Suppr超能文献

益生菌培养上清液对 RAW264.7 巨噬细胞致龋生物膜形成和 RANKL 诱导的破骨细胞分化的影响。

Effects of Probiotic Culture Supernatant on Cariogenic Biofilm Formation and RANKL-Induced Osteoclastogenesis in RAW 264.7 Macrophages.

机构信息

Department of Foods and Nutrition, Kookmin University, Seoul 02707, Korea.

MEDIOGEN, Co., Ltd., Jecheon 27159, Korea.

出版信息

Molecules. 2021 Jan 31;26(3):733. doi: 10.3390/molecules26030733.

Abstract

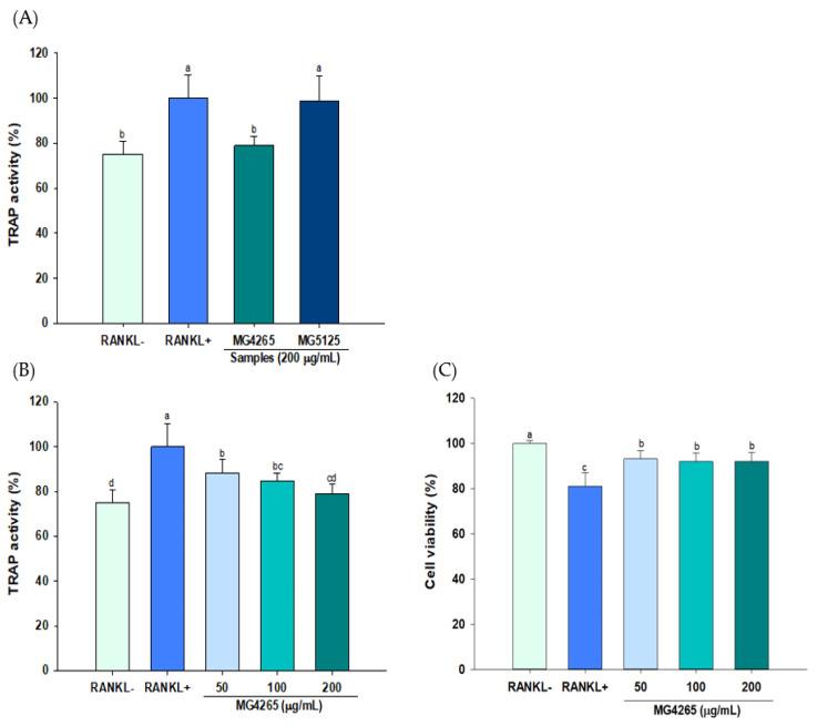
Postbiotics are a promising functional ingredient that can overcome the limitations of viability and storage stability that challenge the production of probiotics. To evaluate the effects of postbiotics on oral health, eight spent culture supernatants (SCSs) of probiotics were prepared, and the effects of SCSs on -induced cariogenic biofilm formation and the receptor activator of the nuclear factor κB ligand (RANKL)-induced osteoclastogenesis were evaluated in RAW 264.7 macrophages. SCS of MG4265 reduced -induced biofilm formation by 73% and significantly inhibited tartrate-resistant acid phosphatase (TRAP) activity, which is a biomarker of mature osteoclasts in RAW 264.7 macrophages. The suppression of RANKL-induced activation of mitogen activated the protein kinases (c-Jun N-terminal kinase, extracellular signal-regulated kinase, and p38) and nuclear factor κB pathways, as well as the upregulation of heme oxygenase-1 expression. The suppression of RANK-L-induced activation of mitogen also inhibited the expression of transcriptional factors (c-fos and nuclear factor of activated T cells cytoplasmic 1) and, subsequently, osteoclastogenesis-related gene expression (tartrate-resistant acid phosphatase-positive (TRAP), cathepsin K, and matrix metalloproteinase-9).Therefore, SCS of MG4265 has great potential as a multifunctional oral health ingredient that inhibits biofilm formation and suppresses the alveolar bone loss that is associated with periodontitis.

摘要

后生元是一种有前途的功能性成分,它可以克服益生菌在生产过程中面临的生存能力和储存稳定性的限制。为了评估后生元对口腔健康的影响,制备了 8 种益生菌的耗尽培养上清液(SCS),并在 RAW 264.7 巨噬细胞中评估了 SCS 对 -诱导的致龋生物膜形成和核因子κB 配体(RANKL)诱导的破骨细胞形成的影响。MG4265 的 SCS 降低了 -诱导的生物膜形成 73%,并显著抑制了 RAW 264.7 巨噬细胞中成熟破骨细胞的标志酶抗酒石酸酸性磷酸酶(TRAP)的活性。抑制 RANKL 诱导的丝裂原激活蛋白激酶(c-Jun N-末端激酶、细胞外信号调节激酶和 p38)和核因子κB 途径的激活,以及血红素加氧酶-1 的表达上调。抑制 RANK-L 诱导的丝裂原的激活也抑制了转录因子(c-fos 和激活 T 细胞的核因子细胞质 1)的表达,随后抑制了破骨细胞形成相关基因的表达(抗酒石酸酸性磷酸酶阳性(TRAP)、组织蛋白酶 K 和基质金属蛋白酶-9)。因此,MG4265 的 SCS 具有作为一种多功能口腔健康成分的巨大潜力,它可以抑制生物膜的形成并抑制与牙周炎相关的牙槽骨丧失。

https://cdn.ncbi.nlm.nih.gov/pmc/blobs/419d/7867007/7321805e20e0/molecules-26-00733-g001.jpg

文献检索

告别复杂PubMed语法,用中文像聊天一样搜索,搜遍4000万医学文献。AI智能推荐,让科研检索更轻松。

立即免费搜索

文件翻译

保留排版,准确专业,支持PDF/Word/PPT等文件格式,支持 12+语言互译。

免费翻译文档

深度研究

AI帮你快速写综述,25分钟生成高质量综述,智能提取关键信息,辅助科研写作。

立即免费体验