Wang Ya, Chen Yuqiao, Xiao Shuai, Fu Kai
Institute of Molecular Precision Medicine and Hunan Key Laboratory of Molecular Precision Medicine, Xiangya Hospital, Central South University, Changsha, China.
Department of General Surgery, Xiangya Hospital, Central South University, Changsha, China.
Front Cell Dev Biol. 2020 Nov 5;8:595605. doi: 10.3389/fcell.2020.595605. eCollection 2020.
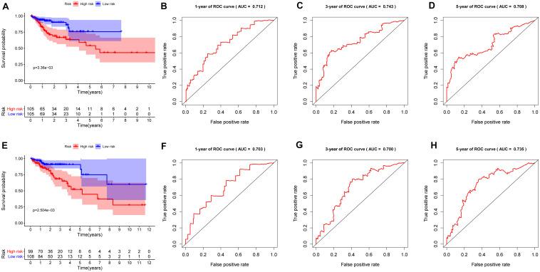
Colorectal cancer (CRC) is one of the most common malignant tumors. Selecting effective treatment for CRC patients, especially in the early stages, remains a challenge because of the lack of adequate biomarkers. Recent evidence suggests that RNA-binding proteins (RBPs) play a vital role in development and progression of carcinogenesis. However, their mechanisms in cancer progression are still limited. The role of RBPs in CRC has been poorly understood. There were 1,542 reported RBPs analyzed between CRC tissues and normal tissues using the Wilcoxon test to identify differentially expressed RBPs (DE RBPs). Then, the potential functions and the prognostic value of these DE RBPs were explored through systematic bioinformatics analysis. There were 177 DE RBPs identified between CRC tissues and normal tissues. A protein-protein interaction network was constructed based on DE RBPs, and critical modules were screened. A regulatory network between prognostic DE RBPs and differentially expressed transcription factors was constructed. Besides, a risk signature was built based on prognostic DE RBPs, which is able to predict overall survival of CRC patients with high accuracy. In conclusion, the results provided a comprehensive understanding of the functions of RBPs in CRC, as well as an RBP-related prognostic signature.
结直肠癌(CRC)是最常见的恶性肿瘤之一。由于缺乏足够的生物标志物,为CRC患者选择有效的治疗方法,尤其是在早期阶段,仍然是一项挑战。最近的证据表明,RNA结合蛋白(RBPs)在肿瘤发生的发展和进程中起着至关重要的作用。然而,它们在癌症进展中的机制仍然有限。RBPs在CRC中的作用尚未得到充分了解。使用Wilcoxon检验分析了CRC组织和正常组织之间报告的1542种RBPs,以鉴定差异表达的RBPs(DE RBPs)。然后,通过系统的生物信息学分析探索了这些DE RBPs的潜在功能和预后价值。在CRC组织和正常组织之间鉴定出177种DE RBPs。基于DE RBPs构建了蛋白质-蛋白质相互作用网络,并筛选了关键模块。构建了预后DE RBPs与差异表达转录因子之间的调控网络。此外,基于预后DE RBPs建立了一个风险特征,能够高精度预测CRC患者的总生存期。总之,这些结果提供了对RBPs在CRC中功能的全面理解,以及一个与RBPs相关的预后特征。