Suppr超能文献

使用七种方法在县、卫生区和州地理级别对 COVID-19 进行早期发病的短期预测:比较预测研究。

Short-Range Forecasting of COVID-19 During Early Onset at County, Health District, and State Geographic Levels Using Seven Methods: Comparative Forecasting Study.

机构信息

Virginia Modeling, Analysis, and Simulation Center, Old Dominion University, Suffolk, VA, United States.

出版信息

J Med Internet Res. 2021 Mar 23;23(3):e24925. doi: 10.2196/24925.

Abstract

BACKGROUND

Forecasting methods rely on trends and averages of prior observations to forecast COVID-19 case counts. COVID-19 forecasts have received much media attention, and numerous platforms have been created to inform the public. However, forecasting effectiveness varies by geographic scope and is affected by changing assumptions in behaviors and preventative measures in response to the pandemic. Due to time requirements for developing a COVID-19 vaccine, evidence is needed to inform short-term forecasting method selection at county, health district, and state levels.

OBJECTIVE

COVID-19 forecasts keep the public informed and contribute to public policy. As such, proper understanding of forecasting purposes and outcomes is needed to advance knowledge of health statistics for policy makers and the public. Using publicly available real-time data provided online, we aimed to evaluate the performance of seven forecasting methods utilized to forecast cumulative COVID-19 case counts. Forecasts were evaluated based on how well they forecast 1, 3, and 7 days forward when utilizing 1-, 3-, 7-, or all prior-day cumulative case counts during early virus onset. This study provides an objective evaluation of the forecasting methods to identify forecasting model assumptions that contribute to lower error in forecasting COVID-19 cumulative case growth. This information benefits professionals, decision makers, and the public relying on the data provided by short-term case count estimates at varied geographic levels.

METHODS

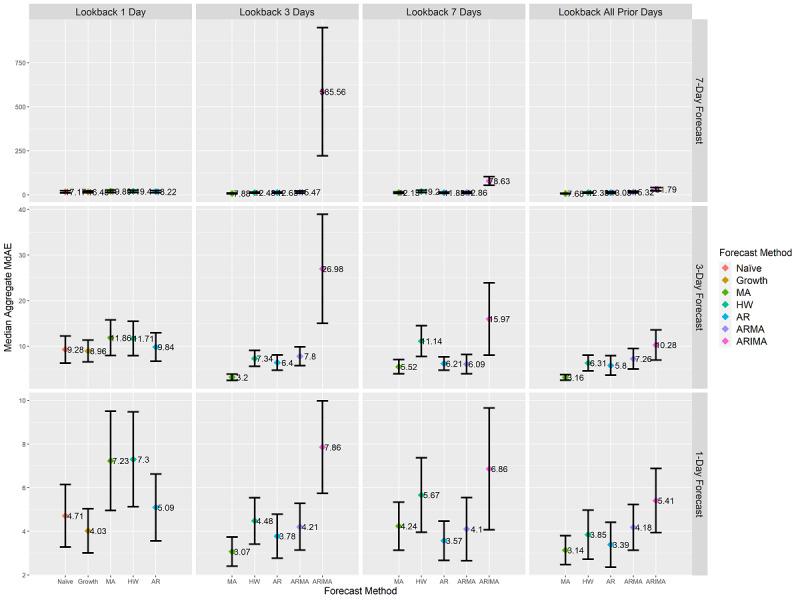
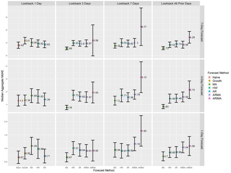
We created 1-, 3-, and 7-day forecasts at the county, health district, and state levels using (1) a naïve approach, (2) Holt-Winters (HW) exponential smoothing, (3) a growth rate approach, (4) a moving average (MA) approach, (5) an autoregressive (AR) approach, (6) an autoregressive moving average (ARMA) approach, and (7) an autoregressive integrated moving average (ARIMA) approach. Forecasts relied on Virginia's 3464 historical county-level cumulative case counts from March 7 to April 22, 2020, as reported by The New York Times. Statistically significant results were identified using 95% CIs of median absolute error (MdAE) and median absolute percentage error (MdAPE) metrics of the resulting 216,698 forecasts.

RESULTS

The next-day MA forecast with 3-day look-back length obtained the lowest MdAE (median 0.67, 95% CI 0.49-0.84, P<.001) and statistically significantly differed from 39 out of 59 alternatives (66%) to 53 out of 59 alternatives (90%) at each geographic level at a significance level of .01. For short-range forecasting, methods assuming stationary means of prior days' counts outperformed methods with assumptions of weak stationarity or nonstationarity means. MdAPE results revealed statistically significant differences across geographic levels.

CONCLUSIONS

For short-range COVID-19 cumulative case count forecasting at the county, health district, and state levels during early onset, the following were found: (1) the MA method was effective for forecasting 1-, 3-, and 7-day cumulative case counts; (2) exponential growth was not the best representation of case growth during early virus onset when the public was aware of the virus; and (3) geographic resolution was a factor in the selection of forecasting methods.

摘要

背景

预测方法依赖于先前观察结果的趋势和平均值来预测 COVID-19 病例数。COVID-19 预测受到了媒体的广泛关注,并且已经创建了许多平台来告知公众。然而,预测效果因地理范围而异,并受到行为和预防措施假设的变化影响,以应对大流行。由于开发 COVID-19 疫苗的时间要求,需要有证据来为县、卫生区和州级别的短期预测方法选择提供信息。

目的

COVID-19 预测使公众了解情况,并为公共政策做出贡献。因此,需要正确理解预测目的和结果,以便为决策者和公众提供有关卫生统计数据的知识。我们使用在线提供的公共实时数据,旨在评估用于预测累积 COVID-19 病例数的七种预测方法的性能。根据在病毒早期使用 1、3、7 或所有前一天的累积病例数进行 1、3 和 7 天的预测时的预测效果,对预测进行了评估。本研究对预测方法进行了客观评估,以确定有助于降低 COVID-19 累积病例增长预测误差的预测模型假设。这些信息使专业人员、决策者和依赖不同地理水平短期病例数估计值的数据的公众受益。

方法

我们使用(1)简单方法、(2)Holt-Winters(HW)指数平滑法、(3)增长率方法、(4)移动平均(MA)方法、(5)自回归(AR)方法、(6)自回归移动平均(ARMA)方法和(7)自回归整合移动平均(ARIMA)方法,在县、卫生区和州级别创建了 1、3 和 7 天的预测。预测依赖于《纽约时报》报告的弗吉尼亚州 3464 个县一级的历史累积病例数,从 2020 年 3 月 7 日至 4 月 22 日。使用中位数绝对误差(MdAE)和中位数绝对百分比误差(MdAPE)的 95%置信区间(CI)的统计学显着结果识别了 216698 次预测中的显着结果。

结果

具有 3 天回溯长度的下一天 MA 预测获得了最低的 MdAE(中位数 0.67,95%CI 0.49-0.84,P<.001),并且在每个地理水平上,与 59 种替代方法中的 39 种(66%)统计学显着不同到 59 种替代方法中的 53 种(90%),显著性水平为.01。对于短期预测,假设先前几天的平均值为固定的方法优于假设平均值为弱平稳或非平稳的方法。MdAPE 结果揭示了不同地理水平的统计学显着差异。

结论

在早期发病时,对县、卫生区和州级别进行短期 COVID-19 累积病例数预测时,发现:(1)MA 方法对 1、3 和 7 天的累积病例数预测有效;(2)当公众了解病毒时,指数增长不是病毒早期发病时病例增长的最佳表示;(3)地理分辨率是预测方法选择的一个因素。

https://cdn.ncbi.nlm.nih.gov/pmc/blobs/81eb/7990039/0b1332e5d433/jmir_v23i3e24925_fig1.jpg

文献AI研究员

20分钟写一篇综述,助力文献阅读效率提升50倍。

立即体验

用中文搜PubMed

大模型驱动的PubMed中文搜索引擎

马上搜索

文档翻译

学术文献翻译模型,支持多种主流文档格式。

立即体验