Van Yüzüncü Yıl University, Engineering Faculty, Department of Chemical Engineering, Campus, Van 65080, Turkey.
Van Yüzüncü Yıl University, Engineering Faculty, Department of Chemical Engineering, Campus, Van 65080, Turkey.
Mater Sci Eng C Mater Biol Appl. 2021 Jan;118:111534. doi: 10.1016/j.msec.2020.111534. Epub 2020 Sep 18.
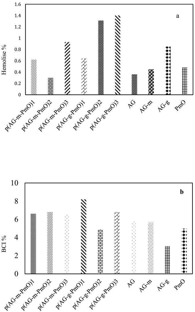
The very recent Covid-19 pandemic has made the need to understand biocompatible polymers as support material in drug delivery systems and controlled release clearer, especially for organo-hydrogels. This study aims to synthesize various new polymeric materials called gels, hydrogels, and organo-hydrogels according to the monomer used and to investigate their use as drug release systems. The agar-glycerol (AG) pair was used to synthesize the polymers, N, N, methylene bisacrylamide (MBA, m) and glutaraldehyde (GA, g) were used as cross-linkers and peppermint oil (PmO) was included to obtain the organo-hydrogels. Therefore, one AG gel and two p (AG-m) and p (GA-g) hydrogels were synthesized within the scope of the study. Six different organo-hydrogels based on p(AG-m-PmO) or p (AG-g-PmO) were also synthesized by varying the amount of peppermint oil. Paracetamol and carboplatin were selected as the sample drugs. Synthesized gels, hydrogels and organo-hydrogels were characterized by FTIR and SEM analysis. Additionally, swelling behaviors of the synthesized gels were investigated in different media (ID water, tap water, ethanol, acetone, ethanol/ID water (1:1), acetone/ID water (1:1) and gasoline) and at different pHs. Moreover, it was determined that organo-hydrogels were blood compatible and had antioxidant properties based on hemolysis, blood clotting and antioxidant analysis. Therefore, the release of paracetamol (a known antipyretic-painkiller, recommended and used in the treatment of Covid-19) and carboplatin (widely used in cancer treatment) were studied. Evidently, as the amount of PMO oil increases, the -OH groups in organo-hydrogels will increase and the chemical and physical bonding rates will increase; therefore it was observed that increasing peppermint oil in the organo-hydrogels structure to 0.3 mL stimulated the release of the drugs. For instance, maximum paracetamol release amount from p(AG-g-PmO) and p(AG-m-PmO) organo-hydrogels was calculated to be 72.3% at pH 7.4 and 69.8% at pH 2.0, respectively. The maximum carboplatin release amount from p(AG-g-PmO) and p(AG-m-PmO) organo-hydrogels was calculated to be 99.7% at pH 7.4 and 100% at pH 7.4, respectively. It was concluded that the synthesized organo-hydrogels might easily be used as drug carrier and controlled drug release materials.
最近的新冠疫情清楚地表明,人们需要理解生物相容性聚合物作为药物传递系统和控制释放的支持材料,尤其是对于有机水凝胶。本研究旨在根据使用的单体合成各种新型聚合物材料,称为凝胶、水凝胶和有机水凝胶,并研究它们作为药物释放系统的用途。使用琼脂-甘油(AG)对来合成聚合物,使用 N,N,亚甲基双丙烯酰胺(MBA,m)和戊二醛(GA,g)作为交联剂,并加入薄荷油(PmO)以获得有机水凝胶。因此,在研究范围内合成了一种 AG 凝胶和两种 p(AG-m)和 p(GA-g)水凝胶。通过改变薄荷油的量,还合成了六种基于 p(AG-m-PmO)或 p(AG-g-PmO)的不同有机水凝胶。选择扑热息痛和卡铂作为样品药物。通过 FTIR 和 SEM 分析对合成的凝胶、水凝胶和有机水凝胶进行了表征。此外,在不同介质(ID 水、自来水、乙醇、丙酮、乙醇/ID 水(1:1)、丙酮/ID 水(1:1)和汽油)和不同 pH 值下研究了合成凝胶的溶胀行为。此外,基于溶血、凝血和抗氧化分析,确定了有机水凝胶具有血液相容性和抗氧化特性。因此,研究了扑热息痛(一种已知的解热镇痛药,推荐并用于治疗新冠病毒)和卡铂(广泛用于癌症治疗)的释放。显然,随着 PMO 油用量的增加,有机水凝胶中的-OH 基团会增加,化学和物理键合速率也会增加;因此,观察到在有机水凝胶结构中增加薄荷油至 0.3mL 会刺激药物释放。例如,p(AG-g-PmO)和 p(AG-m-PmO)有机水凝胶中扑热息痛的最大释放量分别在 pH7.4 时为 72.3%,在 pH2.0 时为 69.8%。p(AG-g-PmO)和 p(AG-m-PmO)有机水凝胶中卡铂的最大释放量分别在 pH7.4 时为 99.7%,在 pH7.4 时为 100%。研究结果表明,合成的有机水凝胶可能很容易用作药物载体和控制药物释放材料。