• 文献检索
  • 文档翻译
  • 深度研究
  • 学术资讯
  • Suppr Zotero 插件Zotero 插件
  • 邀请有礼
  • 套餐&价格
  • 历史记录
应用&插件
Suppr Zotero 插件Zotero 插件浏览器插件Mac 客户端Windows 客户端微信小程序
定价
高级版会员购买积分包购买API积分包
服务
文献检索文档翻译深度研究API 文档MCP 服务
关于我们
关于 Suppr公司介绍联系我们用户协议隐私条款
关注我们

Suppr 超能文献

核心技术专利:CN118964589B侵权必究
粤ICP备2023148730 号-1Suppr @ 2026

文献检索

告别复杂PubMed语法,用中文像聊天一样搜索,搜遍4000万医学文献。AI智能推荐,让科研检索更轻松。

立即免费搜索

文件翻译

保留排版,准确专业,支持PDF/Word/PPT等文件格式,支持 12+语言互译。

免费翻译文档

深度研究

AI帮你快速写综述,25分钟生成高质量综述,智能提取关键信息,辅助科研写作。

立即免费体验

真实世界中 608 例银屑病关节炎患者使用司库奇尤单抗的疗效和安全性:一项为期 24 个月的前瞻性、多中心研究。

Effectiveness and safety of secukinumab in 608 patients with psoriatic arthritis in real life: a 24-month prospective, multicentre study.

机构信息

Rheumatology Unit, Department of Medicine, University of Padova, Padova, Veneto, Italy

Rheumatology Unit, Department of Medicine, University of Padova, Padova, Veneto, Italy.

出版信息

RMD Open. 2021 Feb;7(1). doi: 10.1136/rmdopen-2020-001519.

DOI:10.1136/rmdopen-2020-001519
PMID:33593933
原文链接:https://pmc.ncbi.nlm.nih.gov/articles/PMC7888309/
Abstract

OBJECTIVES

To evaluate in a multicentric Italian cohort of patients with psoriatic arthritis (PsA) on secukinumab followed for 24 months: (1) the long-term effectiveness and safety of secukinumab, (2) the drug retention rate and minimal disease activity (MDA), (3) differences in the outcomes according to the biological treatment line: biologic-naïve patients () versus multifailure () patients.

METHODS

Consecutive patients with PsA receiving secukinumab were evaluated prospectively. Disease characteristics, previous/ongoing treatments, comorbidities and follow-up duration were collected. Disease activity/functional/clinimetric scores and biochemical values were recorded at baseline (T0), 6(T6), 12(T12) and 24(T24) months. Effectiveness was evaluated overtime with descriptive statistics; multivariate Cox and logistic regression models were used to evaluate predictors of drug-discontinuation and MDA at T6. Infections and adverse events were recorded.

RESULTS

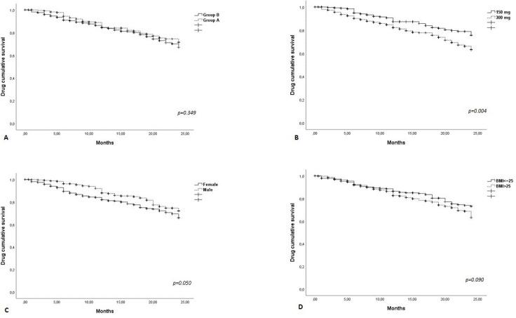
608 patients (41.28% men; mean (SD) age 52.78 (11.33)) were enrolled; secukinumab was prescribed as first-line biological treatment in 227 (37.34%) patients, as second (or more)-line biological treatment in 381 (62.66%). Effectiveness of secukinumab was shown with an improvement in several outcomes, such as Ankylosing Spondylitis Disease Activity Score (T0=3.26 (0.88) vs T24=1.60 (0.69) ;p=0.02) and Disease Activity Index for Psoriatic Arthritis (T0=25.29 (11.14) vs T24=7.69 (4.51); p<0.01). At T24, showed lower Psoriasis Area Severity Index (p=0.04), erythrocyte sedimentation rate and C reactive protein (p=0.03 ;p=0.05) and joint count (p=0.03) compared with . At T24, MDA was achieved in 75.71% of and 70.37% of . Treatment was discontinued in 123 (20.23%) patients, mainly due to primary/secondary loss of effectiveness, and in 22 due to adverse events. Retention rate at T24 was 71% in the whole population, with some difference depending on secukinumab dosage (p=0.004) and gender (p=0.05).

CONCLUSIONS

In a real-life clinical setting, secukimumab proved safe and effective in all PsA domains, with notable drug retention rate.

摘要

目的

在接受司库奇尤单抗治疗的意大利多中心银屑病关节炎(PsA)患者队列中进行评估:(1)司库奇尤单抗的长期疗效和安全性;(2)药物保留率和最小疾病活动度(MDA);(3)根据生物治疗线的差异:生物初治患者()与多线治疗失败患者()的结局差异。

方法

连续入组接受司库奇尤单抗治疗的 PsA 患者,前瞻性评估。收集疾病特征、既往/正在进行的治疗、合并症和随访时间。在基线(T0)、6(T6)、12(T12)和 24(T24)个月记录疾病活动/功能/临床评分和生化值。采用描述性统计评估疗效随时间的变化;采用多变量 Cox 和逻辑回归模型评估 T6 时药物停药和 MDA 的预测因素。记录感染和不良事件。

结果

共纳入 608 例患者(41.28%为男性;平均(SD)年龄 52.78(11.33)岁);227 例(37.34%)患者将司库奇尤单抗作为一线生物治疗药物,381 例(62.66%)患者作为二线(或更多线)生物治疗药物。司库奇尤单抗的有效性在多个结局方面得到了证实,例如强直性脊柱炎疾病活动评分(T0=3.26(0.88)vs T24=1.60(0.69);p=0.02)和银屑病关节炎疾病活动指数(T0=25.29(11.14)vs T24=7.69(4.51);p<0.01)。在 T24 时,与相比,显示出较低的银屑病面积严重程度指数(p=0.04)、红细胞沉降率和 C 反应蛋白(p=0.03;p=0.05)和关节计数(p=0.03)。在 T24 时,达到 MDA 的患者中,为 75.71%,为 70.37%。123 例(20.23%)患者因原发性/继发性治疗失效而停止治疗,22 例患者因不良事件而停止治疗。整个队列中,T24 时的保留率为 71%,不同剂量的司库奇尤单抗(p=0.004)和性别(p=0.05)存在一定差异。

结论

在真实临床环境中,司库奇尤单抗在所有银屑病关节炎领域均安全有效,药物保留率高。

https://cdn.ncbi.nlm.nih.gov/pmc/blobs/558f/7888309/4e920a9db8b9/rmdopen-2020-001519f02.jpg
https://cdn.ncbi.nlm.nih.gov/pmc/blobs/558f/7888309/3478cf8229ed/rmdopen-2020-001519f01.jpg
https://cdn.ncbi.nlm.nih.gov/pmc/blobs/558f/7888309/4e920a9db8b9/rmdopen-2020-001519f02.jpg
https://cdn.ncbi.nlm.nih.gov/pmc/blobs/558f/7888309/3478cf8229ed/rmdopen-2020-001519f01.jpg
https://cdn.ncbi.nlm.nih.gov/pmc/blobs/558f/7888309/4e920a9db8b9/rmdopen-2020-001519f02.jpg

相似文献

1
Effectiveness and safety of secukinumab in 608 patients with psoriatic arthritis in real life: a 24-month prospective, multicentre study.真实世界中 608 例银屑病关节炎患者使用司库奇尤单抗的疗效和安全性:一项为期 24 个月的前瞻性、多中心研究。
RMD Open. 2021 Feb;7(1). doi: 10.1136/rmdopen-2020-001519.
2
Effectiveness and safety of secukinumab in axial spondyloarthritis: a 24-month prospective, multicenter real-life study.司库奇尤单抗治疗中轴型脊柱关节炎的有效性和安全性:一项为期24个月的前瞻性多中心真实世界研究。
Ther Adv Musculoskelet Dis. 2022 Apr 29;14:1759720X221090310. doi: 10.1177/1759720X221090310. eCollection 2022.
3
Four-year effectiveness, safety and drug retention rate of secukinumab in psoriatic arthritis: a real-life Italian multicenter cohort.司库奇尤单抗治疗银屑病关节炎四年的疗效、安全性和药物保留率:一项真实世界的意大利多中心队列研究。
Arthritis Res Ther. 2024 Sep 28;26(1):172. doi: 10.1186/s13075-024-03401-x.
4
Effectiveness and safety of ustekinumab in naïve or TNF-inhibitors failure psoriatic arthritis patients: a 24-month prospective multicentric study.乌司奴单抗治疗初治或 TNF 抑制剂治疗失败的银屑病关节炎患者的有效性和安全性:一项 24 个月前瞻性多中心研究。
Clin Rheumatol. 2018 Feb;37(2):397-405. doi: 10.1007/s10067-017-3953-6. Epub 2018 Jan 4.
5
One-year effectiveness, retention rate, and safety of secukinumab in ankylosing spondylitis and psoriatic arthritis: a real-life multicenter study.在强直性脊柱炎和银屑病关节炎中司库奇尤单抗的一年疗效、保留率和安全性:一项真实世界的多中心研究。
Expert Opin Biol Ther. 2020 Jul;20(7):813-821. doi: 10.1080/14712598.2020.1761957. Epub 2020 May 13.
6
Secukinumab Drug Survival in Psoriasis and Psoriatic Arthritis Patients: A 24-Month Real-Life Study.司库奇尤单抗治疗银屑病和银屑病关节炎患者的药物生存情况:一项为期 24 个月的真实世界研究。
Dermatology. 2022;238(5):897-903. doi: 10.1159/000522008. Epub 2022 Mar 9.
7
Secukinumab Use in Patients with Moderate to Severe Psoriasis, Psoriatic Arthritis and Ankylosing Spondylitis in Real-World Setting in Europe: Baseline Data from SERENA Study.在欧洲真实世界环境中,司库奇尤单抗在中重度斑块状银屑病、银屑病关节炎和强直性脊柱炎患者中的应用:来自 SERENA 研究的基线数据。
Adv Ther. 2020 Jun;37(6):2865-2883. doi: 10.1007/s12325-020-01352-8. Epub 2020 May 6.
8
Cost-effectiveness analysis of secukinumab for the treatment of active psoriatic arthritis: a Canadian perspective.司库奇尤单抗治疗活动性银屑病关节炎的成本效益分析:加拿大视角
J Med Econ. 2018 Feb;21(2):163-173. doi: 10.1080/13696998.2017.1384737. Epub 2017 Oct 19.
9
Cost Effectiveness of Secukinumab Versus Other Biologics and Apremilast in the Treatment of Active Psoriatic Arthritis in Germany.在德国,司库奇尤单抗对比其他生物制剂和阿普米司特治疗活动性银屑病关节炎的成本效果分析。
Appl Health Econ Health Policy. 2020 Feb;18(1):109-125. doi: 10.1007/s40258-019-00523-1.
10
Secukinumab versus adalimumab for treatment of active psoriatic arthritis (EXCEED): a double-blind, parallel-group, randomised, active-controlled, phase 3b trial.司库奇尤单抗治疗活动性银屑病关节炎(EXCEED):一项双盲、平行组、随机、主动对照、3b 期临床试验。
Lancet. 2020 May 9;395(10235):1496-1505. doi: 10.1016/S0140-6736(20)30564-X.

引用本文的文献

1
Characterization of Super-Responder Profile in Patients with Psoriatic Arthritis Treated with b/tsDMARDs: A Retrospective Study of a Longitudinal Cohort.接受生物/靶向合成改善病情抗风湿药(b/tsDMARDs)治疗的银屑病关节炎患者超级反应者特征分析:一项纵向队列回顾性研究
Rheumatol Ther. 2025 Aug 15. doi: 10.1007/s40744-025-00789-z.
2
Longer Drug Retention of Interleukin-12/23 or Interleukin-17 Inhibitors Compared With TNF Inhibitors in Female Patients With TNF Inhibitor-Experienced Psoriatic Arthritis.与肿瘤坏死因子(TNF)抑制剂相比,白细胞介素-12/23或白细胞介素-17抑制剂在有使用TNF抑制剂经验的女性银屑病关节炎患者中的药物保留时间更长。
Mayo Clin Proc Innov Qual Outcomes. 2025 May 12;9(3):100622. doi: 10.1016/j.mayocpiqo.2025.100622. eCollection 2025 Jun.
3

本文引用的文献

1
Secukinumab in patients with psoriatic arthritis and axial manifestations: results from the double-blind, randomised, phase 3 MAXIMISE trial.司库奇尤单抗治疗伴有中轴表现的银屑病关节炎患者:来自双盲、随机、3 期 MAXIMISE 试验的结果。
Ann Rheum Dis. 2021 May;80(5):582-590. doi: 10.1136/annrheumdis-2020-218808. Epub 2020 Dec 17.
2
Real Life Efficacy and Safety of Secukinumab in Biologic-Experienced Patients With Psoriatic Arthritis.司库奇尤单抗在有生物制剂使用经验的银屑病关节炎患者中的真实疗效和安全性
Front Med (Lausanne). 2020 Jun 19;7:288. doi: 10.3389/fmed.2020.00288. eCollection 2020.
3
Secukinumab shows high and sustained efficacy in nail psoriasis: 2.5-year results from the randomized placebo-controlled TRANSFIGURE study.
High long-term retention rates of Secukinumab in psoriatic arthritis and ankylosing spondylitis: a 3-year interim analysis from the observational, prospective SERENA study, in Greek patients.司库奇尤单抗在银屑病关节炎和强直性脊柱炎中的长期高保留率:来自希腊患者的前瞻性观察性SERENA研究的3年中期分析。
Rheumatol Int. 2025 Apr 18;45(5):105. doi: 10.1007/s00296-025-05839-x.
4
Efficacy and retention rate of secukinumab in psoriatic arthritis across different clinical phenotypes: insights from the Italian GISEA Registry.司库奇尤单抗在不同临床表型银屑病关节炎中的疗效和保留率:来自意大利GISEA注册研究的见解
Ther Adv Musculoskelet Dis. 2025 Jan 31;17:1759720X251315138. doi: 10.1177/1759720X251315138. eCollection 2025.
5
Factors predicting treatment response to biological and targeted synthetic disease-modifying antirheumatic drugs in psoriatic arthritis - a systematic review and meta-analysis.预测生物制剂和靶向合成疾病修饰抗风湿药物治疗银屑病关节炎反应的因素——系统评价和荟萃分析。
Clin Rheumatol. 2024 Dec;43(12):3723-3746. doi: 10.1007/s10067-024-07193-y. Epub 2024 Oct 28.
6
Cycling versus swapping strategies with TNF-α inhibitors and IL-17 inhibitors in psoriatic arthritis in clinical practice.在临床实践中,比较肿瘤坏死因子-α抑制剂和白细胞介素-17 抑制剂在银屑病关节炎中的循环与交换策略。
Sci Rep. 2024 Oct 22;14(1):24922. doi: 10.1038/s41598-024-75190-x.
7
Secukinumab in the Treatment of Psoriasis: A Narrative Review on Early Treatment and Real-World Evidence.司库奇尤单抗治疗银屑病:关于早期治疗及真实世界证据的叙述性综述
Dermatol Ther (Heidelb). 2024 Oct;14(10):2739-2757. doi: 10.1007/s13555-024-01255-4. Epub 2024 Sep 24.
8
Durable control of psoriatic arthritis with guselkumab across domains and patient characteristics: post hoc analysis of a phase 3 study.古塞库单抗在不同领域和患者特征方面对银屑病关节炎的持久控制:一项3期研究的事后分析
Clin Rheumatol. 2024 Aug;43(8):2551-2563. doi: 10.1007/s10067-024-06991-8. Epub 2024 Jun 7.
9
Clinical Features and Disease Activity in Psoriatic Arthritis: A Sex-Related Perspective on Leptin and Comorbidity.银屑病关节炎的临床特征与疾病活动度:基于瘦素和合并症的性别相关视角
J Clin Med. 2024 May 17;13(10):2959. doi: 10.3390/jcm13102959.
10
Effectiveness of secukinumab in patients with psoriasis and psoriatic arthritis in a Saudi real-world setting.沙特真实世界环境中司库奇尤单抗治疗银屑病和银屑病关节炎患者的疗效。
Adv Rheumatol. 2024 Apr 29;64(1):34. doi: 10.1186/s42358-024-00371-1.
司库奇尤单抗在指甲银屑病中显示出高且持续的疗效:随机安慰剂对照TRANSFIGURE研究的2.5年结果
Br J Dermatol. 2021 Mar;184(3):425-436. doi: 10.1111/bjd.19262. Epub 2020 Dec 16.
4
EULAR recommendations for the management of psoriatic arthritis with pharmacological therapies: 2019 update.EULAR 推荐的药物治疗银屑病关节炎管理:2019 年更新。
Ann Rheum Dis. 2020 Jun;79(6):700-712. doi: 10.1136/annrheumdis-2020-217159.
5
One-year effectiveness, retention rate, and safety of secukinumab in ankylosing spondylitis and psoriatic arthritis: a real-life multicenter study.在强直性脊柱炎和银屑病关节炎中司库奇尤单抗的一年疗效、保留率和安全性:一项真实世界的多中心研究。
Expert Opin Biol Ther. 2020 Jul;20(7):813-821. doi: 10.1080/14712598.2020.1761957. Epub 2020 May 13.
6
Secukinumab versus adalimumab for treatment of active psoriatic arthritis (EXCEED): a double-blind, parallel-group, randomised, active-controlled, phase 3b trial.司库奇尤单抗治疗活动性银屑病关节炎(EXCEED):一项双盲、平行组、随机、主动对照、3b 期临床试验。
Lancet. 2020 May 9;395(10235):1496-1505. doi: 10.1016/S0140-6736(20)30564-X.
7
Remission in psoriatic arthritis: Definition and predictors.银屑病关节炎的缓解:定义与预测因素
Semin Arthritis Rheum. 2020 Dec;50(6):1494-1499. doi: 10.1016/j.semarthrit.2020.01.012. Epub 2020 Feb 3.
8
Impact of discordance between patient's and evaluator's global assessment on treatment outcomes in 14 868 patients with spondyloarthritis.在 14868 例脊柱关节炎患者中,患者和评估者整体评估的不相符对治疗结局的影响。
Rheumatology (Oxford). 2020 Sep 1;59(9):2455-2461. doi: 10.1093/rheumatology/kez656.
9
Secukinumab Provides Sustained Improvements in the Signs and Symptoms of Psoriatic Arthritis: Final 5-year Results from the Phase 3 FUTURE 1 Study.司库奇尤单抗可持续改善银屑病关节炎的体征和症状:3期FUTURE 1研究的最终5年结果
ACR Open Rheumatol. 2020 Jan;2(1):18-25. doi: 10.1002/acr2.11097. Epub 2019 Nov 14.
10
Effectiveness of Adalimumab for the Treatment of Psoriatic Arthritis: An Italian Real-Life Retrospective Study.阿达木单抗治疗银屑病关节炎的有效性:一项意大利真实世界回顾性研究。
Front Pharmacol. 2019 Dec 13;10:1497. doi: 10.3389/fphar.2019.01497. eCollection 2019.