Suppr超能文献

丙烯腈、丙烯酰胺和2-丙烯酰胺基-2-甲基丙烷磺酸交联三元共聚物的抗菌和抗真菌生物活性

Antibacterial and Anti-Fungal Biological Activities for Acrylonitrile, Acrylamide and 2-Acrylamido-2-Methylpropane Sulphonic Acid Crosslinked Terpolymers.

作者信息

Farag Reem K, Atta Ayman M, Labena Ahmed, AlHawari Salma H, Safwat Gehan, Diab Ayman

机构信息

Department of Application, Egyptian Petroleum Research Institute (EPRI), Nasr City, Cairo 11727, Egypt.

Chemistry Department, College of Science, King Saud University, P.O. Box 2455, Riyadh 11451, Saudi Arabia.

出版信息

Materials (Basel). 2020 Oct 30;13(21):4891. doi: 10.3390/ma13214891.

Abstract

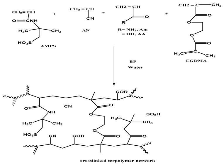
There is a pressing demand to synthesize polymers that have antibacterial and antifungal properties. The aim of this study was to synthesize a crosslinked hydrophilic terpolymer with acrylamide, acrylonitrile, acrylic acid, acrylamido-2-methylpropane sulphonic acid and ethylene glycol dimethacrylate as a crosslinker. The chemical structure and thermal stability of the prepared cross-linked terpolymers were confirmed by spectroscopic and thermal analyses. Moreover, the swelling experiments were performed to investigate their swelling capacity. Furthermore, the efficiency of the synthesized cross-linked polymer gels was assessed as an antimicrobial agent against Gram-positive, Gram-negative bacteria and fungal strains. The synthesized polymers showed broad inhibition effect, with more antibacterial activity by the AM4 polymer sample containing high percentage of acrylonitrile monomer in the prepared terpolymers (4 mol ratio of acrylic acid: 1 mol ratio of acrylamide: 16 mole ratio of acrylonitrile against Gram negative bacterial strain), while sample M3 terpolymer (1 mol ratio of acrylamide: 1 mole ratio acrylonitrile: 3 mole ratio of acrylamido-2-methylpropane sulphonic acid) showed a promising anti-fungal activity.

摘要

合成具有抗菌和抗真菌特性的聚合物的需求十分迫切。本研究的目的是合成一种交联亲水性三元共聚物,其单体为丙烯酰胺、丙烯腈、丙烯酸、2-甲基丙烯酰胺基丙烷磺酸,并以乙二醇二甲基丙烯酸酯作为交联剂。通过光谱分析和热分析确认了所制备的交联三元共聚物的化学结构和热稳定性。此外,进行了溶胀实验以研究其溶胀能力。此外,评估了合成的交联聚合物凝胶作为抗革兰氏阳性菌、革兰氏阴性菌和真菌菌株的抗菌剂的效率。合成的聚合物表现出广泛的抑制作用,在所制备的三元共聚物中,含高比例丙烯腈单体的AM4聚合物样品(丙烯酸4摩尔比:丙烯酰胺1摩尔比:丙烯腈16摩尔比)对革兰氏阴性菌菌株具有更强的抗菌活性,而样品M3三元共聚物(丙烯酰胺1摩尔比:丙烯腈1摩尔比:2-甲基丙烯酰胺基丙烷磺酸3摩尔比)表现出良好的抗真菌活性。

https://cdn.ncbi.nlm.nih.gov/pmc/blobs/b7bf/7662814/394e8067c8e4/materials-13-04891-sch001.jpg

文献检索

告别复杂PubMed语法,用中文像聊天一样搜索,搜遍4000万医学文献。AI智能推荐,让科研检索更轻松。

立即免费搜索

文件翻译

保留排版,准确专业,支持PDF/Word/PPT等文件格式,支持 12+语言互译。

免费翻译文档

深度研究

AI帮你快速写综述,25分钟生成高质量综述,智能提取关键信息,辅助科研写作。

立即免费体验