• 文献检索
  • 文档翻译
  • 深度研究
  • 学术资讯
  • Suppr Zotero 插件Zotero 插件
  • 邀请有礼
  • 套餐&价格
  • 历史记录
应用&插件
Suppr Zotero 插件Zotero 插件浏览器插件Mac 客户端Windows 客户端微信小程序
定价
高级版会员购买积分包购买API积分包
服务
文献检索文档翻译深度研究API 文档MCP 服务
关于我们
关于 Suppr公司介绍联系我们用户协议隐私条款
关注我们

Suppr 超能文献

核心技术专利:CN118964589B侵权必究
粤ICP备2023148730 号-1Suppr @ 2026

文献检索

告别复杂PubMed语法,用中文像聊天一样搜索,搜遍4000万医学文献。AI智能推荐,让科研检索更轻松。

立即免费搜索

文件翻译

保留排版,准确专业,支持PDF/Word/PPT等文件格式,支持 12+语言互译。

免费翻译文档

深度研究

AI帮你快速写综述,25分钟生成高质量综述,智能提取关键信息,辅助科研写作。

立即免费体验

情绪应对网络的功能解耦通过执行意图减弱自动情绪调节。

Functional Decoupling of Emotion Coping Network Subsides Automatic Emotion Regulation by Implementation Intention.

作者信息

Chen Shengdong, Ding Nanxiang, Wang Fushun, Li Zhihao, Qin Shaozheng, Biswal Bharat B, Yuan Jiajin

机构信息

The Laboratory for Affect Cognition and Regulation (ACRLAB), Institute of Brain and Psychological Sciences, Sichuan Normal University, Chengdu, China.

School of Psychology, Southwest University, Chongqing, China.

出版信息

Neural Plast. 2021 Jan 5;2021:6639739. doi: 10.1155/2021/6639739. eCollection 2021.

DOI:10.1155/2021/6639739
PMID:33488695
原文链接:https://pmc.ncbi.nlm.nih.gov/articles/PMC7803421/
Abstract

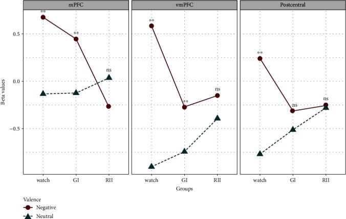
Automatic emotion regulation (AER) plays a vital role in the neuropathology underlying both suicide and self-harm via modifying emotional impact effortlessly. However, both the effortless account and the neural mechanisms of AER are undetermined. To investigate the neural changes at AER, we collected functional MRI (fMRI) in 31 participants who attended to neutral and disgust pictures in three conditions: watching, goal intention (GI), and reappraisal by implementation intention (RII). Results showed that RII (but not GI) decreased negative feelings and bilateral amygdala activity without increasing cognitive efforts, evidenced by the reduced effort rating and less prefrontal engagement during RII compared with during watching and GI. These emotion-regulatory effects of RII cannot be explained by emotional habituation, as the supplementary experiment ( = 31) showed no emotional habituation effects when the same disgust pictures were presented repeatedly three times for each watching and GI condition. Task-based network analysis showed both RII and GI relative to watching increased functional connectivities (FCs) of the ventral anterior cingulate cortex to the left insula and right precuneus during conditions, two FCs subserving goal setup. However, RII relative to GI exhibited weaker FCs in brain networks subserving effortful control, memory retrieval, aversive anticipation, and motor planning. In these FCs, the FC intensity of putamen-operculum/lingual and paracentral-superior temporal gyri positively predicted regulatory difficulty ratings. These findings suggest that the setup of implementation intention automatizes emotion regulation by reducing the online mobilization of emotion-coping neural systems.

摘要

自动情绪调节(AER)通过轻松改变情绪影响,在自杀和自我伤害的神经病理学中起着至关重要的作用。然而,AER的轻松调节机制和神经机制均未确定。为了研究AER过程中的神经变化,我们对31名参与者进行了功能磁共振成像(fMRI),这些参与者在三种条件下观看中性和厌恶图片:观看、目标意图(GI)和通过实施意图进行重新评估(RII)。结果表明,RII(而非GI)降低了负面情绪和双侧杏仁核活动,且未增加认知努力,这表现为与观看和GI期间相比,RII期间努力程度评分降低,前额叶参与度降低。RII的这些情绪调节作用无法用情绪习惯化来解释,因为补充实验(n = 31)表明,在观看和GI条件下,当相同的厌恶图片重复呈现三次时,没有出现情绪习惯化效应。基于任务的网络分析表明,与观看相比,RII和GI在两种条件下均增加了腹侧前扣带回皮层与左侧脑岛和右侧楔前叶之间的功能连接(FCs),这两个FCs有助于目标设定。然而,与GI相比,RII在服务于努力控制、记忆检索、厌恶预期和运动规划的脑网络中表现出较弱的FCs。在这些FCs中,壳核 - 岛盖/舌回和中央旁 - 颞上回的FC强度与调节难度评分呈正相关。这些发现表明,实施意图的设定通过减少情绪应对神经系统的在线动员,使情绪调节自动化。

https://cdn.ncbi.nlm.nih.gov/pmc/blobs/26b6/7803421/e3b043670246/NP2021-6639739.006.jpg
https://cdn.ncbi.nlm.nih.gov/pmc/blobs/26b6/7803421/bce72d3d05c5/NP2021-6639739.001.jpg
https://cdn.ncbi.nlm.nih.gov/pmc/blobs/26b6/7803421/60f3357d6996/NP2021-6639739.002.jpg
https://cdn.ncbi.nlm.nih.gov/pmc/blobs/26b6/7803421/ffbc1ac3bc34/NP2021-6639739.003.jpg
https://cdn.ncbi.nlm.nih.gov/pmc/blobs/26b6/7803421/c16d83907c8e/NP2021-6639739.004.jpg
https://cdn.ncbi.nlm.nih.gov/pmc/blobs/26b6/7803421/19bae8fd8202/NP2021-6639739.005.jpg
https://cdn.ncbi.nlm.nih.gov/pmc/blobs/26b6/7803421/e3b043670246/NP2021-6639739.006.jpg
https://cdn.ncbi.nlm.nih.gov/pmc/blobs/26b6/7803421/bce72d3d05c5/NP2021-6639739.001.jpg
https://cdn.ncbi.nlm.nih.gov/pmc/blobs/26b6/7803421/60f3357d6996/NP2021-6639739.002.jpg
https://cdn.ncbi.nlm.nih.gov/pmc/blobs/26b6/7803421/ffbc1ac3bc34/NP2021-6639739.003.jpg
https://cdn.ncbi.nlm.nih.gov/pmc/blobs/26b6/7803421/c16d83907c8e/NP2021-6639739.004.jpg
https://cdn.ncbi.nlm.nih.gov/pmc/blobs/26b6/7803421/19bae8fd8202/NP2021-6639739.005.jpg
https://cdn.ncbi.nlm.nih.gov/pmc/blobs/26b6/7803421/e3b043670246/NP2021-6639739.006.jpg

相似文献

1
Functional Decoupling of Emotion Coping Network Subsides Automatic Emotion Regulation by Implementation Intention.情绪应对网络的功能解耦通过执行意图减弱自动情绪调节。
Neural Plast. 2021 Jan 5;2021:6639739. doi: 10.1155/2021/6639739. eCollection 2021.
2
Test-retest reliability of emotion regulation networks using fMRI at ultra-high magnetic field.利用超高磁场 fMRI 技术测试情绪调节网络的重测信度。
Neuroimage. 2021 May 15;232:117917. doi: 10.1016/j.neuroimage.2021.117917. Epub 2021 Feb 27.
3
The role of the subgenual anterior cingulate cortex in dorsomedial prefrontal-amygdala neural circuitry during positive-social emotion regulation.扣带回前部下脚在正性社会情绪调节中背内侧前额叶-杏仁核神经回路中的作用。
Hum Brain Mapp. 2020 Aug 1;41(11):3100-3118. doi: 10.1002/hbm.25001. Epub 2020 Apr 20.
4
Acceptance versus reappraisal: Behavioral, autonomic, and neural effects.接纳与重新评估:行为、自主神经及神经效应。
Cogn Affect Behav Neurosci. 2019 Aug;19(4):927-944. doi: 10.3758/s13415-019-00690-7.
5
Emotion regulation ability varies in relation to intrinsic functional brain architecture.情绪调节能力与大脑内在功能结构相关而有所不同。
Soc Cogn Affect Neurosci. 2015 Dec;10(12):1738-48. doi: 10.1093/scan/nsv059. Epub 2015 May 21.
6
The VLPFC-Engaged Voluntary Emotion Regulation: Combined TMS-fMRI Evidence for the Neural Circuit of Cognitive Reappraisal.背外侧前额叶皮层参与的自愿情绪调节:认知重评神经回路的 TMS-fMRI 联合证据。
J Neurosci. 2023 Aug 23;43(34):6046-6060. doi: 10.1523/JNEUROSCI.1337-22.2023. Epub 2023 Jul 28.
7
Dynamic Reorganization of the Cortical Functional Brain Network in Affective Processing and Cognitive Reappraisal.情绪加工和认知重评中皮质功能脑网络的动态重组。
Int J Neural Syst. 2020 Oct;30(10):2050051. doi: 10.1142/S0129065720500513. Epub 2020 Aug 19.
8
The neural correlates of the awe experience: Reduced default mode network activity during feelings of awe.敬畏体验的神经关联:敬畏感时默认模式网络活动减少。
Hum Brain Mapp. 2019 Aug 15;40(12):3561-3574. doi: 10.1002/hbm.24616. Epub 2019 May 7.
9
Functional coupling of the orbitofrontal cortex and the basolateral amygdala mediates the association between spontaneous reappraisal and emotional response.眶额皮层和基底外侧杏仁核的功能连接介导了自发再评价与情绪反应之间的关联。
Neuroimage. 2021 May 15;232:117918. doi: 10.1016/j.neuroimage.2021.117918. Epub 2021 Feb 27.
10
Atypical Dorsolateral Prefrontal Activity in Female Adolescents With Conduct Disorder During Effortful Emotion Regulation.女性青少年品行障碍者在努力进行情绪调节时背外侧前额叶活动异常。
Biol Psychiatry Cogn Neurosci Neuroimaging. 2019 Nov;4(11):984-994. doi: 10.1016/j.bpsc.2019.05.003. Epub 2019 May 22.

引用本文的文献

1
Associations Between Experience of Typical Variations in Stressors and Hippocampal Structure and Functional Connectivity in Childhood.童年期应激源典型变化经历与海马结构及功能连接之间的关联
Int J Dev Neurosci. 2025 Aug;85(5):e70037. doi: 10.1002/jdn.70037.
2
Cognitive reappraisal improves the social decision-making performance of suicide attempters.认知重评可改善自杀未遂者的社会决策表现。
Fundam Res. 2024 Jul 2;5(1):115-123. doi: 10.1016/j.fmre.2024.06.008. eCollection 2025 Jan.
3
A neurofunctional signature of subjective disgust generalizes to oral distaste and socio-moral contexts.

本文引用的文献

1
Explicit and implicit emotion regulation: a multi-level framework.显性和隐性情绪调节:一个多层次框架。
Soc Cogn Affect Neurosci. 2017 Oct 1;12(10):1545-1557. doi: 10.1093/scan/nsx096.
2
Integration and segregation of large-scale brain networks during short-term task automatization.短期任务自动化过程中大脑网络的整合与分离。
Nat Commun. 2016 Nov 3;7:13217. doi: 10.1038/ncomms13217.
3
The down-regulation of disgust by implementation intentions: experiential and physiological concomitants.执行意图对厌恶情绪的下调作用:体验与生理伴随现象
主观厌恶的神经功能特征可推广到口腔厌恶和社会道德情境。
Nat Hum Behav. 2024 Jul;8(7):1383-1402. doi: 10.1038/s41562-024-01868-x. Epub 2024 Apr 19.
4
The Emotion-Regulation Benefits of Implicit Reappraisal in Clinical Depression: Behavioral and Electrophysiological Evidence.临床抑郁症中内隐再评价的情绪调节益处:行为和电生理证据。
Neurosci Bull. 2023 Jun;39(6):973-983. doi: 10.1007/s12264-022-00973-z. Epub 2022 Nov 10.
5
Correlation between suicidal ideation and emotional memory in adolescents with depressive disorder.抑郁障碍青少年自杀意念与情绪记忆的相关性。
Sci Rep. 2022 Mar 31;12(1):5470. doi: 10.1038/s41598-022-09459-4.
6
Editorial: Early Life Stress-Induced Epigenetic Changes Involved in Mental Disorders.社论:早期生活应激诱导的表观遗传变化与精神障碍有关。
Front Genet. 2021 Jul 15;12:684844. doi: 10.3389/fgene.2021.684844. eCollection 2021.
Appl Psychophysiol Biofeedback. 2015 Jun;40(2):95-106. doi: 10.1007/s10484-015-9280-2.
4
The neural correlates of emotion regulation by implementation intentions.执行意图对情绪调节的神经关联。
PLoS One. 2015 Mar 23;10(3):e0119500. doi: 10.1371/journal.pone.0119500. eCollection 2015.
5
Unconscious emotion regulation: Nonconscious reappraisal decreases emotion-related physiological reactivity during frustration.无意识情绪调节:无意识重新评价可降低挫折期间与情绪相关的生理反应性。
Cogn Emot. 2015;29(6):1042-53. doi: 10.1080/02699931.2014.965663. Epub 2014 Oct 8.
6
Ventromedial prefrontal cortex is critical for the regulation of amygdala activity in humans.腹内侧前额叶皮质对人类杏仁核活动的调节至关重要。
Biol Psychiatry. 2015 Feb 1;77(3):276-284. doi: 10.1016/j.biopsych.2014.02.014. Epub 2014 Feb 26.
7
Multi-task connectivity reveals flexible hubs for adaptive task control.多任务连接揭示了用于自适应任务控制的灵活枢纽。
Nat Neurosci. 2013 Sep;16(9):1348-55. doi: 10.1038/nn.3470. Epub 2013 Jul 28.
8
Anticipatory brain activity predicts the success or failure of subsequent emotion regulation.预期性大脑活动可以预测后续情绪调节的成功或失败。
Soc Cogn Affect Neurosci. 2014 Apr;9(4):403-11. doi: 10.1093/scan/nss148. Epub 2012 Nov 30.
9
Emotion unfolded by motion: a role for parietal lobe in decoding dynamic facial expressions.情绪随动作显现:顶叶在解码动态面部表情中的作用。
Soc Cogn Affect Neurosci. 2013 Dec;8(8):950-7. doi: 10.1093/scan/nss092. Epub 2012 Sep 6.
10
Conn: a functional connectivity toolbox for correlated and anticorrelated brain networks.Conn:用于相关和反相关脑网络的功能连接工具箱。
Brain Connect. 2012;2(3):125-41. doi: 10.1089/brain.2012.0073. Epub 2012 Jul 19.