• 文献检索
  • 文档翻译
  • 深度研究
  • 学术资讯
  • Suppr Zotero 插件Zotero 插件
  • 邀请有礼
  • 套餐&价格
  • 历史记录
应用&插件
Suppr Zotero 插件Zotero 插件浏览器插件Mac 客户端Windows 客户端微信小程序
定价
高级版会员购买积分包购买API积分包
服务
文献检索文档翻译深度研究API 文档MCP 服务
关于我们
关于 Suppr公司介绍联系我们用户协议隐私条款
关注我们

Suppr 超能文献

核心技术专利:CN118964589B侵权必究
粤ICP备2023148730 号-1Suppr @ 2026

文献检索

告别复杂PubMed语法,用中文像聊天一样搜索,搜遍4000万医学文献。AI智能推荐,让科研检索更轻松。

立即免费搜索

文件翻译

保留排版,准确专业,支持PDF/Word/PPT等文件格式,支持 12+语言互译。

免费翻译文档

深度研究

AI帮你快速写综述,25分钟生成高质量综述,智能提取关键信息,辅助科研写作。

立即免费体验

基于双流自注意力增强时空图卷积网络的骨骼基情绪识别。

Skeleton-Based Emotion Recognition Based on Two-Stream Self-Attention Enhanced Spatial-Temporal Graph Convolutional Network.

机构信息

Graduate School of Engineering Science, Osaka University, Osaka 565-0871, Japan.

Advanced Telecommunications Research Institute International, Kyoto 619-0237, Japan.

出版信息

Sensors (Basel). 2020 Dec 30;21(1):205. doi: 10.3390/s21010205.

DOI:10.3390/s21010205
PMID:33396917
原文链接:https://pmc.ncbi.nlm.nih.gov/articles/PMC7795329/
Abstract

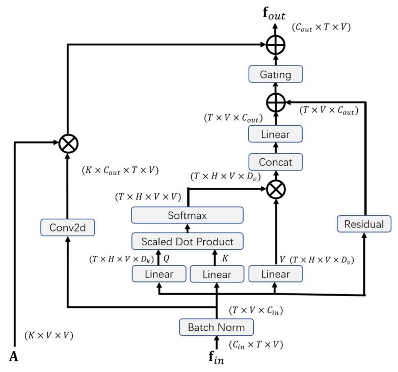
Emotion recognition has drawn consistent attention from researchers recently. Although gesture modality plays an important role in expressing emotion, it is seldom considered in the field of emotion recognition. A key reason is the scarcity of labeled data containing 3D skeleton data. Some studies in action recognition have applied graph-based neural networks to explicitly model the spatial connection between joints. However, this method has not been considered in the field of gesture-based emotion recognition, so far. In this work, we applied a pose estimation based method to extract 3D skeleton coordinates for IEMOCAP database. We propose a self-attention enhanced spatial temporal graph convolutional network for skeleton-based emotion recognition, in which the spatial convolutional part models the skeletal structure of the body as a static graph, and the self-attention part dynamically constructs more connections between the joints and provides supplementary information. Our experiment demonstrates that the proposed model significantly outperforms other models and that the features of the extracted skeleton data improve the performance of multimodal emotion recognition.

摘要

情感识别最近引起了研究人员的持续关注。尽管手势模态在表达情感方面起着重要作用,但在情感识别领域很少被考虑。一个关键原因是缺乏包含 3D 骨骼数据的标记数据。一些动作识别研究已经应用基于图的神经网络来显式地建模关节之间的空间连接。然而,到目前为止,这种方法在基于手势的情感识别领域还没有被考虑。在这项工作中,我们应用了一种基于姿势估计的方法来提取 IEMOCAP 数据库的 3D 骨骼坐标。我们提出了一种基于注意力增强的时空图卷积网络,用于基于骨骼的情感识别,其中空间卷积部分将身体的骨骼结构建模为静态图,而注意力部分动态地在关节之间建立更多的连接,并提供补充信息。我们的实验表明,所提出的模型显著优于其他模型,并且提取的骨骼数据的特征提高了多模态情感识别的性能。

https://cdn.ncbi.nlm.nih.gov/pmc/blobs/a6bf/7795329/6b10a629d9c5/sensors-21-00205-g010.jpg
https://cdn.ncbi.nlm.nih.gov/pmc/blobs/a6bf/7795329/7b7bbcac3a51/sensors-21-00205-g001.jpg
https://cdn.ncbi.nlm.nih.gov/pmc/blobs/a6bf/7795329/46bf01da41b4/sensors-21-00205-g002.jpg
https://cdn.ncbi.nlm.nih.gov/pmc/blobs/a6bf/7795329/aa265d6d5fcb/sensors-21-00205-g003.jpg
https://cdn.ncbi.nlm.nih.gov/pmc/blobs/a6bf/7795329/327c82eecf86/sensors-21-00205-g004.jpg
https://cdn.ncbi.nlm.nih.gov/pmc/blobs/a6bf/7795329/c28fad09c8cb/sensors-21-00205-g005.jpg
https://cdn.ncbi.nlm.nih.gov/pmc/blobs/a6bf/7795329/6ef9892903a7/sensors-21-00205-g006.jpg
https://cdn.ncbi.nlm.nih.gov/pmc/blobs/a6bf/7795329/70da7070397e/sensors-21-00205-g007.jpg
https://cdn.ncbi.nlm.nih.gov/pmc/blobs/a6bf/7795329/b871b563dd64/sensors-21-00205-g008.jpg
https://cdn.ncbi.nlm.nih.gov/pmc/blobs/a6bf/7795329/c4f9dabd7c72/sensors-21-00205-g009.jpg
https://cdn.ncbi.nlm.nih.gov/pmc/blobs/a6bf/7795329/6b10a629d9c5/sensors-21-00205-g010.jpg
https://cdn.ncbi.nlm.nih.gov/pmc/blobs/a6bf/7795329/7b7bbcac3a51/sensors-21-00205-g001.jpg
https://cdn.ncbi.nlm.nih.gov/pmc/blobs/a6bf/7795329/46bf01da41b4/sensors-21-00205-g002.jpg
https://cdn.ncbi.nlm.nih.gov/pmc/blobs/a6bf/7795329/aa265d6d5fcb/sensors-21-00205-g003.jpg
https://cdn.ncbi.nlm.nih.gov/pmc/blobs/a6bf/7795329/327c82eecf86/sensors-21-00205-g004.jpg
https://cdn.ncbi.nlm.nih.gov/pmc/blobs/a6bf/7795329/c28fad09c8cb/sensors-21-00205-g005.jpg
https://cdn.ncbi.nlm.nih.gov/pmc/blobs/a6bf/7795329/6ef9892903a7/sensors-21-00205-g006.jpg
https://cdn.ncbi.nlm.nih.gov/pmc/blobs/a6bf/7795329/70da7070397e/sensors-21-00205-g007.jpg
https://cdn.ncbi.nlm.nih.gov/pmc/blobs/a6bf/7795329/b871b563dd64/sensors-21-00205-g008.jpg
https://cdn.ncbi.nlm.nih.gov/pmc/blobs/a6bf/7795329/c4f9dabd7c72/sensors-21-00205-g009.jpg
https://cdn.ncbi.nlm.nih.gov/pmc/blobs/a6bf/7795329/6b10a629d9c5/sensors-21-00205-g010.jpg

相似文献

1
Skeleton-Based Emotion Recognition Based on Two-Stream Self-Attention Enhanced Spatial-Temporal Graph Convolutional Network.基于双流自注意力增强时空图卷积网络的骨骼基情绪识别。
Sensors (Basel). 2020 Dec 30;21(1):205. doi: 10.3390/s21010205.
2
Skeleton-Based Action Recognition with Multi-Stream Adaptive Graph Convolutional Networks.基于多流自适应图卷积网络的骨架动作识别
IEEE Trans Image Process. 2020 Oct 9;PP. doi: 10.1109/TIP.2020.3028207.
3
Adaptive Attention Memory Graph Convolutional Networks for Skeleton-Based Action Recognition.用于基于骨架的动作识别的自适应注意力记忆图卷积网络
Sensors (Basel). 2021 Oct 12;21(20):6761. doi: 10.3390/s21206761.
4
GAS-GCN: Gated Action-Specific Graph Convolutional Networks for Skeleton-Based Action Recognition.GAS-GCN:基于骨骼的动作识别的门控动作特定图卷积网络。
Sensors (Basel). 2020 Jun 21;20(12):3499. doi: 10.3390/s20123499.
5
Graph Edge Convolutional Neural Networks for Skeleton-Based Action Recognition.基于骨架的动作识别的图边缘卷积神经网络。
IEEE Trans Neural Netw Learn Syst. 2020 Aug;31(8):3047-3060. doi: 10.1109/TNNLS.2019.2935173. Epub 2019 Sep 17.
6
Enhanced Spatial and Extended Temporal Graph Convolutional Network for Skeleton-Based Action Recognition.基于骨架的动作识别的增强时空图卷积网络。
Sensors (Basel). 2020 Sep 15;20(18):5260. doi: 10.3390/s20185260.
7
Multi-Modality Adaptive Feature Fusion Graph Convolutional Network for Skeleton-Based Action Recognition.基于骨架的动作识别的多模态自适应特征融合图卷积网络。
Sensors (Basel). 2023 Jun 7;23(12):5414. doi: 10.3390/s23125414.
8
Spatial and temporal attention embedded spatial temporal graph convolutional networks for skeleton based gait recognition with multiple IMUs.用于基于多惯性测量单元的骨架步态识别的嵌入时空注意力的时空图卷积网络。
iScience. 2024 Aug 2;27(9):110646. doi: 10.1016/j.isci.2024.110646. eCollection 2024 Sep 20.
9
Feedback Graph Convolutional Network for Skeleton-Based Action Recognition.用于基于骨架的动作识别的反馈图卷积网络
IEEE Trans Image Process. 2022;31:164-175. doi: 10.1109/TIP.2021.3129117. Epub 2021 Dec 2.
10
Sparse Spatial-Temporal Emotion Graph Convolutional Network for Video Emotion Recognition.稀疏时空情感图卷积网络的视频情感识别。
Comput Intell Neurosci. 2022 Sep 28;2022:3518879. doi: 10.1155/2022/3518879. eCollection 2022.

引用本文的文献

1
Spatial and temporal attention embedded spatial temporal graph convolutional networks for skeleton based gait recognition with multiple IMUs.用于基于多惯性测量单元的骨架步态识别的嵌入时空注意力的时空图卷积网络。
iScience. 2024 Aug 2;27(9):110646. doi: 10.1016/j.isci.2024.110646. eCollection 2024 Sep 20.
2
Unlocking the Emotional World of Visual Media: An Overview of the Science, Research, and Impact of Understanding Emotion: Drawing Insights From Psychology, Engineering, and the Arts, This Article Provides a Comprehensive Overview of the Field of Emotion Analysis in Visual Media and Discusses the Latest Research, Systems, Challenges, Ethical Implications, and Potential Impact of Artificial Emotional Intelligence on Society.揭开视觉媒体的情感世界:理解情感的科学、研究及影响概述:本文从心理学、工程学和艺术领域汲取见解,全面概述了视觉媒体中的情感分析领域,并探讨了最新研究、系统、挑战、伦理影响以及人工情感智能对社会的潜在影响。
Proc IEEE Inst Electr Electron Eng. 2023 Oct;111(10):1236-1286. doi: 10.1109/JPROC.2023.3273517. Epub 2023 May 23.

本文引用的文献

1
Emotion Recognition from Skeletal Movements.基于骨骼运动的情感识别
Entropy (Basel). 2019 Jun 29;21(7):646. doi: 10.3390/e21070646.
2
Skeleton-Based Action Recognition with Multi-Stream Adaptive Graph Convolutional Networks.基于多流自适应图卷积网络的骨架动作识别
IEEE Trans Image Process. 2020 Oct 9;PP. doi: 10.1109/TIP.2020.3028207.
3
A Comprehensive Survey on Graph Neural Networks.图神经网络综述。
3
Towards automated video-based assessment of dystonia in dyskinetic cerebral palsy: A novel approach using markerless motion tracking and machine learning.迈向基于视频的运动障碍型脑瘫肌张力障碍自动评估:一种使用无标记运动跟踪和机器学习的新方法。
Front Robot AI. 2023 Mar 2;10:1108114. doi: 10.3389/frobt.2023.1108114. eCollection 2023.
4
Machine Learning Algorithms for Detection and Classifications of Emotions in Contact Center Applications.机器学习算法在联络中心应用中用于情感检测和分类。
Sensors (Basel). 2022 Jul 15;22(14):5311. doi: 10.3390/s22145311.
5
Emotion Recognition from Physiological Channels Using Graph Neural Network.基于图神经网络的生理通道情感识别。
Sensors (Basel). 2022 Apr 13;22(8):2980. doi: 10.3390/s22082980.
6
Skeleton Graph-Neural-Network-Based Human Action Recognition: A Survey.基于骨架图神经网络的人体动作识别研究综述
Sensors (Basel). 2022 Mar 8;22(6):2091. doi: 10.3390/s22062091.
7
Context-Aware Emotion Recognition in the Wild Using Spatio-Temporal and Temporal-Pyramid Models.基于时空和时频金字塔模型的自然场景上下文感知情感识别。
Sensors (Basel). 2021 Mar 27;21(7):2344. doi: 10.3390/s21072344.
IEEE Trans Neural Netw Learn Syst. 2021 Jan;32(1):4-24. doi: 10.1109/TNNLS.2020.2978386. Epub 2021 Jan 4.
4
Perceived gesture dynamics in nonverbal expression of emotion.非言语情感表达中可感知的手势动态。
Perception. 2013;42(6):642-57. doi: 10.1068/p7364.