 2023 Feb 3;23(3):1738. doi: 10.3390/s23031738.
6
Sensor-Driven Human-Robot Synergy: A Systems Engineering Approach.基于传感器的人机协同:系统工程方法。
Sensors (Basel). 2022 Dec 20;23(1):21. doi: 10.3390/s23010021.
7
Cutoff Point of Mini-Balance Evaluation Systems Test Scores for Elderly Estimated by Center of Pressure Measurements by Linear Regression and Decision Tree Classification.通过线性回归和决策树分类的压力中心测量法估计老年人迷你平衡评估系统测试分数的截断点。
Life (Basel). 2022 Dec 17;12(12):2133. doi: 10.3390/life12122133.
8
Spatio-Temporal Calibration of Multiple Kinect Cameras Using 3D Human Pose.使用 3D 人体姿态进行多个 Kinect 相机的时空校准。
Sensors (Basel). 2022 Nov 17;22(22):8900. doi: 10.3390/s22228900.
9
sEMG-Based Gain-Tuned Compliance Control for the Lower Limb Rehabilitation Robot during Passive Training.基于表面肌电信号的下肢康复机器人被动训练增益自适应柔顺控制
Sensors (Basel). 2022 Oct 17;22(20):7890. doi: 10.3390/s22207890.
10
Experimental Analysis of Handcart Pushing and Pulling Safety in an Industrial Environment by Using IoT Force and EMG Sensors: Relationship with Operators' Psychological Status and Pain Syndromes.基于物联网力与肌电传感器的工业环境下手推车推拉安全性的实验分析:与作业人员心理状态和疼痛综合征的关系。
Sensors (Basel). 2022 Oct 1;22(19):7467. doi: 10.3390/s22197467.
多中心膝关节外骨骼的设计与控制。
Sensors (Basel). 2019 Dec 30;20(1):211. doi: 10.3390/s20010211.
4
Validation of Thigh Angle Estimation Using Inertial Measurement Unit Data against Optical Motion Capture Systems.使用惯性测量单元数据对大腿角度估计进行验证,与光学运动捕捉系统相比。
Sensors (Basel). 2019 Jan 31;19(3):596. doi: 10.3390/s19030596.
5
Toward Controllable Hydraulic Coupling of Joints in a Wearable Robot.迈向可穿戴机器人关节的可控液压耦合
IEEE Trans Robot. 2018 Jun;34(3):748-763. doi: 10.1109/TRO.2018.2799597. Epub 2018 Mar 12.
6
Lower limb angular velocity during walking at various speeds.不同速度行走时的下肢角速度。
Gait Posture. 2018 Sep;65:190-196. doi: 10.1016/j.gaitpost.2018.06.162. Epub 2018 Jun 25.
7
Recognition of Sedentary Behavior by Machine Learning Analysis of Wearable Sensors during Activities of Daily Living for Telemedical Assessment of Cardiovascular Risk.使用日常活动中可穿戴传感器的机器学习分析来识别久坐行为,以进行心血管风险的远程医疗评估。
Sensors (Basel). 2018 Sep 24;18(10):3219. doi: 10.3390/s18103219.
8
Initial Design and Experimental Evaluation of a Pneumatic Interference Actuator.气动干扰执行器的初步设计与实验评估。
Soft Robot. 2018 Apr;5(2):138-148. doi: 10.1089/soro.2017.0004. Epub 2018 Mar 2.
9
A hybrid active force control of a lower limb exoskeleton for gait rehabilitation.用于步态康复的下肢外骨骼的混合主动力控制。
Biomed Tech (Berl). 2018 Jul 26;63(4):491-500. doi: 10.1515/bmt-2016-0039.
10
Severity and distribution of spasticity does not limit mobility or influence compensatory strategies following traumatic brain injury.创伤性脑损伤后,痉挛的严重程度和分布并不限制活动能力,也不影响代偿策略。
Brain Inj. 2015 Sep;29(10):1232-1238. doi: 10.3109/02699052.2015.1035328. Epub 2015 Jun 17.