Suppr超能文献

百里香酚、香芹酚和皂素的体外抗球虫活性。

In vitro anticoccidial activity of thymol, carvacrol, and saponins.

机构信息

University of Bologna, DIMEVET, 40064 Ozzano Emilia, Bologna, Italy.

R&D Division, Vetagro S.p.A., 42124 Reggio Emilia, Italy.

出版信息

Poult Sci. 2020 Nov;99(11):5350-5355. doi: 10.1016/j.psj.2020.07.035. Epub 2020 Aug 12.

Abstract

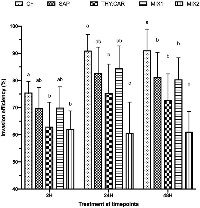
The anticoccidial activity of thymol, carvacrol, and saponins was assessed in an in vitro model of coccidiosis. Eimeria spp. sporozoites were collected from field samples, characterized, and used for 2 different invasion assays on Madin-Darby Bovine Kidney cells (MDBK). The cells were challenged with 5 × 10 sporozoites without (control) or with various treatments: saponins (10 ppm), thymol, and carvacrol (7 ppm each) or a combination of saponins, thymol, and carvacrol at 2 doses; MIX 1 (saponins 5 ppm, thymol 3.5 ppm, and carvacrol 3.5 ppm) and MIX 2 (saponins 10 ppm, thymol 7 ppm, and carvacrol 7 ppm). The treated cells were incubated at 37°C for 24 h (invasion assay 1) and for 2, 24, and 48 h (invasion assay 2). The efficiency of invasion was determined by counting the sporozoites left in the supernatant that were not able to invade the cells, whereas intracellular Eimeria DNA was detected by qPCR to confirm the data. Data were analyzed with ANOVA, and differences were considered significant when P value was ≤0.05. Data from invasion assay 1 showed that the thymol and carvacrol-containing blends significantly reduced invasion, especially in combination with saponins at the highest dose. Saponins alone did not have a strong inhibiting activity but acted synergistically with the other molecules. Interestingly, in invasion assay 2, it was found that the effect of the highest dose of the blend of saponins, thymol, and carvacrol was already visible at 2 h postinfection, whereas the other treatments were significantly successful at 24 h postinfection. The invasion assay protocol was designed to screen molecules in vitro starting from field fecal samples, and it can represent a potential tool in Eimeria research. Moreover, this study shows that invasion in MDBK cells by Eimeria sporozoites is inhibited in presence of thymol, carvacrol, and saponins, thus highlighting the anticoccidial potential of these compounds.

摘要

百里香酚、香芹酚和皂苷的抗球虫活性在球虫病的体外模型中进行了评估。从野外样本中收集 Eimeria spp. 孢子,并对其进行了特征描述,然后用于两种不同的对 Madin-Darby 牛肾细胞(MDBK)的侵袭检测。细胞用 5×10 个孢子进行挑战,不进行(对照)或进行各种处理:皂苷(10ppm)、百里香酚和香芹酚(各 7ppm)或皂苷、百里香酚和香芹酚以 2 种剂量组合;MIX1(皂苷 5ppm、百里香酚 3.5ppm 和香芹酚 3.5ppm)和 MIX2(皂苷 10ppm、百里香酚 7ppm 和香芹酚 7ppm)。处理后的细胞在 37°C 下孵育 24 小时(侵袭检测 1),然后孵育 2、24 和 48 小时(侵袭检测 2)。通过计数未能侵入细胞的上清液中的孢子来确定入侵效率,而通过 qPCR 检测细胞内的 Eimeria DNA 以确认数据。使用方差分析对数据进行分析,当 P 值≤0.05 时,差异被认为具有统计学意义。侵袭检测 1 的数据表明,含有百里香酚和香芹酚的混合物显著降低了入侵,尤其是在与最高剂量的皂苷结合时。皂苷单独使用时没有很强的抑制活性,但与其他分子具有协同作用。有趣的是,在侵袭检测 2 中,发现皂苷、百里香酚和香芹酚混合物的最高剂量在感染后 2 小时就已经显示出效果,而其他处理在感染后 24 小时才显示出显著效果。侵袭检测方案旨在从野外粪便样本中筛选体外分子,它可以成为 Eimeria 研究的潜在工具。此外,这项研究表明,Eimeria 孢子在 MDBK 细胞中的入侵在百里香酚、香芹酚和皂苷的存在下受到抑制,从而突出了这些化合物的抗球虫潜力。

https://cdn.ncbi.nlm.nih.gov/pmc/blobs/b25b/7647770/f2edc2434009/gr1.jpg

文献AI研究员

20分钟写一篇综述,助力文献阅读效率提升50倍。

立即体验

用中文搜PubMed

大模型驱动的PubMed中文搜索引擎

马上搜索

文档翻译

学术文献翻译模型,支持多种主流文档格式。

立即体验