Suppr超能文献

越野滑雪短距离比赛经典技术滑行过程中宏观运动策略的比较

Comparisons of Macro-Kinematic Strategies During the Rounds of a Cross-Country Skiing Sprint Competition in Classic Technique.

作者信息

Marsland Finn, Anson Judith Mary, Waddington Gordon, Holmberg Hans-Christer, Chapman Dale Wilson

机构信息

UC Research Institute for Sport and Exercise, University of Canberra, Bruce, ACT, Australia.

Australian Institute of Sport, Bruce, ACT, Australia.

出版信息

Front Sports Act Living. 2021 Jan 28;2:546205. doi: 10.3389/fspor.2020.546205. eCollection 2020.

Abstract

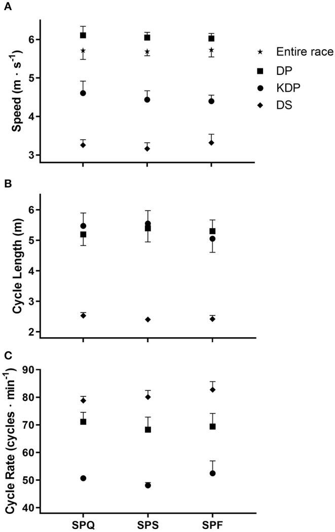
This study was designed to examine macro-kinematic parameters of six female cross-country skiers during the qualifying, semi-final and final rounds of a 1.1 km sprint competition in classical technique. During each round these skiers were monitored continuously with a single micro-sensor, and their cycle parameters and relative use of these two sub-techniques calculated. Within each round six sections of the course, during which all skiers employed either double pole (DP) or diagonal stride (DS) sub-technique, were chosen for additional analysis. The mean macro-kinematic cycle parameters and relative usage of sub-techniques over the full course did not differ significantly between rounds. On average 54% of the course was covered employing DP and 13% using DS, while 32% was covered utilizing a non-cyclical or irregular technique. With DP, the mean racing speed and cycle rate (CR) on the starting, middle and finishing sections of the course differed significantly, with no differences in mean cycle length (CL) between the last two sections. At the finish, higher DP speed was achieved by increasing CR. On the three hills, where all athletes utilized DS, mean racing speed and CL, but not mean CR, differed significantly. On these sections DS speed was increased by utilizing longer cycles. The individual skiers utilized a variety of macro-kinematic strategies during different rounds and on different sections of the course, depending on individual strengths, preferences and pacing strategies, as well as the course topography and tactical interactions with other skiers. Such collection of macro-kinematic data during competitions can help to identify an individual skier's strengths and weaknesses, guiding the testing of different cycle rates, and lengths on different terrains during training in order to optimize performance.

摘要

本研究旨在考察6名女子越野滑雪运动员在1.1公里传统技术短距离比赛的资格赛、半决赛和决赛中的宏观运动学参数。在每一轮比赛中,使用单个微型传感器对这些滑雪运动员进行连续监测,并计算他们的周期参数以及这两种子技术的相对使用情况。在每一轮比赛中,选择赛道的六个部分进行额外分析,在这些部分所有滑雪运动员都采用双杖(DP)或斜向滑行(DS)子技术。各轮比赛中,整个赛道的平均宏观运动学周期参数和子技术的相对使用情况没有显著差异。平均而言,使用DP技术覆盖了54%的赛道,使用DS技术覆盖了13%的赛道,而使用非周期性或不规则技术覆盖了32%的赛道。在DP技术下,赛道起点、中间和终点部分的平均比赛速度和周期率(CR)有显著差异,最后两段的平均周期长度(CL)没有差异。在终点,通过提高CR实现了更高的DP速度。在所有运动员都使用DS技术的三个山坡上,平均比赛速度和CL有显著差异,但平均CR没有差异。在这些路段,通过使用更长的周期提高了DS速度。根据个人优势、偏好和节奏策略,以及赛道地形和与其他滑雪者的战术互动,不同的滑雪者在不同轮次和赛道的不同部分采用了多种宏观运动学策略。在比赛期间收集此类宏观运动学数据有助于识别单个滑雪者的优势和劣势,指导在训练中测试不同地形上的不同周期率和长度,以优化表现。

https://cdn.ncbi.nlm.nih.gov/pmc/blobs/22aa/7876231/c8674599c66d/fspor-02-546205-g0001.jpg

相似文献

1
Comparisons of Macro-Kinematic Strategies During the Rounds of a Cross-Country Skiing Sprint Competition in Classic Technique.
Front Sports Act Living. 2021 Jan 28;2:546205. doi: 10.3389/fspor.2020.546205. eCollection 2020.
2
Macro-Kinematic Differences Between Sprint and Distance Cross-Country Skiing Competitions Using the Classical Technique.
Front Physiol. 2018 May 17;9:570. doi: 10.3389/fphys.2018.00570. eCollection 2018.
3
Full course macro-kinematic analysis of a 10 km classical cross-country skiing competition.
PLoS One. 2017 Aug 1;12(8):e0182262. doi: 10.1371/journal.pone.0182262. eCollection 2017.
5
Factors that Influence the Performance of Elite Sprint Cross-Country Skiers.
Sports Med. 2017 Feb;47(2):319-342. doi: 10.1007/s40279-016-0573-2.
7
Analysis of a simulated sprint competition in classical cross country skiing.
Scand J Med Sci Sports. 2007 Aug;17(4):362-72. doi: 10.1111/j.1600-0838.2006.00589.x. Epub 2006 Aug 14.
8
The influence of race tactics for performance in the heats of an international sprint cross-country skiing competition.
PLoS One. 2022 Dec 9;17(12):e0278552. doi: 10.1371/journal.pone.0278552. eCollection 2022.
9
Sex-based differences in sub-technique selection during an international classical cross-country skiing competition.
PLoS One. 2020 Sep 29;15(9):e0239862. doi: 10.1371/journal.pone.0239862. eCollection 2020.

引用本文的文献

1
The influence of race tactics for performance in the heats of an international sprint cross-country skiing competition.
PLoS One. 2022 Dec 9;17(12):e0278552. doi: 10.1371/journal.pone.0278552. eCollection 2022.

本文引用的文献

1
Sex-based differences in sub-technique selection during an international classical cross-country skiing competition.
PLoS One. 2020 Sep 29;15(9):e0239862. doi: 10.1371/journal.pone.0239862. eCollection 2020.
2
Sex Differences in Performance and Pacing Strategies During Sprint Skiing.
Front Physiol. 2019 Mar 22;10:295. doi: 10.3389/fphys.2019.00295. eCollection 2019.
5
Macro-Kinematic Differences Between Sprint and Distance Cross-Country Skiing Competitions Using the Classical Technique.
Front Physiol. 2018 May 17;9:570. doi: 10.3389/fphys.2018.00570. eCollection 2018.
7
Full course macro-kinematic analysis of a 10 km classical cross-country skiing competition.
PLoS One. 2017 Aug 1;12(8):e0182262. doi: 10.1371/journal.pone.0182262. eCollection 2017.
8
Metabolic Responses and Pacing Strategies during Successive Sprint Skiing Time Trials.
Med Sci Sports Exerc. 2016 Dec;48(12):2544-2554. doi: 10.1249/MSS.0000000000001037.
10
Energy system contributions and determinants of performance in sprint cross-country skiing.
Scand J Med Sci Sports. 2017 Apr;27(4):385-398. doi: 10.1111/sms.12666. Epub 2016 Feb 29.

文献AI研究员

20分钟写一篇综述,助力文献阅读效率提升50倍。

立即体验

用中文搜PubMed

大模型驱动的PubMed中文搜索引擎

马上搜索

文档翻译

学术文献翻译模型,支持多种主流文档格式。

立即体验