• 文献检索
  • 文档翻译
  • 深度研究
  • 学术资讯
  • Suppr Zotero 插件Zotero 插件
  • 邀请有礼
  • 套餐&价格
  • 历史记录
应用&插件
Suppr Zotero 插件Zotero 插件浏览器插件Mac 客户端Windows 客户端微信小程序
定价
高级版会员购买积分包购买API积分包
服务
文献检索文档翻译深度研究API 文档MCP 服务
关于我们
关于 Suppr公司介绍联系我们用户协议隐私条款
关注我们

Suppr 超能文献

核心技术专利:CN118964589B侵权必究
粤ICP备2023148730 号-1Suppr @ 2026

文献检索

告别复杂PubMed语法,用中文像聊天一样搜索,搜遍4000万医学文献。AI智能推荐,让科研检索更轻松。

立即免费搜索

文件翻译

保留排版,准确专业,支持PDF/Word/PPT等文件格式,支持 12+语言互译。

免费翻译文档

深度研究

AI帮你快速写综述,25分钟生成高质量综述,智能提取关键信息,辅助科研写作。

立即免费体验

全面 lncRNAs 转录组的特征分析揭示了 lncRNAs 在多发性骨髓瘤中的功能和临床影响。

Characterization of complete lncRNAs transcriptome reveals the functional and clinical impact of lncRNAs in multiple myeloma.

机构信息

Área de Oncología, Centro de Investigación Médica Aplicada (CIMA), Universidad de Navarra, IDISNA, Pamplona, Spain.

Centro de Investigación Biomédica en Red de Cáncer, CIBERONC, Pamplona, Spain.

出版信息

Leukemia. 2021 May;35(5):1438-1450. doi: 10.1038/s41375-021-01147-y. Epub 2021 Feb 17.

DOI:10.1038/s41375-021-01147-y
PMID:33597729
原文链接:https://pmc.ncbi.nlm.nih.gov/articles/PMC8102198/
Abstract

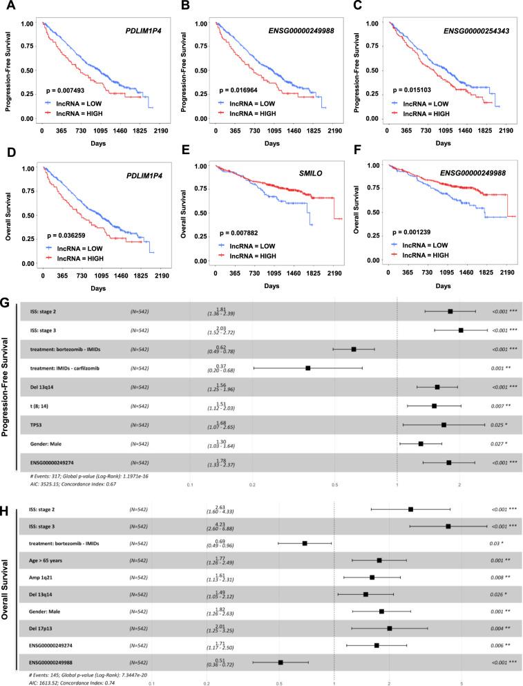
Multiple myeloma (MM) is an incurable disease, whose clinical heterogeneity makes its management challenging, highlighting the need for biological features to guide improved therapies. Deregulation of specific long non-coding RNAs (lncRNAs) has been shown in MM, nevertheless, the complete lncRNA transcriptome has not yet been elucidated. In this work, we identified 40,511 novel lncRNAs in MM samples. lncRNAs accounted for 82% of the MM transcriptome and were more heterogeneously expressed than coding genes. A total of 10,351 overexpressed and 9,535 downregulated lncRNAs were identified in MM patients when compared with normal bone-marrow plasma cells. Transcriptional dynamics study of lncRNAs in the context of normal B-cell maturation revealed 989 lncRNAs with exclusive expression in MM, among which 89 showed de novo epigenomic activation. Knockdown studies on one of these lncRNAs, SMILO (specific myeloma intergenic long non-coding RNA), resulted in reduced proliferation and induction of apoptosis of MM cells, and activation of the interferon pathway. We also showed that the expression of lncRNAs, together with clinical and genetic risk alterations, stratified MM patients into several progression-free survival and overall survival groups. In summary, our global analysis of the lncRNAs transcriptome reveals the presence of specific lncRNAs associated with the biological and clinical behavior of the disease.

摘要

多发性骨髓瘤(MM)是一种无法治愈的疾病,其临床异质性使其治疗具有挑战性,突出了需要生物学特征来指导改善的治疗方法。已经在 MM 中显示出特定长非编码 RNA(lncRNA)的失调,然而,完整的 lncRNA 转录组尚未阐明。在这项工作中,我们在 MM 样本中鉴定出了 40511 个新的 lncRNA。lncRNA 占 MM 转录组的 82%,其表达比编码基因更为异质。与正常骨髓浆细胞相比,MM 患者中共有 10351 个上调和 9535 个下调的 lncRNA。在正常 B 细胞成熟的背景下对 lncRNA 的转录动力学研究表明,在 MM 中有 989 个 lncRNA 具有独特的表达,其中 89 个表现出从头表观遗传激活。对这些 lncRNA 之一 SMILO(特异性骨髓瘤基因间长非编码 RNA)进行敲低研究,导致 MM 细胞增殖减少和凋亡诱导,并激活干扰素途径。我们还表明,lncRNA 的表达与临床和遗传风险改变一起,将 MM 患者分为几个无进展生存期和总生存期组。总之,我们对 lncRNA 转录组的全面分析揭示了存在与疾病的生物学和临床行为相关的特定 lncRNA。

https://cdn.ncbi.nlm.nih.gov/pmc/blobs/14e5/8102198/ea35cbd7f0ab/41375_2021_1147_Fig4_HTML.jpg
https://cdn.ncbi.nlm.nih.gov/pmc/blobs/14e5/8102198/48d99e3ff2f8/41375_2021_1147_Fig1_HTML.jpg
https://cdn.ncbi.nlm.nih.gov/pmc/blobs/14e5/8102198/ca76f1f34bfe/41375_2021_1147_Fig2_HTML.jpg
https://cdn.ncbi.nlm.nih.gov/pmc/blobs/14e5/8102198/dc33dae1bf73/41375_2021_1147_Fig3_HTML.jpg
https://cdn.ncbi.nlm.nih.gov/pmc/blobs/14e5/8102198/ea35cbd7f0ab/41375_2021_1147_Fig4_HTML.jpg
https://cdn.ncbi.nlm.nih.gov/pmc/blobs/14e5/8102198/48d99e3ff2f8/41375_2021_1147_Fig1_HTML.jpg
https://cdn.ncbi.nlm.nih.gov/pmc/blobs/14e5/8102198/ca76f1f34bfe/41375_2021_1147_Fig2_HTML.jpg
https://cdn.ncbi.nlm.nih.gov/pmc/blobs/14e5/8102198/dc33dae1bf73/41375_2021_1147_Fig3_HTML.jpg
https://cdn.ncbi.nlm.nih.gov/pmc/blobs/14e5/8102198/ea35cbd7f0ab/41375_2021_1147_Fig4_HTML.jpg

相似文献

1
Characterization of complete lncRNAs transcriptome reveals the functional and clinical impact of lncRNAs in multiple myeloma.全面 lncRNAs 转录组的特征分析揭示了 lncRNAs 在多发性骨髓瘤中的功能和临床影响。
Leukemia. 2021 May;35(5):1438-1450. doi: 10.1038/s41375-021-01147-y. Epub 2021 Feb 17.
2
Exosomal mRNAs and lncRNAs involved in multiple myeloma resistance to bortezomib.外泌体 mRNA 和长非编码 RNA 参与多发性骨髓瘤对硼替佐米的耐药性。
Cell Biol Int. 2021 May;45(5):965-975. doi: 10.1002/cbin.11540. Epub 2021 Jan 15.
3
Identification of long noncoding RNA as a key gene involved in the extramedullary disease of multiple myeloma by bioinformatics analysis.基于生物信息学分析鉴定长链非编码 RNA 作为多发性骨髓瘤髓外疾病的关键基因
Hematology. 2023 Dec;28(1):2164449. doi: 10.1080/16078454.2022.2164449.
4
A compendium of long non-coding RNAs transcriptional fingerprint in multiple myeloma.长链非编码 RNA 在多发性骨髓瘤中转录特征的纲要。
Sci Rep. 2018 Apr 26;8(1):6557. doi: 10.1038/s41598-018-24701-8.
5
Genome-wide discovery and characterization of long noncoding RNAs in patients with multiple myeloma.多发性骨髓瘤患者长链非编码 RNA 的全基因组发现和特征分析。
BMC Med Genomics. 2019 Oct 16;12(1):135. doi: 10.1186/s12920-019-0577-5.
6
Focusing on long non-coding RNA dysregulation in newly diagnosed multiple myeloma.关注新诊断多发性骨髓瘤中的长链非编码RNA失调。
Life Sci. 2018 Mar 1;196:133-142. doi: 10.1016/j.lfs.2018.01.025. Epub 2018 Feb 3.
7
The role of long non-coding RNAs in multiple myeloma.长链非编码 RNA 在多发性骨髓瘤中的作用。
Eur J Haematol. 2019 Jul;103(1):3-9. doi: 10.1111/ejh.13237. Epub 2019 May 29.
8
Transcriptome analysis identified a novel 3-LncRNA regulatory network of transthyretin attenuating glucose induced hRECs dysfunction in diabetic retinopathy.转录组分析确定了一个新的 3-LncRNA 调控网络,该网络可减轻转甲状腺素蛋白在糖尿病视网膜病变中葡萄糖诱导的 hRECs 功能障碍。
BMC Med Genomics. 2019 Oct 15;12(1):134. doi: 10.1186/s12920-019-0596-2.
9
Six-long non-coding RNA signature predicts recurrence-free survival in hepatocellular carcinoma.长链非编码 RNA 标志物预测肝细胞癌无复发生存率。
World J Gastroenterol. 2019 Jan 14;25(2):220-232. doi: 10.3748/wjg.v25.i2.220.
10
Transcriptome sequencing reveals thousands of novel long non-coding RNAs in B cell lymphoma.转录组测序揭示了B细胞淋巴瘤中数千种新型长链非编码RNA。
Genome Med. 2015 Nov 1;7:110. doi: 10.1186/s13073-015-0230-7.

引用本文的文献

1
The long non-coding RNA CRNDE stabilises SIRT1 protein and influences Hedgehog signalling in multiple myeloma.长链非编码RNA CRNDE可稳定SIRT1蛋白并影响多发性骨髓瘤中的Hedgehog信号通路。
Leukemia. 2025 Aug 26. doi: 10.1038/s41375-025-02736-x.
2
The Co-Delivery of Natural Products and Small RNAs for Cancer Therapy: A Review.用于癌症治疗的天然产物与小RNA的联合递送:综述
Molecules. 2025 Mar 27;30(7):1495. doi: 10.3390/molecules30071495.
3
Mesenchymal stromal cells in bone marrow niche of patients with multiple myeloma: a double-edged sword.

本文引用的文献

1
Chromatin activation as a unifying principle underlying pathogenic mechanisms in multiple myeloma.染色质激活作为多发性骨髓瘤多种致病机制的统一原则。
Genome Res. 2020 Sep;30(9):1217-1227. doi: 10.1101/gr.265520.120. Epub 2020 Aug 20.
2
Long non-coding RNAs discriminate the stages and gene regulatory states of human humoral immune response.长非编码 RNA 可区分人类体液免疫应答的阶段和基因调控状态。
Nat Commun. 2019 Feb 18;10(1):821. doi: 10.1038/s41467-019-08679-z.
3
Identification of novel mutational drivers reveals oncogene dependencies in multiple myeloma.
多发性骨髓瘤患者骨髓微环境中的间充质基质细胞:一把双刃剑。
Cancer Cell Int. 2025 Mar 26;25(1):117. doi: 10.1186/s12935-025-03741-x.
4
Epigenetic Role of Long Non-coding RNAs in Multiple Myeloma.长链非编码RNA在多发性骨髓瘤中的表观遗传作用
Curr Oncol Rep. 2025 Jan;27(1):37-44. doi: 10.1007/s11912-024-01623-5. Epub 2025 Jan 3.
5
An automated network-based tool to search for metabolic vulnerabilities in cancer.一种基于网络的自动化工具,用于寻找癌症中的代谢脆弱性。
Nat Commun. 2024 Oct 11;15(1):8685. doi: 10.1038/s41467-024-52725-4.
6
BET inhibitors downregulate the expression of the essential lncRNA in multiple myeloma through regulation of the transcription factor FLI1.溴结构域和额外末端结构域(BET)抑制剂通过调节转录因子Friend白血病整合1(FLI1)来下调多发性骨髓瘤中关键长链非编码RNA(lncRNA)的表达。
Haematologica. 2025 Feb 1;110(2):514-519. doi: 10.3324/haematol.2024.285966.
7
An unbiased lncRNA dropout CRISPR-Cas9 screen reveals RP11-350G8.5 as a novel therapeutic target for multiple myeloma.无偏 lncRNA 敲除 CRISPR-Cas9 筛选揭示 RP11-350G8.5 是多发性骨髓瘤的新型治疗靶点。
Blood. 2024 Oct 17;144(16):1705-1721. doi: 10.1182/blood.2023021991.
8
DeepIMAGER: Deeply Analyzing Gene Regulatory Networks from scRNA-seq Data.DeepIMAGER:从 scRNA-seq 数据中深度分析基因调控网络。
Biomolecules. 2024 Jun 27;14(7):766. doi: 10.3390/biom14070766.
9
binds to CELF2 in newly diagnosed multiple myeloma promoting short progression-free survival to standard therapy.在新诊断的多发性骨髓瘤中与CELF2结合,导致对标准治疗的无进展生存期缩短。
bioRxiv. 2024 Jun 30:2024.06.27.600975. doi: 10.1101/2024.06.27.600975.
10
Role of Non-Coding RNAs in Diagnosis, Prediction and Prognosis of Multiple Myeloma.非编码RNA在多发性骨髓瘤诊断、预测及预后中的作用
Cancers (Basel). 2024 Mar 2;16(5):1033. doi: 10.3390/cancers16051033.
鉴定新的突变驱动因素揭示了多发性骨髓瘤中的致癌基因依赖性。
Blood. 2018 Aug 9;132(6):587-597. doi: 10.1182/blood-2018-03-840132. Epub 2018 Jun 8.
4
The reference epigenome and regulatory chromatin landscape of chronic lymphocytic leukemia.慢性淋巴细胞白血病的参考表观基因组和调控染色质景观。
Nat Med. 2018 Jun;24(6):868-880. doi: 10.1038/s41591-018-0028-4. Epub 2018 May 21.
5
Long intergenic non-coding RNAs have an independent impact on survival in multiple myeloma.长链非编码 RNA 对多发性骨髓瘤的生存有独立影响。
Leukemia. 2018 Dec;32(12):2626-2635. doi: 10.1038/s41375-018-0116-y. Epub 2018 Mar 29.
6
A compendium of long non-coding RNAs transcriptional fingerprint in multiple myeloma.长链非编码 RNA 在多发性骨髓瘤中转录特征的纲要。
Sci Rep. 2018 Apr 26;8(1):6557. doi: 10.1038/s41598-018-24701-8.
7
Characterization of the lncRNA transcriptome in mESC-derived motor neurons: Implications for FUS-ALS.小鼠胚胎干细胞来源的运动神经元中lncRNA转录组的特征分析:对FUS-肌萎缩侧索硬化症的启示
Stem Cell Res. 2018 Mar;27:172-179. doi: 10.1016/j.scr.2018.01.037. Epub 2018 Jan 31.
8
Expressed fusion gene landscape and its impact in multiple myeloma.表达融合基因全景及其对多发性骨髓瘤的影响。
Nat Commun. 2017 Dec 1;8(1):1893. doi: 10.1038/s41467-017-00638-w.
9
High-throughput annotation of full-length long noncoding RNAs with capture long-read sequencing.利用捕获长读长测序对全长非编码RNA进行高通量注释
Nat Genet. 2017 Dec;49(12):1731-1740. doi: 10.1038/ng.3988. Epub 2017 Nov 6.
10
STAT3-induced long noncoding RNAs in multiple myeloma cells display different properties in cancer.STAT3 诱导的多发性骨髓瘤细胞中的长非编码 RNA 在癌症中表现出不同的特性。
Sci Rep. 2017 Aug 11;7(1):7976. doi: 10.1038/s41598-017-08348-5.