Suppr超能文献

梅毒密螺旋体假定外膜蛋白和疫苗候选物 TprL 的转录和免疫分析。

Transcriptional and immunological analysis of the putative outer membrane protein and vaccine candidate TprL of Treponema pallidum.

机构信息

Department of Medicine, Division of Allergy and Infectious Diseases, University of Washington, Seattle, Washington, United States of America.

Department of Global Health, University of Washington, Seattle, Washington, United States of America.

出版信息

PLoS Negl Trop Dis. 2021 Jan 26;15(1):e0008812. doi: 10.1371/journal.pntd.0008812. eCollection 2021 Jan.

Abstract

BACKGROUND

An effective syphilis vaccine should elicit antibodies to Treponema pallidum subsp. pallidum (T. p. pallidum) surface antigens to induce pathogen clearance through opsonophagocytosis. Although the combination of bioinformatics, structural, and functional analyses of T. p. pallidum genes to identify putative outer membrane proteins (OMPs) resulted in a list of potential vaccine candidates, still very little is known about whether and how transcription of these genes is regulated during infection. This knowledge gap is a limitation to vaccine design, as immunity generated to an antigen that can be down-regulated or even silenced at the transcriptional level without affecting virulence would not induce clearance of the pathogen, hence allowing disease progression.

PRINCIPAL FINDINGS

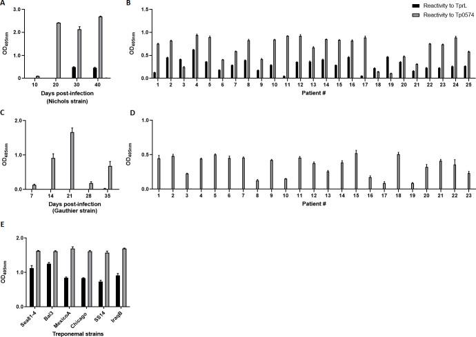
We report here that tp1031, the T. p. pallidum gene encoding the putative OMP and vaccine candidate TprL is differentially expressed in several T. p. pallidum strains, suggesting transcriptional regulation. Experimental identification of the tprL transcriptional start site revealed that a homopolymeric G sequence of varying length resides within the tprL promoter and that its length affects promoter activity compatible with phase variation. Conversely, in the closely related pathogen T. p. subsp. pertenue, the agent of yaws, where a naturally-occurring deletion has eliminated the tprL promoter region, elements necessary for protein synthesis, and part of the gene ORF, tprL transcription level are negligible compared to T. p. pallidum strains. Accordingly, the humoral response to TprL is absent in yaws-infected laboratory animals and patients compared to syphilis-infected subjects.

CONCLUSION

The ability of T. p. pallidum to stochastically vary tprL expression should be considered in any vaccine development effort that includes this antigen. The role of phase variation in contributing to T. p. pallidum antigenic diversity should be further studied.

摘要

背景

有效的梅毒疫苗应该能够诱导针对苍白密螺旋体亚种(T. p. pallidum)表面抗原的抗体,通过调理吞噬作用清除病原体。尽管通过生物信息学、结构和功能分析苍白密螺旋体基因来鉴定潜在的外膜蛋白(OMP)的组合导致了一系列潜在的疫苗候选物,但对于这些基因在感染过程中的转录是否以及如何受到调节,仍然知之甚少。这一知识空白是疫苗设计的一个限制,因为针对一种抗原产生的免疫,如果这种抗原可以在转录水平下调甚至沉默,而不影响毒力,就不会诱导病原体的清除,从而导致疾病的进展。

主要发现

我们在这里报告,编码假定的 OMP 和疫苗候选物 TprL 的 T. p. pallidum 基因 tp1031 在几种苍白密螺旋体菌株中表达不同,提示存在转录调节。tprL 转录起始位点的实验鉴定表明,tprL 启动子内存在一个长度不同的同源多聚 G 序列,其长度影响与相位变异兼容的启动子活性。相反,在密切相关的病原体苍白密螺旋体亚种(引起雅司病的病原体)中,自然发生的缺失消除了 tprL 启动子区域、蛋白质合成所必需的元件和部分基因 ORF,tprL 转录水平与苍白密螺旋体菌株相比可以忽略不计。因此,与梅毒感染患者相比,雅司病感染的实验动物和患者对 TprL 的体液反应缺失。

结论

在任何包含该抗原的疫苗开发工作中,都应考虑苍白密螺旋体随机改变 tprL 表达的能力。相位变异在促进苍白密螺旋体抗原多样性方面的作用应进一步研究。

https://cdn.ncbi.nlm.nih.gov/pmc/blobs/87ef/7864442/b4fc55108f20/pntd.0008812.g001.jpg

文献AI研究员

20分钟写一篇综述,助力文献阅读效率提升50倍。

立即体验

用中文搜PubMed

大模型驱动的PubMed中文搜索引擎

马上搜索

文档翻译

学术文献翻译模型,支持多种主流文档格式。

立即体验