Kraisler Eli, Hodgson M J P, Gross E K U
Fritz Haber Center for Molecular Dynamics and Institute of Chemistry, The Hebrew University of Jerusalem, 9091401 Jerusalem, Israel.
Department of Physics, Durham University, South Road, Durham DH1 3LE, United Kingdom.
J Chem Theory Comput. 2021 Mar 9;17(3):1390-1407. doi: 10.1021/acs.jctc.0c01093. Epub 2021 Feb 17.
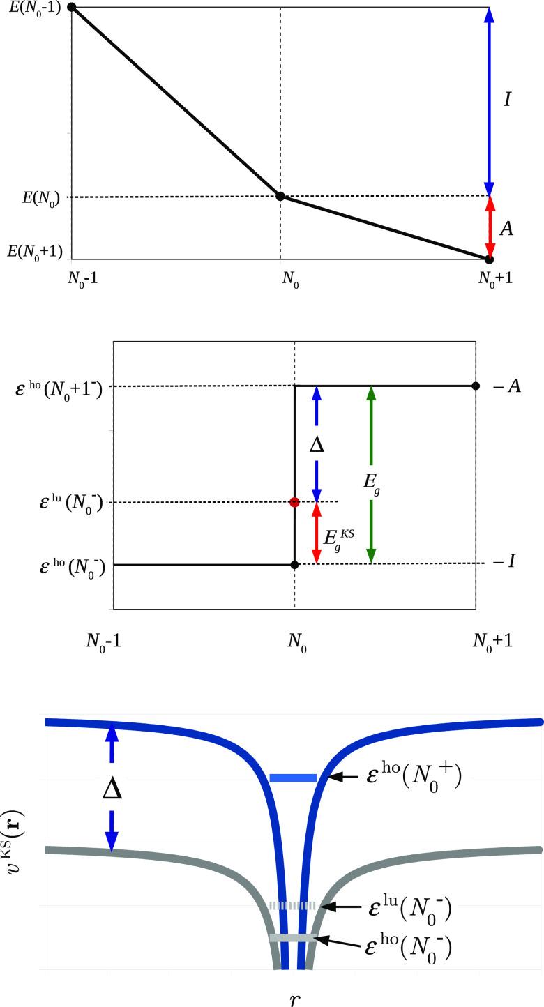
Accurately describing excited states within Kohn-Sham (KS) density functional theory (DFT), particularly those which induce ionization and charge transfer, remains a great challenge. Common exchange-correlation (xc) approximations are unreliable for excited states owing, in part, to the absence of a derivative discontinuity in the xc energy (Δ), which relates a many-electron energy difference to the corresponding KS energy difference. We demonstrate, analytically and numerically, how the relationship between KS and many-electron energies leads to the step structures observed in the exact xc potential in four scenarios: electron addition, molecular dissociation, excitation of a finite system, and charge transfer. We further show that steps in the potential can be obtained also with common xc approximations, as simple as the LDA, when addressed from the ensemble perspective. The article therefore highlights how capturing the relationship between KS and many-electron energies with advanced xc approximations is crucial for accurately calculating excitations, as well as the ground-state density and energy of systems which consist of distinct subsystems.
在科恩-沙姆(KS)密度泛函理论(DFT)中准确描述激发态,尤其是那些诱导电离和电荷转移的激发态,仍然是一个巨大的挑战。常见的交换关联(xc)近似对于激发态是不可靠的,部分原因是xc能量(Δ)中不存在导数不连续性,而Δ将多电子能量差与相应的KS能量差联系起来。我们通过解析和数值方法证明了,在四种情况下,KS能量与多电子能量之间的关系如何导致在精确xc势中观察到的阶梯结构:电子添加、分子解离、有限系统的激发和电荷转移。我们进一步表明,当从系综角度考虑时,像局域密度近似(LDA)这样简单的常见xc近似也可以得到势中的阶梯。因此,本文强调了用先进的xc近似捕捉KS能量与多电子能量之间的关系对于准确计算激发态以及由不同子系统组成的系统的基态密度和能量至关重要。