Suppr超能文献

采用液相色谱-串联质谱法测定感染大鼠脾脏代谢组学图谱的扰动情况。

Perturbations of Metabolomic Profiling of Spleen From Rats Infected With Determined by LC-MS/MS Method.

作者信息

Zhang Xiaoli, Hu Xinyi, Chen Rui, Sun Beibei, Gao Yannan, Duan Shanshan, Liu Liyan, Han Su

机构信息

Department of Parasitology, Harbin Medical University, Harbin, China.

Department of Orthopaedic Surgery, The Fourth Affiliated Hospital of Harbin Medical University, Harbin, China.

出版信息

Front Mol Biosci. 2020 Oct 6;7:561641. doi: 10.3389/fmolb.2020.561641. eCollection 2020.

Abstract

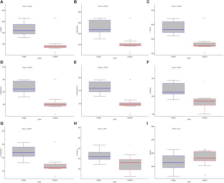
Clonorchiasis is an important zoonotic parasitic disease worldwide. In view of the fact that parasite infection affects host metabolism, and there is an intricate relationship between metabolism and immunity. Metabolic analysis of the spleen could be helpful for understanding the pathophysiological mechanisms in clonorchiasis. A non-targeted ultra high performance liquid tandem chromatography quadrupole time of flight mass spectrometry (UHPLC-QTOF MS) approach was employed to investigate the metabolic profiles of spleen in rats at 4 and 8 weeks post infection with (). Then a targeted ultra-high performance liquid chromatography multiple reaction monitoring mass spectrometry (UHPLC-MRM-MS/MS) approach was used to further quantify amino acid metabolism. Multivariate data analysis methods, such as principal components analysis and orthogonal partial least squares discriminant analysis, were used to identify differential metabolites. Finally, a total of 396 and 242 significant differential metabolites were identified in ESI+ and ESI- modes, respectively. These metabolites included amino acids, nucleotides, carboxylic acids, lipids and carbohydrates. There were 38 significantly different metabolites shared in the two infected groups compared with the control group through the Venn diagram. The metabolic pathways analysis revealed that pyrimidine metabolism, aminoacyl-tRNA biosynthesis, purine metabolism and phenylalanine, tyrosine and tryptophan biosynthesis were significantly enriched in differential metabolites, which was speculated to be related to the disease progression of clonorchiasis. Furthermore, 15 amino acids screened using untargeted profiling can be accurately quantified and identifed by targeted metabolomics during clonrochiasis. These results preliminarily revealed the perturbations of spleen metabolism in clonorchiasis. Meanwhile, this present study supplied new insights into the molecular mechanisms of host-parasite interactions.

摘要

华支睾吸虫病是一种在全球范围内重要的人畜共患寄生虫病。鉴于寄生虫感染会影响宿主代谢,且代谢与免疫之间存在复杂关系。对脾脏进行代谢分析可能有助于理解华支睾吸虫病的病理生理机制。采用非靶向超高效液相色谱串联四极杆飞行时间质谱(UHPLC-QTOF MS)方法研究感染()后4周和8周大鼠脾脏的代谢谱。然后使用靶向超高效液相色谱多反应监测质谱(UHPLC-MRM-MS/MS)方法进一步定量氨基酸代谢。运用主成分分析和正交偏最小二乘判别分析等多元数据分析方法来识别差异代谢物。最后,在电喷雾电离正离子(ESI+)和电喷雾电离负离子(ESI-)模式下分别鉴定出396种和242种显著差异代谢物。这些代谢物包括氨基酸、核苷酸、羧酸、脂质和碳水化合物。通过维恩图分析发现,与对照组相比,两个感染组共有38种显著不同的代谢物。代谢途径分析表明,嘧啶代谢、氨酰-tRNA生物合成、嘌呤代谢以及苯丙氨酸、酪氨酸和色氨酸生物合成在差异代谢物中显著富集,推测这与华支睾吸虫病的疾病进展有关。此外,在华支睾吸虫病期间,通过非靶向分析筛选出的15种氨基酸可通过靶向代谢组学进行准确的定量和鉴定。这些结果初步揭示了华支睾吸虫病中脾脏代谢的扰动情况。同时,本研究为宿主-寄生虫相互作用的分子机制提供了新的见解。

https://cdn.ncbi.nlm.nih.gov/pmc/blobs/e247/7574862/0f4a50a10776/fmolb-07-561641-g001.jpg

文献AI研究员

20分钟写一篇综述,助力文献阅读效率提升50倍。

立即体验

用中文搜PubMed

大模型驱动的PubMed中文搜索引擎

马上搜索

文档翻译

学术文献翻译模型,支持多种主流文档格式。

立即体验