Suppr超能文献

汞结合对半胱氨酸和硒代半胱氨酸的过氧化物还原潜力的影响。

Effect of Methylmercury Binding on the Peroxide-Reducing Potential of Cysteine and Selenocysteine.

机构信息

Dipartimento di Scienze Chimiche, Università degli Studi di Padova, Via Marzolo 1, 35131 Padova, Italy.

Departamento de Bioquímica e Biologia Molecular, Universidade Federal de Santa Maria (UFSM), 97105-900 Santa Maria, RS, Brazil.

出版信息

Inorg Chem. 2021 Apr 5;60(7):4646-4656. doi: 10.1021/acs.inorgchem.0c03619. Epub 2021 Feb 15.

Abstract

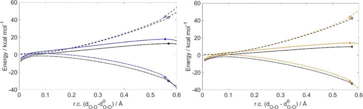
Methylmercury (CHHg) binding to catalytically fundamental cysteine and selenocysteine of peroxide-reducing enzymes has long been postulated as the origin of its toxicological activity. Only very recently, CHHg binding to the selenocysteine of thioredoxin reductase has been directly observed [Pickering, I. J. , 2020, 59, 2711-2718], but the precise influence of the toxicant on the peroxide-reducing potential of such a residue has never been investigated. In this work, we employ state-of-the-art density functional theory calculations to study the reactivity of molecular models of the free and toxified enzymes. Trends in activation energies are discussed with attention to the biological consequences and are rationalized within the chemically intuitive framework provided by the activation strain model. With respect to the free, protonated amino acids, CHHg binding promotes oxidation of the S or Se nucleus, suggesting that chalcogenoxide formation might occur in the toxified enzyme, even if the actual rate of peroxide reduction is almost certainly lowered as suggested by comparison with fully deprotonated amino acids models.

摘要

甲基汞(CHHg)与过氧化物还原酶中催化基本的半胱氨酸和硒代半胱氨酸的结合,长期以来一直被认为是其毒性作用的起源。直到最近,才直接观察到 CHHg 与硫氧还蛋白还原酶的硒代半胱氨酸的结合[Pickering, I. J., 2020, 59, 2711-2718],但这种毒物对过氧化物还原酶残基的过氧化物还原能力的精确影响从未被研究过。在这项工作中,我们采用最先进的密度泛函理论计算来研究游离和中毒酶的分子模型的反应性。我们讨论了活化能的趋势,并关注其生物学后果,并在由活化应变模型提供的化学直观框架内进行合理化。对于游离的质子化氨基酸,CHHg 的结合促进了 S 或 Se 核的氧化,这表明即使过氧化物还原的实际速率由于与完全去质子化氨基酸模型的比较而几乎肯定降低,氧化产物可能在中毒酶中形成。

https://cdn.ncbi.nlm.nih.gov/pmc/blobs/9db7/8763373/21fcc663e7f7/ic0c03619_0008.jpg

文献检索

告别复杂PubMed语法,用中文像聊天一样搜索,搜遍4000万医学文献。AI智能推荐,让科研检索更轻松。

立即免费搜索

文件翻译

保留排版,准确专业,支持PDF/Word/PPT等文件格式,支持 12+语言互译。

免费翻译文档

深度研究

AI帮你快速写综述,25分钟生成高质量综述,智能提取关键信息,辅助科研写作。

立即免费体验