Suppr超能文献

基于单宁酸超分子自组装材料的医学应用

Medical Applications Based on Supramolecular Self-Assembled Materials From Tannic Acid.

作者信息

Lu Ruofei, Zhang Xiaoqiang, Cheng Xinxiu, Zhang Yagang, Zan Xingjie, Zhang Letao

机构信息

Xinjiang Technical Institute of Physics and Chemistry, Chinese Academy of Sciences, Urumqi, China.

University of Chinese Academy of Sciences, Beijing, China.

出版信息

Front Chem. 2020 Oct 6;8:583484. doi: 10.3389/fchem.2020.583484. eCollection 2020.

Abstract

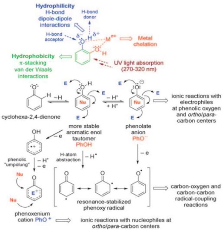
Polyphenol, characterized by various phenolic rings in the chemical structure and an abundance in nature, can be extracted from vegetables, grains, chocolates, fruits, tea, legumes, and seeds, among other sources. Tannic acid (TA), a classical polyphenol with a specific chemical structure, has been widely used in biomedicine because of its outstanding biocompatibility and antibacterial and antioxidant properties. TA has tunable interactions with various materials that are widely distributed in the body, such as proteins, polysaccharides, and glycoproteins, through multimodes including hydrogen bonding, hydrophobic interactions, and charge interactions, assisting TA as important building blocks in the supramolecular self-assembled materials. This review summarizes the recent immense progress in supramolecular self-assembled materials using TA as building blocks to generate different materials such as hydrogels, nanoparticles/microparticles, hollow capsules, and coating films, with enormous potential medical applications including drug delivery, tumor diagnosis and treatment, bone tissue engineering, biofunctional membrane material, and the treatment of certain diseases. Furthermore, we discuss the challenges and developmental prospects of supramolecular self-assembly nanomaterials based on TA.

摘要

多酚在化学结构上具有多种酚环且在自然界中含量丰富,可从蔬菜、谷物、巧克力、水果、茶、豆类和种子等多种来源中提取。单宁酸(TA)是一种具有特定化学结构的经典多酚,因其出色的生物相容性、抗菌和抗氧化特性而在生物医学中得到广泛应用。TA可通过氢键、疏水相互作用和电荷相互作用等多种模式与体内广泛分布的各种物质(如蛋白质、多糖和糖蛋白)发生可调节的相互作用,这有助于TA成为超分子自组装材料的重要构建块。本文综述了以TA为构建块生成水凝胶、纳米颗粒/微粒、空心胶囊和涂膜等不同材料的超分子自组装材料的最新巨大进展,这些材料在药物递送、肿瘤诊断与治疗、骨组织工程、生物功能膜材料以及某些疾病的治疗等方面具有巨大的潜在医学应用。此外,我们还讨论了基于TA的超分子自组装纳米材料面临的挑战和发展前景。

https://cdn.ncbi.nlm.nih.gov/pmc/blobs/7de7/7573216/d7245b06482f/fchem-08-583484-g0001.jpg

文献AI研究员

20分钟写一篇综述,助力文献阅读效率提升50倍。

立即体验

用中文搜PubMed

大模型驱动的PubMed中文搜索引擎

马上搜索

文档翻译

学术文献翻译模型,支持多种主流文档格式。

立即体验