• 文献检索
  • 文档翻译
  • 深度研究
  • 学术资讯
  • Suppr Zotero 插件Zotero 插件
  • 邀请有礼
  • 套餐&价格
  • 历史记录
应用&插件
Suppr Zotero 插件Zotero 插件浏览器插件Mac 客户端Windows 客户端微信小程序
定价
高级版会员购买积分包购买API积分包
服务
文献检索文档翻译深度研究API 文档MCP 服务
关于我们
关于 Suppr公司介绍联系我们用户协议隐私条款
关注我们

Suppr 超能文献

核心技术专利:CN118964589B侵权必究
粤ICP备2023148730 号-1Suppr @ 2026

文献检索

告别复杂PubMed语法,用中文像聊天一样搜索,搜遍4000万医学文献。AI智能推荐,让科研检索更轻松。

立即免费搜索

文件翻译

保留排版,准确专业,支持PDF/Word/PPT等文件格式,支持 12+语言互译。

免费翻译文档

深度研究

AI帮你快速写综述,25分钟生成高质量综述,智能提取关键信息,辅助科研写作。

立即免费体验

通过超分子相互作用来调整基于金属卟啉的金属线上的单分子电导率。

Tuning Single-Molecule Conductance in Metalloporphyrin-Based Wires via Supramolecular Interactions.

机构信息

Department of Chemistry, Faculty of Natural & Mathematical Sciences, King's College London, Britannia House, 7 Trinity Street, London, SE1 1DB, UK.

Current address: Molecular Spectroscopy Department, Max Planck Institute for Polymer Research, Ackermannweg 10, 55128, Mainz, Germany.

出版信息

Angew Chem Int Ed Engl. 2020 Oct 19;59(43):19193-19201. doi: 10.1002/anie.202007237. Epub 2020 Aug 24.

DOI:10.1002/anie.202007237
PMID:33448538
原文链接:https://pmc.ncbi.nlm.nih.gov/articles/PMC7590179/
Abstract

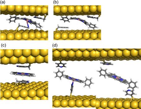
Nature has developed supramolecular constructs to deliver outstanding charge-transport capabilities using metalloporphyrin-based supramolecular arrays. Herein we incorporate simple, naturally inspired supramolecular interactions via the axial complexation of metalloporphyrins into the formation of a single-molecule wire in a nanoscale gap. Small structural changes in the axial coordinating linkers result in dramatic changes in the transport properties of the metalloporphyrin-based wire. The increased flexibility of a pyridine-4-yl-methanethiol ligand due to an extra methyl group, as compared to a more rigid 4-pyridinethiol linker, allows the pyridine-4-yl-methanethiol ligand to adopt an unexpected highly conductive stacked structure between the two junction electrodes and the metalloporphyrin ring. DFT calculations reveal a molecular junction structure composed of a shifted stack of the two pyridinic linkers and the metalloporphyrin ring. In contrast, the more rigid 4-mercaptopyridine ligand presents a more classical lifted octahedral coordination of the metalloporphyrin metal center, leading to a longer electron pathway of lower conductance. This works opens to supramolecular electronics, a concept already exploited in natural organisms.

摘要

自然界已经开发出超分子结构,利用基于金属卟啉的超分子阵列来实现出色的电荷输运能力。在此,我们通过金属卟啉的轴向配位将简单的、受自然启发的超分子相互作用纳入纳米级间隙中单分子线的形成中。轴向配位连接体的微小结构变化导致基于金属卟啉的线的输运性质发生显著变化。与更刚性的 4-吡啶硫醇配体相比,由于额外的甲基,吡啶-4-基-甲硫醇配体的灵活性增加,使得吡啶-4-基-甲硫醇配体能够在两个结电极和金属卟啉环之间采用意想不到的高导电性堆叠结构。DFT 计算揭示了由两个吡啶连接体和金属卟啉环的移位堆叠组成的分子结结构。相比之下,更刚性的 4-巯基吡啶配体呈现出更经典的金属卟啉金属中心的提升八面体配位,导致更长的电子路径和更低的电导率。这项工作为超分子电子学开辟了道路,这一概念已经在自然生物中得到了应用。

https://cdn.ncbi.nlm.nih.gov/pmc/blobs/b826/7590179/92901518adb9/ANIE-59-19193-g006.jpg
https://cdn.ncbi.nlm.nih.gov/pmc/blobs/b826/7590179/99f56fca6371/ANIE-59-19193-g001.jpg
https://cdn.ncbi.nlm.nih.gov/pmc/blobs/b826/7590179/74b6b7faaa7a/ANIE-59-19193-g002.jpg
https://cdn.ncbi.nlm.nih.gov/pmc/blobs/b826/7590179/8c7986dfa934/ANIE-59-19193-g003.jpg
https://cdn.ncbi.nlm.nih.gov/pmc/blobs/b826/7590179/b54212e2655a/ANIE-59-19193-g004.jpg
https://cdn.ncbi.nlm.nih.gov/pmc/blobs/b826/7590179/a55510422685/ANIE-59-19193-g005.jpg
https://cdn.ncbi.nlm.nih.gov/pmc/blobs/b826/7590179/92901518adb9/ANIE-59-19193-g006.jpg
https://cdn.ncbi.nlm.nih.gov/pmc/blobs/b826/7590179/99f56fca6371/ANIE-59-19193-g001.jpg
https://cdn.ncbi.nlm.nih.gov/pmc/blobs/b826/7590179/74b6b7faaa7a/ANIE-59-19193-g002.jpg
https://cdn.ncbi.nlm.nih.gov/pmc/blobs/b826/7590179/8c7986dfa934/ANIE-59-19193-g003.jpg
https://cdn.ncbi.nlm.nih.gov/pmc/blobs/b826/7590179/b54212e2655a/ANIE-59-19193-g004.jpg
https://cdn.ncbi.nlm.nih.gov/pmc/blobs/b826/7590179/a55510422685/ANIE-59-19193-g005.jpg
https://cdn.ncbi.nlm.nih.gov/pmc/blobs/b826/7590179/92901518adb9/ANIE-59-19193-g006.jpg

相似文献

1
Tuning Single-Molecule Conductance in Metalloporphyrin-Based Wires via Supramolecular Interactions.通过超分子相互作用来调整基于金属卟啉的金属线上的单分子电导率。
Angew Chem Int Ed Engl. 2020 Oct 19;59(43):19193-19201. doi: 10.1002/anie.202007237. Epub 2020 Aug 24.
2
Room-Temperature Spin-Dependent Transport in Metalloporphyrin-Based Supramolecular Wires.基于金属卟啉的超分子导线中的室温自旋相关输运
Angew Chem Int Ed Engl. 2021 Dec 1;60(49):25958-25965. doi: 10.1002/anie.202110515. Epub 2021 Nov 2.
3
Tuning the electrical conductance of metalloporphyrin supramolecular wires.调控金属卟啉超分子导线的电导。
Sci Rep. 2016 Nov 21;6:37352. doi: 10.1038/srep37352.
4
Highly conductive single-molecule wires with controlled orientation by coordination of metalloporphyrins.通过金属卟啉的配位作用控制取向的高导电性单分子线。
Nano Lett. 2014 Aug 13;14(8):4751-6. doi: 10.1021/nl501884g. Epub 2014 Jul 3.
5
Silane and Germane Molecular Electronics.硅烷和锗烷分子电子学。
Acc Chem Res. 2017 Apr 18;50(4):1088-1095. doi: 10.1021/acs.accounts.7b00059. Epub 2017 Mar 27.
6
Hapticity-dependent charge transport through carbodithioate-terminated [5,15-bis(phenylethynyl)porphinato]zinc(II) complexes in metal-molecule-metal junctions.在金属-分子-金属结中,通过碳二硫代酸酯端基[5,15-双(苯乙炔基)卟啉锌(II)]配合物的触觉依赖性电荷输运。
Nano Lett. 2014 Oct 8;14(10):5493-9. doi: 10.1021/nl502466a. Epub 2014 Sep 25.
7
Supramolecular Systems and Chemical Reactions in Single-Molecule Break Junctions.单分子断裂结中的超分子体系和化学反应。
Top Curr Chem (Cham). 2017 Apr;375(2):42. doi: 10.1007/s41061-017-0123-x. Epub 2017 Mar 23.
8
Effect of metal complexation on the conductance of single-molecular wires measured at room temperature.室温下测量金属络合物对单分子线电导率的影响。
J Am Chem Soc. 2014 Jun 11;136(23):8314-22. doi: 10.1021/ja5012417. Epub 2014 Jun 2.
9
Coordination-Driven Syntheses of Compact Supramolecular Metallacycles toward Extended Metallo-organic Stacked Supramolecular Assemblies.基于配位驱动的超分子金属环的紧密组装来构筑延展的金属有机堆积超分子组装体。
Acc Chem Res. 2017 Apr 18;50(4):885-894. doi: 10.1021/acs.accounts.6b00624. Epub 2017 Mar 6.
10
Length dependence of electron transport through molecular wires--a first principles perspective.通过分子导线的电子传输的长度依赖性——第一性原理视角
Phys Chem Chem Phys. 2015 Jan 7;17(1):77-96. doi: 10.1039/c4cp05006a.

引用本文的文献

1
Interface Feedback Effect in Molecular Tunnel Junctions.分子隧道结中的界面反馈效应。
JACS Au. 2025 Feb 14;5(3):1258-1267. doi: 10.1021/jacsau.4c01128. eCollection 2025 Mar 24.
2
Shallow conductance decay along the array of a single tetraheme protein wire.沿着单个四血红素蛋白质纳米线阵列的浅电导衰减。
Chem Sci. 2024 Jul 3;15(31):12326-12335. doi: 10.1039/d4sc01366b. eCollection 2024 Aug 7.
3
Room-Temperature Spin-Dependent Transport in Metalloporphyrin-Based Supramolecular Wires.基于金属卟啉的超分子导线中的室温自旋相关输运

本文引用的文献

1
The Crystal Structure of a Biological Insulated Transmembrane Molecular Wire.生物绝缘跨膜分子线的晶体结构
Cell. 2020 Apr 30;181(3):665-673.e10. doi: 10.1016/j.cell.2020.03.032. Epub 2020 Apr 13.
2
Unravelling the conductance path through single-porphyrin junctions.解析通过单卟啉结的导电路径。
Chem Sci. 2019 Jul 31;10(36):8299-8305. doi: 10.1039/c9sc02497b. eCollection 2019 Sep 28.
3
Structure of Microbial Nanowires Reveals Stacked Hemes that Transport Electrons over Micrometers.微生物纳米线的结构揭示了堆叠的血红素,这些血红素可以在微米尺度上传输电子。
Angew Chem Int Ed Engl. 2021 Dec 1;60(49):25958-25965. doi: 10.1002/anie.202110515. Epub 2021 Nov 2.
4
Porphyrins as building blocks for single-molecule devices.卟啉作为单分子器件的构建模块。
Nanoscale. 2021 Oct 1;13(37):15500-15525. doi: 10.1039/d1nr04523g.
5
Ultralong π-Conjugated Bis(terpyridine)metal Polymer Wires Covalently Bound to a Carbon Electrode: Fast Redox Conduction and Redox Diode Characteristics.共价连接到碳电极的超长π共轭双(三联吡啶)金属聚合物线:快速氧化还原传导和氧化还原二极管特性
Molecules. 2021 Jul 14;26(14):4267. doi: 10.3390/molecules26144267.
Cell. 2019 Apr 4;177(2):361-369.e10. doi: 10.1016/j.cell.2019.03.029.
4
Mechanochemistry of the mechanical bond.机械键的机械化学
Chem Sci. 2017 Dec 4;9(1):15-21. doi: 10.1039/c7sc04200k. eCollection 2018 Jan 7.
5
Surface Structure of 4-Mercaptopyridine on Au(111): A New Dense Phase.4-巯基吡啶在 Au(111)表面的结构:一种新的密堆相。
Langmuir. 2017 Sep 26;33(38):9565-9572. doi: 10.1021/acs.langmuir.7b01627. Epub 2017 Sep 13.
6
First-Principles Models for van der Waals Interactions in Molecules and Materials: Concepts, Theory, and Applications.第一性原理模型在分子和材料中范德华相互作用:概念、理论和应用。
Chem Rev. 2017 Mar 22;117(6):4714-4758. doi: 10.1021/acs.chemrev.6b00446. Epub 2017 Mar 8.
7
Tuning the electrical conductance of metalloporphyrin supramolecular wires.调控金属卟啉超分子导线的电导。
Sci Rep. 2016 Nov 21;6:37352. doi: 10.1038/srep37352.
8
The mechanochemistry of copper reports on the directionality of unfolding in model cupredoxin proteins.铜的机械化学揭示了模型铜蓝蛋白中展开的方向性。
Nat Commun. 2015 Aug 3;6:7894. doi: 10.1038/ncomms8894.
9
Fine-tuning of single-molecule conductance by tweaking both electronic structure and conformation of side substituents.通过调整侧链取代基的电子结构和构象对单分子电导进行微调。
Chemistry. 2015 May 18;21(21):7716-20. doi: 10.1002/chem.201500832. Epub 2015 Apr 2.
10
Control of single-molecule junction conductance of porphyrins via a transition-metal center.通过过渡金属中心控制卟啉的单分子结电导率。
Nano Lett. 2014 Sep 10;14(9):5365-70. doi: 10.1021/nl5025062. Epub 2014 Aug 15.