• 文献检索
  • 文档翻译
  • 深度研究
  • 学术资讯
  • Suppr Zotero 插件Zotero 插件
  • 邀请有礼
  • 套餐&价格
  • 历史记录
应用&插件
Suppr Zotero 插件Zotero 插件浏览器插件Mac 客户端Windows 客户端微信小程序
定价
高级版会员购买积分包购买API积分包
服务
文献检索文档翻译深度研究API 文档MCP 服务
关于我们
关于 Suppr公司介绍联系我们用户协议隐私条款
关注我们

Suppr 超能文献

核心技术专利:CN118964589B侵权必究
粤ICP备2023148730 号-1Suppr @ 2026

文献检索

告别复杂PubMed语法,用中文像聊天一样搜索,搜遍4000万医学文献。AI智能推荐,让科研检索更轻松。

立即免费搜索

文件翻译

保留排版,准确专业,支持PDF/Word/PPT等文件格式,支持 12+语言互译。

免费翻译文档

深度研究

AI帮你快速写综述,25分钟生成高质量综述,智能提取关键信息,辅助科研写作。

立即免费体验

2型糖尿病患者及新型冠状病毒19感染的多种族城市队列中的死亡预测因素。

Predictors of mortality in a multiracial urban cohort of persons with type 2 diabetes and novel coronavirus 19.

作者信息

Myers Alyson K, Kim Tara S, Zhu Xu, Liu Yan, Qiu Michael, Pekmezaris Renee

机构信息

Department of Internal Medicine, Division of Endocrinology, North Shore University Hospital, Manhasset, New York, USA.

Center for Health Innovations and Outcomes Research, Northwell Health, Manhasset, New York, USA.

出版信息

J Diabetes. 2021 May;13(5):430-438. doi: 10.1111/1753-0407.13158. Epub 2021 Feb 26.

DOI:10.1111/1753-0407.13158
PMID:33486896
原文链接:https://pmc.ncbi.nlm.nih.gov/articles/PMC8013168/
Abstract

BACKGROUND

Diabetes has been identified as a risk factor for intubation and mortality in patients with coronavirus disease 2019 (COVID-19), caused by the novel severe acute respiratory syndrome coronavirus 2 (SARS-CoV-2). We seek to examine the impact of clinical variables such as glycosylated hemoglobin (HbA1c) on mortality and need for intubation, as well as demographic variables such as age, sex, and race on persons with type 2 diabetes and COVID-19.

METHODS

Analyses were conducted on 4413 patients with an International Classification of Diseases and Related Health Problems (ICD-10) diagnosis of type 2 diabetes and COVID-19. Survival analysis was conducted using Kaplan-Meier curves and the log-rank test to compare subgroup analyses.

RESULTS

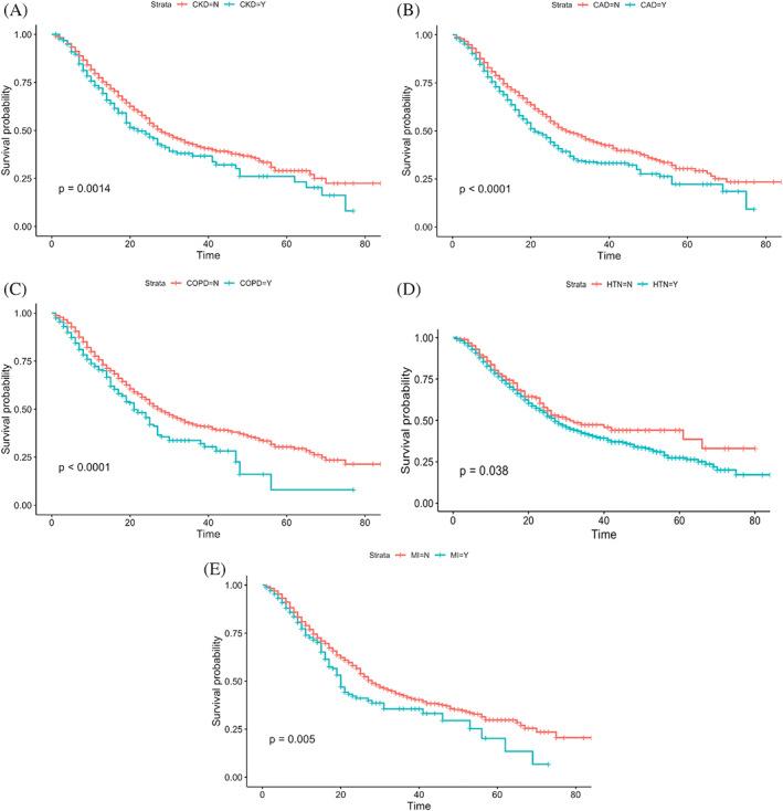
In this multivariate analysis, male gender, older age, and hyperglycemia at admission were associated with increased mortality and intubation, but this was not seen for race, ethnicity, insurance type, or HbA1c. Based on Kaplan-Meier analysis, having comorbid conditions such as hypertension, chronic kidney disease, and coronary artery disease was associated with a statistically significant increased risk of mortality.

CONCLUSIONS

Glycemic levels at admission have a greater impact on health outcomes than HbA1c. Older men and those with comorbid disease are also at greater risk for mortality. Further longitudinal studies need to be done to evaluate the impact of COVID-19 on type 2 diabetes.

摘要

背景

糖尿病已被确定为新型严重急性呼吸综合征冠状病毒2(SARS-CoV-2)引起的2019冠状病毒病(COVID-19)患者插管和死亡的危险因素。我们试图研究糖化血红蛋白(HbA1c)等临床变量对2型糖尿病合并COVID-19患者死亡率和插管需求的影响,以及年龄、性别和种族等人口统计学变量的影响。

方法

对4413例国际疾病分类和相关健康问题(ICD-10)诊断为2型糖尿病合并COVID-19的患者进行分析。使用Kaplan-Meier曲线和对数秩检验进行生存分析,以比较亚组分析。

结果

在这项多变量分析中,男性、老年和入院时高血糖与死亡率和插管增加相关,但种族、民族、保险类型或HbA1c未见此关联。根据Kaplan-Meier分析,患有高血压、慢性肾病和冠状动脉疾病等合并症与死亡率显著增加的风险相关。

结论

入院时的血糖水平对健康结局的影响大于HbA1c。老年男性和患有合并症的人死亡风险也更高。需要进一步进行纵向研究以评估COVID-19对2型糖尿病的影响。

https://cdn.ncbi.nlm.nih.gov/pmc/blobs/c266/8013168/5d684469df1f/JDB-13-430-g001.jpg
https://cdn.ncbi.nlm.nih.gov/pmc/blobs/c266/8013168/0bc825da3f42/JDB-13-430-g003.jpg
https://cdn.ncbi.nlm.nih.gov/pmc/blobs/c266/8013168/3de287f601ff/JDB-13-430-g004.jpg
https://cdn.ncbi.nlm.nih.gov/pmc/blobs/c266/8013168/168a8f3ae15c/JDB-13-430-g002.jpg
https://cdn.ncbi.nlm.nih.gov/pmc/blobs/c266/8013168/5d684469df1f/JDB-13-430-g001.jpg
https://cdn.ncbi.nlm.nih.gov/pmc/blobs/c266/8013168/0bc825da3f42/JDB-13-430-g003.jpg
https://cdn.ncbi.nlm.nih.gov/pmc/blobs/c266/8013168/3de287f601ff/JDB-13-430-g004.jpg
https://cdn.ncbi.nlm.nih.gov/pmc/blobs/c266/8013168/168a8f3ae15c/JDB-13-430-g002.jpg
https://cdn.ncbi.nlm.nih.gov/pmc/blobs/c266/8013168/5d684469df1f/JDB-13-430-g001.jpg

相似文献

1
Predictors of mortality in a multiracial urban cohort of persons with type 2 diabetes and novel coronavirus 19.2型糖尿病患者及新型冠状病毒19感染的多种族城市队列中的死亡预测因素。
J Diabetes. 2021 May;13(5):430-438. doi: 10.1111/1753-0407.13158. Epub 2021 Feb 26.
2
Prescription of Controlled Substances: Benefits and Risks管制药品的处方:益处与风险
3
Signs and symptoms to determine if a patient presenting in primary care or hospital outpatient settings has COVID-19.在基层医疗机构或医院门诊环境中,如果患者出现以下症状和体征,可判断其是否患有 COVID-19。
Cochrane Database Syst Rev. 2022 May 20;5(5):CD013665. doi: 10.1002/14651858.CD013665.pub3.
4
Comparison of Two Modern Survival Prediction Tools, SORG-MLA and METSSS, in Patients With Symptomatic Long-bone Metastases Who Underwent Local Treatment With Surgery Followed by Radiotherapy and With Radiotherapy Alone.两种现代生存预测工具 SORG-MLA 和 METSSS 在接受手术联合放疗和单纯放疗治疗有症状长骨转移患者中的比较。
Clin Orthop Relat Res. 2024 Dec 1;482(12):2193-2208. doi: 10.1097/CORR.0000000000003185. Epub 2024 Jul 23.
5
Risk of thromboembolism in patients with COVID-19 who are using hormonal contraception.COVID-19 患者使用激素避孕的血栓栓塞风险。
Cochrane Database Syst Rev. 2023 Jan 9;1(1):CD014908. doi: 10.1002/14651858.CD014908.pub2.
6
Behavioral interventions to reduce risk for sexual transmission of HIV among men who have sex with men.降低男男性行为者中艾滋病毒性传播风险的行为干预措施。
Cochrane Database Syst Rev. 2008 Jul 16(3):CD001230. doi: 10.1002/14651858.CD001230.pub2.
7
Drugs for preventing postoperative nausea and vomiting in adults after general anaesthesia: a network meta-analysis.成人全身麻醉后预防术后恶心呕吐的药物:网状Meta分析
Cochrane Database Syst Rev. 2020 Oct 19;10(10):CD012859. doi: 10.1002/14651858.CD012859.pub2.
8
The effectiveness and cost-effectiveness of carmustine implants and temozolomide for the treatment of newly diagnosed high-grade glioma: a systematic review and economic evaluation.卡莫司汀植入剂与替莫唑胺治疗新诊断的高级别胶质瘤的有效性和成本效益:一项系统评价与经济学评估
Health Technol Assess. 2007 Nov;11(45):iii-iv, ix-221. doi: 10.3310/hta11450.
9
[Volume and health outcomes: evidence from systematic reviews and from evaluation of Italian hospital data].[容量与健康结果:来自系统评价和意大利医院数据评估的证据]
Epidemiol Prev. 2013 Mar-Jun;37(2-3 Suppl 2):1-100.
10
Systemic pharmacological treatments for chronic plaque psoriasis: a network meta-analysis.系统性药理学治疗慢性斑块状银屑病:网络荟萃分析。
Cochrane Database Syst Rev. 2021 Apr 19;4(4):CD011535. doi: 10.1002/14651858.CD011535.pub4.

引用本文的文献

1
Glycated albumin in the detection of diabetes during COVID-19 hospitalization.糖化白蛋白在 COVID-19 住院期间检测糖尿病中的应用。
PLoS One. 2024 Mar 18;19(3):e0297952. doi: 10.1371/journal.pone.0297952. eCollection 2024.
2
Diabetes related phenotypes and their influence on outcomes of patients with corona virus disease 2019 (COVID-19).糖尿病相关表型及其对2019冠状病毒病(COVID-19)患者预后的影响。
Diabetol Metab Syndr. 2023 Oct 16;15(1):203. doi: 10.1186/s13098-023-01168-w.
3
Risk phenotypes of diabetes and association with COVID-19 severity and death: an update of a living systematic review and meta-analysis.

本文引用的文献

1
Risk factors for COVID-19-related mortality in people with type 1 and type 2 diabetes in England: a population-based cohort study.英格兰 1 型和 2 型糖尿病患者 COVID-19 相关死亡率的风险因素:一项基于人群的队列研究。
Lancet Diabetes Endocrinol. 2020 Oct;8(10):823-833. doi: 10.1016/S2213-8587(20)30271-0. Epub 2020 Aug 13.
2
Fasting blood glucose at admission is an independent predictor for 28-day mortality in patients with COVID-19 without previous diagnosis of diabetes: a multi-centre retrospective study.入院时的空腹血糖是 COVID-19 患者(无既往糖尿病诊断)28 天死亡率的独立预测因子:一项多中心回顾性研究。
Diabetologia. 2020 Oct;63(10):2102-2111. doi: 10.1007/s00125-020-05209-1. Epub 2020 Jul 10.
3
糖尿病的风险表型与 COVID-19 严重程度和死亡的关系:一项实时系统评价和荟萃分析的更新。
Diabetologia. 2023 Aug;66(8):1395-1412. doi: 10.1007/s00125-023-05928-1. Epub 2023 May 19.
4
The Impact of the COVID-19 Pandemic on Ethnic Minority Groups With Diabetes.新冠疫情对糖尿病少数民族群体的影响。
Diabetes Care. 2023 Feb 1;46(2):228-236. doi: 10.2337/dc21-2495.
5
Prevalence and Associated Factors of Diabetes Distress, Depression and Anxiety Among Primary Care Patients With Type 2 Diabetes During the COVID-19 Pandemic in Egypt: A Cross-Sectional Study.埃及2型糖尿病初级护理患者在新冠疫情期间糖尿病困扰、抑郁和焦虑的患病率及相关因素:一项横断面研究
Front Psychiatry. 2022 Jun 3;13:937973. doi: 10.3389/fpsyt.2022.937973. eCollection 2022.
6
Impact of Type 2 Diabetes Mellitus on the Incidence and Outcomes of COVID-19 Needing Hospital Admission According to Sex: Retrospective Cohort Study Using Hospital Discharge Data in Spain, Year 2020.2020年西班牙一项利用医院出院数据的回顾性队列研究:2型糖尿病对因COVID-19需住院治疗的发病率及结局的影响(按性别分析)
J Clin Med. 2022 May 9;11(9):2654. doi: 10.3390/jcm11092654.
7
Glycated haemoglobin levels among 3295 hospitalized COVID-19 patients, with and without diabetes, and risk of severe infection, admission to an intensive care unit and all-cause mortality.3295 例住院 COVID-19 患者(合并和不合并糖尿病)糖化血红蛋白水平与严重感染、入住重症监护病房和全因死亡率风险的关系。
Diabetes Obes Metab. 2022 Mar;24(3):499-510. doi: 10.1111/dom.14604. Epub 2021 Dec 5.
8
The management of type 2 diabetes before, during and after Covid-19 infection: what is the evidence?新冠病毒感染前后 2 型糖尿病的管理:有哪些证据?
Cardiovasc Diabetol. 2021 Oct 1;20(1):198. doi: 10.1186/s12933-021-01389-1.
9
Clinical characteristics and outcomes of COVID-19 in patients with type 2 diabetes in Turkey: A nationwide study (TurCoviDia).土耳其 2 型糖尿病患者 COVID-19 的临床特征和结局:一项全国性研究(TurCoviDia)。
J Diabetes. 2021 Jul;13(7):585-595. doi: 10.1111/1753-0407.13171. Epub 2021 Mar 24.
Protracted ketonaemia in hyperglycaemic emergencies in COVID-19: a retrospective case series.
2019冠状病毒病高血糖急症中的持续性酮血症:一项回顾性病例系列研究
Lancet Diabetes Endocrinol. 2020 Aug;8(8):660-663. doi: 10.1016/S2213-8587(20)30221-7. Epub 2020 Jul 1.
4
New-Onset Diabetes in Covid-19.新冠病毒感染引发的新发糖尿病
N Engl J Med. 2020 Aug 20;383(8):789-790. doi: 10.1056/NEJMc2018688. Epub 2020 Jun 12.
5
Elevation of blood glucose level predicts worse outcomes in hospitalized patients with COVID-19: a retrospective cohort study.血糖水平升高预示 COVID-19 住院患者预后不良:一项回顾性队列研究。
BMJ Open Diabetes Res Care. 2020 Jun;8(1). doi: 10.1136/bmjdrc-2020-001476.
6
Factors Associated With Intubation and Prolonged Intubation in Hospitalized Patients With COVID-19.与 COVID-19 住院患者插管和长时间插管相关的因素。
Otolaryngol Head Neck Surg. 2020 Jul;163(1):170-178. doi: 10.1177/0194599820929640. Epub 2020 May 19.
7
Severe obesity, increasing age and male sex are independently associated with worse in-hospital outcomes, and higher in-hospital mortality, in a cohort of patients with COVID-19 in the Bronx, New York.在纽约布朗克斯的 COVID-19 患者队列中,严重肥胖、年龄增长和男性性别与住院期间的不良结局独立相关,并与更高的住院死亡率相关。
Metabolism. 2020 Jul;108:154262. doi: 10.1016/j.metabol.2020.154262. Epub 2020 May 16.
8
Clinical Characteristics and Risk Factors for Mortality of COVID-19 Patients With Diabetes in Wuhan, China: A Two-Center, Retrospective Study.中国武汉 COVID-19 合并糖尿病患者的临床特征和死亡危险因素:一项两中心回顾性研究。
Diabetes Care. 2020 Jul;43(7):1382-1391. doi: 10.2337/dc20-0598. Epub 2020 May 14.
9
Remote Glucose Monitoring of Hospitalized, Quarantined Patients With Diabetes and COVID-19.对住院隔离的糖尿病合并新冠病毒肺炎患者进行远程血糖监测
Diabetes Care. 2020 Jul;43(7):e75-e76. doi: 10.2337/dc20-0696. Epub 2020 May 14.
10
Clinical Characteristics and Outcomes of Patients With Diabetes and COVID-19 in Association With Glucose-Lowering Medication.患有糖尿病和 COVID-19 患者的临床特征和转归与降糖药物的关系。
Diabetes Care. 2020 Jul;43(7):1399-1407. doi: 10.2337/dc20-0660. Epub 2020 May 14.