• 文献检索
  • 文档翻译
  • 深度研究
  • 学术资讯
  • Suppr Zotero 插件Zotero 插件
  • 邀请有礼
  • 套餐&价格
  • 历史记录
应用&插件
Suppr Zotero 插件Zotero 插件浏览器插件Mac 客户端Windows 客户端微信小程序
定价
高级版会员购买积分包购买API积分包
服务
文献检索文档翻译深度研究API 文档MCP 服务
关于我们
关于 Suppr公司介绍联系我们用户协议隐私条款
关注我们

Suppr 超能文献

核心技术专利:CN118964589B侵权必究
粤ICP备2023148730 号-1Suppr @ 2026

文献检索

告别复杂PubMed语法,用中文像聊天一样搜索,搜遍4000万医学文献。AI智能推荐,让科研检索更轻松。

立即免费搜索

文件翻译

保留排版,准确专业,支持PDF/Word/PPT等文件格式,支持 12+语言互译。

免费翻译文档

深度研究

AI帮你快速写综述,25分钟生成高质量综述,智能提取关键信息,辅助科研写作。

立即免费体验

重症监护病房中脓毒症3患者的脓毒症死亡风险评分的开发与验证

Development and Validation of a Sepsis Mortality Risk Score for Sepsis-3 Patients in Intensive Care Unit.

作者信息

Zhang Kai, Zhang Shufang, Cui Wei, Hong Yucai, Zhang Gensheng, Zhang Zhongheng

机构信息

Department of Critical Care Medicine, Second Affiliated Hospital, Zhejiang University School of Medicine, Hangzhou, China.

Department of Cardiology, Second Affiliated Hospital, Zhejiang University School of Medicine, Hangzhou, China.

出版信息

Front Med (Lausanne). 2021 Jan 21;7:609769. doi: 10.3389/fmed.2020.609769. eCollection 2020.

DOI:10.3389/fmed.2020.609769
PMID:33553206
原文链接:https://pmc.ncbi.nlm.nih.gov/articles/PMC7859108/
Abstract

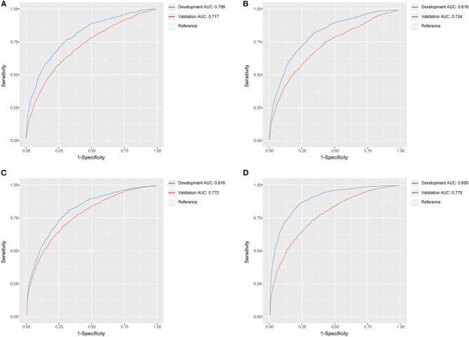
Many severity scores are widely used for clinical outcome prediction for critically ill patients in the intensive care unit (ICU). However, for patients identified by sepsis-3 criteria, none of these have been developed. This study aimed to develop and validate a risk stratification score for mortality prediction in sepsis-3 patients. In this retrospective cohort study, we employed the Medical Information Mart for Intensive Care III (MIMIC III) database for model development and the eICU database for external validation. We identified septic patients by sepsis-3 criteria on day 1 of ICU entry. The Least Absolute Shrinkage and Selection Operator (LASSO) technique was performed to select predictive variables. We also developed a sepsis mortality prediction model and associated risk stratification score. We then compared model discrimination and calibration with other traditional severity scores. For model development, we enrolled a total of 5,443 patients fulfilling the sepsis-3 criteria. The 30-day mortality was 16.7%. With 5,658 septic patients in the validation set, there were 1,135 deaths (mortality 20.1%). The score had good discrimination in development and validation sets (area under curve: 0.789 and 0.765). In the validation set, the calibration slope was 0.862, and the Brier value was 0.140. In the development dataset, the score divided patients according to mortality risk of low (3.2%), moderate (12.4%), high (30.7%), and very high (68.1%). The corresponding mortality in the validation dataset was 2.8, 10.5, 21.1, and 51.2%. As shown by the decision curve analysis, the score always had a positive net benefit. We observed moderate discrimination and calibration for the score termed Sepsis Mortality Risk Score (SMRS), allowing stratification of patients according to mortality risk. However, we still require further modification and external validation.

摘要

许多严重程度评分被广泛用于预测重症监护病房(ICU)中危重症患者的临床结局。然而,对于符合脓毒症-3标准的患者,尚未开发出此类评分。本研究旨在开发并验证一种用于预测脓毒症-3患者死亡率的风险分层评分。在这项回顾性队列研究中,我们使用重症监护医学信息集市III(MIMIC III)数据库进行模型开发,并使用电子ICU数据库进行外部验证。我们在患者入住ICU的第1天根据脓毒症-3标准确定脓毒症患者。采用最小绝对收缩和选择算子(LASSO)技术选择预测变量。我们还开发了一个脓毒症死亡率预测模型及相关的风险分层评分。然后,我们将模型的区分度和校准度与其他传统严重程度评分进行了比较。在模型开发过程中,我们共纳入了5443例符合脓毒症-3标准的患者。30天死亡率为16.7%。验证集中有5658例脓毒症患者,其中1135例死亡(死亡率20.1%)。该评分在开发集和验证集中均具有良好的区分度(曲线下面积分别为0.789和0.765)。在验证集中,校准斜率为0.862,Brier值为0.140。在开发数据集中,该评分根据死亡率风险将患者分为低(3.2%)、中(12.4%)、高(30.7%)和极高(68.1%)四类。验证数据集中相应的死亡率分别为2.8%、10.5%、21.1%和51.2%。决策曲线分析表明,该评分始终具有正的净效益。我们观察到名为脓毒症死亡风险评分(SMRS)的该评分具有中等的区分度和校准度,能够根据死亡率风险对患者进行分层。然而,我们仍需要进一步修改和外部验证。

https://cdn.ncbi.nlm.nih.gov/pmc/blobs/05c4/7859108/4cdac8fa65dd/fmed-07-609769-g0006.jpg
https://cdn.ncbi.nlm.nih.gov/pmc/blobs/05c4/7859108/5ccbb5088d40/fmed-07-609769-g0001.jpg
https://cdn.ncbi.nlm.nih.gov/pmc/blobs/05c4/7859108/285212bdd771/fmed-07-609769-g0002.jpg
https://cdn.ncbi.nlm.nih.gov/pmc/blobs/05c4/7859108/70fee48085ad/fmed-07-609769-g0003.jpg
https://cdn.ncbi.nlm.nih.gov/pmc/blobs/05c4/7859108/3b1fb0a2115d/fmed-07-609769-g0004.jpg
https://cdn.ncbi.nlm.nih.gov/pmc/blobs/05c4/7859108/567076d60f77/fmed-07-609769-g0005.jpg
https://cdn.ncbi.nlm.nih.gov/pmc/blobs/05c4/7859108/4cdac8fa65dd/fmed-07-609769-g0006.jpg
https://cdn.ncbi.nlm.nih.gov/pmc/blobs/05c4/7859108/5ccbb5088d40/fmed-07-609769-g0001.jpg
https://cdn.ncbi.nlm.nih.gov/pmc/blobs/05c4/7859108/285212bdd771/fmed-07-609769-g0002.jpg
https://cdn.ncbi.nlm.nih.gov/pmc/blobs/05c4/7859108/70fee48085ad/fmed-07-609769-g0003.jpg
https://cdn.ncbi.nlm.nih.gov/pmc/blobs/05c4/7859108/3b1fb0a2115d/fmed-07-609769-g0004.jpg
https://cdn.ncbi.nlm.nih.gov/pmc/blobs/05c4/7859108/567076d60f77/fmed-07-609769-g0005.jpg
https://cdn.ncbi.nlm.nih.gov/pmc/blobs/05c4/7859108/4cdac8fa65dd/fmed-07-609769-g0006.jpg

相似文献

1
Development and Validation of a Sepsis Mortality Risk Score for Sepsis-3 Patients in Intensive Care Unit.重症监护病房中脓毒症3患者的脓毒症死亡风险评分的开发与验证
Front Med (Lausanne). 2021 Jan 21;7:609769. doi: 10.3389/fmed.2020.609769. eCollection 2020.
2
Development of a Nomogram to Predict 28-Day Mortality of Patients With Sepsis-Induced Coagulopathy: An Analysis of the MIMIC-III Database.预测脓毒症诱导的凝血病患者28天死亡率的列线图的开发:MIMIC-III数据库分析
Front Med (Lausanne). 2021 Apr 6;8:661710. doi: 10.3389/fmed.2021.661710. eCollection 2021.
3
Development of a novel score for the prediction of hospital mortality in patients with severe sepsis: the use of electronic healthcare records with LASSO regression.开发一种预测严重脓毒症患者医院死亡率的新评分:利用电子健康记录结合套索回归分析
Oncotarget. 2017 Jul 25;8(30):49637-49645. doi: 10.18632/oncotarget.17870.
4
Using machine learning methods to predict in-hospital mortality of sepsis patients in the ICU.使用机器学习方法预测 ICU 中脓毒症患者的院内死亡率。
BMC Med Inform Decis Mak. 2020 Oct 2;20(1):251. doi: 10.1186/s12911-020-01271-2.
5
Interpretable machine learning for 28-day all-cause in-hospital mortality prediction in critically ill patients with heart failure combined with hypertension: A retrospective cohort study based on medical information mart for intensive care database-IV and eICU databases.用于预测心力衰竭合并高血压重症患者28天全因院内死亡率的可解释机器学习:一项基于重症监护医学信息集市数据库-IV和电子重症监护病房数据库的回顾性队列研究
Front Cardiovasc Med. 2022 Oct 12;9:994359. doi: 10.3389/fcvm.2022.994359. eCollection 2022.
6
A machine learning-based prediction model for in-hospital mortality among critically ill patients with hip fracture: An internal and external validated study.基于机器学习的危重症髋部骨折患者院内死亡率预测模型:内部和外部验证研究。
Injury. 2023 Feb;54(2):636-644. doi: 10.1016/j.injury.2022.11.031. Epub 2022 Nov 12.
7
Development and validation of a novel blending machine learning model for hospital mortality prediction in ICU patients with Sepsis.一种用于预测脓毒症重症监护病房患者医院死亡率的新型混合机器学习模型的开发与验证
BioData Min. 2021 Aug 16;14(1):40. doi: 10.1186/s13040-021-00276-5.
8
Prediction model of in-hospital mortality in intensive care unit patients with cardiac arrest: a retrospective analysis of MIMIC -IV database based on machine learning.基于机器学习的 MIMIC-IV 数据库中 ICU 心搏骤停患者院内死亡率预测模型:回顾性分析。
BMC Anesthesiol. 2023 May 25;23(1):178. doi: 10.1186/s12871-023-02138-5.
9
Prediction model of in-hospital mortality in intensive care unit patients with heart failure: machine learning-based, retrospective analysis of the MIMIC-III database.基于机器学习的 MIMIC-III 数据库回顾性分析:预测 ICU 心力衰竭患者院内死亡率的模型。
BMJ Open. 2021 Jul 23;11(7):e044779. doi: 10.1136/bmjopen-2020-044779.
10
A Novel Composite Indicator of Predicting Mortality Risk for Heart Failure Patients With Diabetes Admitted to Intensive Care Unit Based on Machine Learning.基于机器学习的 ICU 收治糖尿病心力衰竭患者死亡风险预测的新型综合指标。
Front Endocrinol (Lausanne). 2022 Jun 29;13:917838. doi: 10.3389/fendo.2022.917838. eCollection 2022.

引用本文的文献

1
Development and temporal validation of a nomogram for predicting ICU 28-day mortality in middle-aged and elderly sepsis patients: An eICU database study.用于预测中老年脓毒症患者重症监护病房28天死亡率的列线图的开发与时间验证:一项电子重症监护病房数据库研究
PLoS One. 2025 Jul 21;20(7):e0328701. doi: 10.1371/journal.pone.0328701. eCollection 2025.
2
Continuous monitoring of physiological data using the patient vital status fusion score in septic critical care patients.使用脓毒症重症监护患者的患者生命状态融合评分对生理数据进行连续监测。
Sci Rep. 2024 Mar 26;14(1):7198. doi: 10.1038/s41598-024-57712-9.
3
Development and Validation of an Interpretable Conformal Predictor to Predict Sepsis Mortality Risk: Retrospective Cohort Study.

本文引用的文献

1
Global, regional, and national sepsis incidence and mortality, 1990-2017: analysis for the Global Burden of Disease Study.全球、地区和国家脓毒症发病率和死亡率,1990-2017 年:全球疾病负担研究分析。
Lancet. 2020 Jan 18;395(10219):200-211. doi: 10.1016/S0140-6736(19)32989-7.
2
Increased body mass index linked to greater short- and long-term survival in sepsis patients: A retrospective analysis of a large clinical database.体重指数升高与脓毒症患者短期和长期生存率的提高相关:对大型临床数据库的回顾性分析。
Int J Infect Dis. 2019 Oct;87:109-116. doi: 10.1016/j.ijid.2019.07.018. Epub 2019 Jul 26.
3
Clinical Trajectories and Causes of Death in Septic Patients with a Low APACHE II Score.
开发和验证可解释的适形预测器以预测脓毒症死亡率风险:回顾性队列研究。
J Med Internet Res. 2024 Mar 18;26:e50369. doi: 10.2196/50369.
4
Identifying prognostic factors for survival in intensive care unit patients with SIRS or sepsis by machine learning analysis on electronic health records.通过对电子健康记录进行机器学习分析来识别重症监护病房中患有全身炎症反应综合征(SIRS)或脓毒症患者的生存预后因素。
PLOS Digit Health. 2024 Mar 15;3(3):e0000459. doi: 10.1371/journal.pdig.0000459. eCollection 2024 Mar.
5
Machine learning for the prediction of sepsis-related death: a systematic review and meta-analysis.机器学习在脓毒症相关死亡预测中的应用:系统评价和荟萃分析。
BMC Med Inform Decis Mak. 2023 Dec 11;23(1):283. doi: 10.1186/s12911-023-02383-1.
6
Association between Red Blood Cell Distribution Width and Short-Term Mortality in Patients with Paralytic Intestinal Obstruction: Retrospective Data Analysis Based on the MIMIC-III Database.麻痹性肠梗阻患者红细胞分布宽度与短期死亡率的关联:基于MIMIC-III数据库的回顾性数据分析
Emerg Med Int. 2023 Oct 23;2023:6739136. doi: 10.1155/2023/6739136. eCollection 2023.
7
Children are small adults (when properly normalized): Transferrable/generalizable sepsis prediction.儿童是小型成人(经过适当标准化后):可转移/通用的脓毒症预测。
Surg Open Sci. 2023 Sep 22;16:77-81. doi: 10.1016/j.sopen.2023.09.013. eCollection 2023 Dec.
8
A nomogram to predict 28-day mortality in neonates with sepsis: a retrospective study based on the MIMIC-III database.预测脓毒症新生儿28天死亡率的列线图:一项基于MIMIC-III数据库的回顾性研究
Transl Pediatr. 2023 Sep 18;12(9):1690-1706. doi: 10.21037/tp-23-150. Epub 2023 Sep 5.
9
Development of a Nomogram for Predicting Mortality Risk in Sepsis Patients During Hospitalization: A Retrospective Study.用于预测脓毒症患者住院期间死亡风险的列线图的开发:一项回顾性研究
Infect Drug Resist. 2023 Apr 19;16:2311-2320. doi: 10.2147/IDR.S407202. eCollection 2023.
10
Prognostic models for mortality risk in patients requiring ECMO.需要 ECMO 支持的患者死亡率风险预测模型。
Intensive Care Med. 2023 Feb;49(2):131-141. doi: 10.1007/s00134-022-06947-z. Epub 2023 Jan 4.
低APACHE II评分脓毒症患者的临床病程及死亡原因
J Clin Med. 2019 Jul 20;8(7):1064. doi: 10.3390/jcm8071064.
4
Prognostic accuracy of the serum lactate level, the SOFA score and the qSOFA score for mortality among adults with Sepsis.血清乳酸水平、SOFA 评分和 qSOFA 评分对成人脓毒症死亡率的预后准确性。
Scand J Trauma Resusc Emerg Med. 2019 Apr 30;27(1):51. doi: 10.1186/s13049-019-0609-3.
5
Machine learning for real-time prediction of complications in critical care: a retrospective study.机器学习实时预测重症监护并发症:一项回顾性研究。
Lancet Respir Med. 2018 Dec;6(12):905-914. doi: 10.1016/S2213-2600(18)30300-X. Epub 2018 Sep 28.
6
The eICU Collaborative Research Database, a freely available multi-center database for critical care research.eICU 协作研究数据库,一个免费的多中心重症监护研究数据库。
Sci Data. 2018 Sep 11;5:180178. doi: 10.1038/sdata.2018.178.
7
Opening the black box of neural networks: methods for interpreting neural network models in clinical applications.打开神经网络的黑匣子:临床应用中解释神经网络模型的方法。
Ann Transl Med. 2018 Jun;6(11):216. doi: 10.21037/atm.2018.05.32.
8
Prognostic Value of The Lactate/Albumin Ratio for Predicting 28-Day Mortality in Critically ILL Sepsis Patients.乳酸/白蛋白比值对危重症脓毒症患者 28 天死亡率的预测价值。
Shock. 2018 Nov;50(5):545-550. doi: 10.1097/SHK.0000000000001128.
9
A Comparative Analysis of Sepsis Identification Methods in an Electronic Database.电子数据库中脓毒症识别方法的比较分析。
Crit Care Med. 2018 Apr;46(4):494-499. doi: 10.1097/CCM.0000000000002965.
10
An Interpretable Machine Learning Model for Accurate Prediction of Sepsis in the ICU.一种用于 ICU 中脓毒症准确预测的可解释机器学习模型。
Crit Care Med. 2018 Apr;46(4):547-553. doi: 10.1097/CCM.0000000000002936.