Suppr超能文献

阴道微生物群和细胞因子微环境在接受宫颈上皮内瘤变手术治疗的女性HPV清除/持续感染中的作用:一项前瞻性观察研究

Vaginal Microbiota and Cytokine Microenvironment in HPV Clearance/Persistence in Women Surgically Treated for Cervical Intraepithelial Neoplasia: An Observational Prospective Study.

作者信息

Caselli Elisabetta, D'Accolti Maria, Santi Erica, Soffritti Irene, Conzadori Sara, Mazzacane Sante, Greco Pantaleo, Contini Carlo, Bonaccorsi Gloria

机构信息

Section of Microbiology, Department of Chemical and Pharmaceutical Sciences and LTTA Center, University of Ferrara, Ferrara, Italy.

Section of Gynecology and Obstetrics, Department of Morphology, Surgery and Experimental Medicine, University of Ferrara, Ferrara, Italy.

出版信息

Front Cell Infect Microbiol. 2020 Nov 5;10:540900. doi: 10.3389/fcimb.2020.540900. eCollection 2020.

Abstract

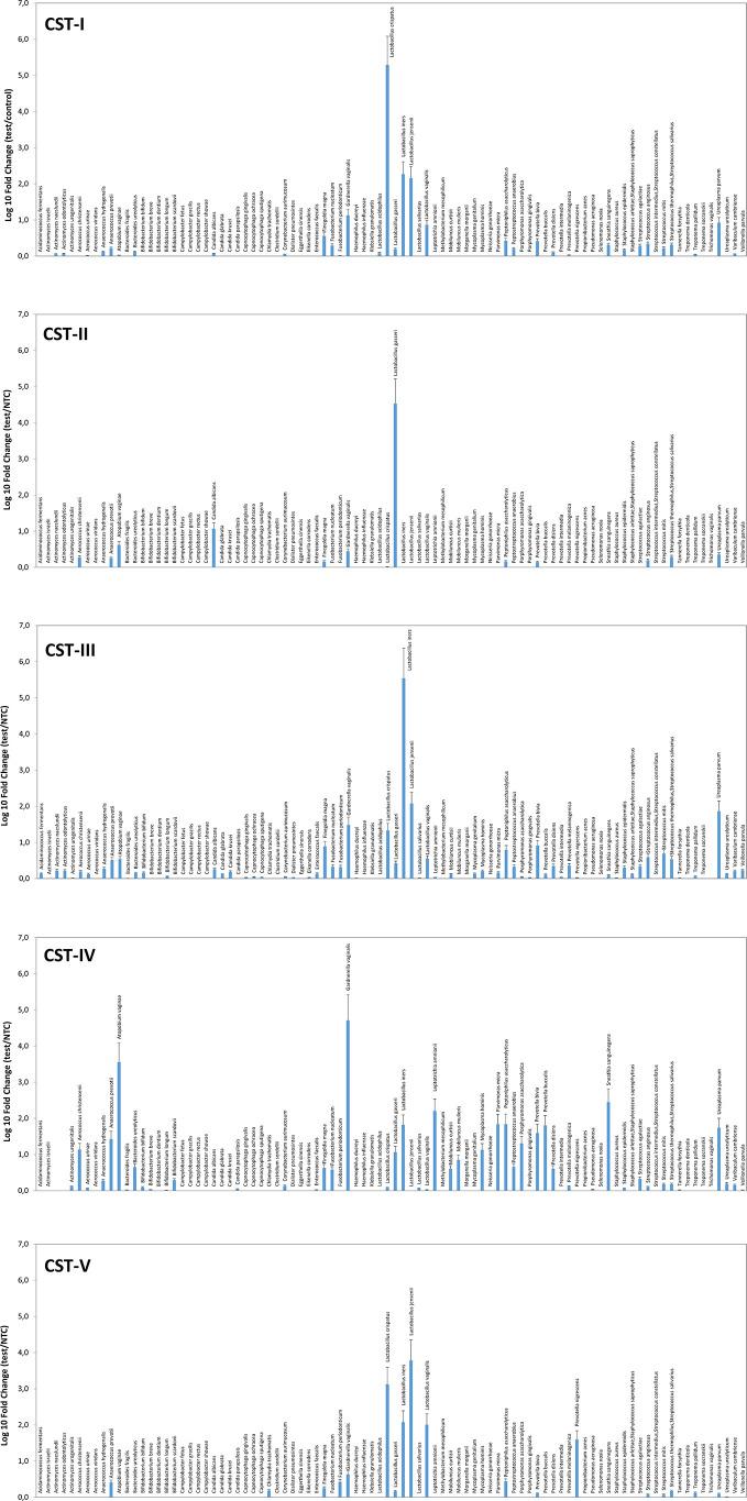
High-risk human papillomaviruses (hrHPVs) are causally related to cervical intraepithelial neoplasia (CIN) and subsequent cervical cancer (CC). The vaginal microbiome has been suggested to play a role in the development of CC, but the effect of conservative surgical treatment on the microbiome and hrHPV elimination has not been elucidated. In this study, we aimed to characterize the vaginal microbiome and inflammatory chemokine profile in 85 women treated for CIN2-CIN3 lesions, before and after surgical CIN removal. The results showed, as expected, a high prevalence of dysbiotic microbiomes and vaginal pro-inflammatory cytokines in the CIN cohort, correlated with disease severity, at the basal level. By contrast, surgical CIN removal induced significant vaginal microbiome variations, and specific microbiome/cytokine profiles were associated with hrHPV clearance/persistence at 6-month follow-up. hrHPV-cleared patients, in fact, showed a specific increase of and decrease of dysbiosis and inflammatory cytokines compared to hrHPV-persistent patients. These data highlight the crosstalk between HPV and the local microbiome, and suggest that vaginal microbiome modulation might represent a novel approach to modifying the natural history of hrHPV-related CC. Study registration n. ISRCTN34437150 (https://www.isrctn.com/ISRCTN34437150).

摘要

高危型人乳头瘤病毒(hrHPV)与宫颈上皮内瘤变(CIN)及后续的宫颈癌(CC)存在因果关系。有研究表明阴道微生物群在宫颈癌的发生发展中起作用,但保守手术治疗对微生物群和hrHPV清除的影响尚未阐明。在本研究中,我们旨在对85例接受CIN2 - CIN3病变治疗的女性在手术切除CIN前后的阴道微生物群和炎症趋化因子谱进行特征分析。结果显示,正如预期的那样,在CIN队列中,功能失调的微生物群和阴道促炎细胞因子的患病率较高,在基础水平上与疾病严重程度相关。相比之下,手术切除CIN会引起阴道微生物群的显著变化,并且特定的微生物群/细胞因子谱与6个月随访时的hrHPV清除/持续存在相关。事实上,与hrHPV持续存在的患者相比,hrHPV清除的患者显示出特定的增加以及功能失调和炎症细胞因子的减少。这些数据突出了HPV与局部微生物群之间的相互作用,并表明调节阴道微生物群可能是改变hrHPV相关宫颈癌自然病程的一种新方法。研究注册号:ISRCTN34437150(https://www.isrctn.com/ISRCTN34437150)。

https://cdn.ncbi.nlm.nih.gov/pmc/blobs/3181/7676899/cca8928c13aa/fcimb-10-540900-g001.jpg

文献AI研究员

20分钟写一篇综述,助力文献阅读效率提升50倍。

立即体验

用中文搜PubMed

大模型驱动的PubMed中文搜索引擎

马上搜索

文档翻译

学术文献翻译模型,支持多种主流文档格式。

立即体验