Suppr超能文献

体质因素对 COVID-19 易感性和严重程度的影响:两样本多变量孟德尔随机化研究。

Impact of body composition on COVID-19 susceptibility and severity: A two-sample multivariable Mendelian randomization study.

机构信息

Chair of Epidemiology at UNIKA-T Augsburg, Ludwig-Maximilians-Universität München, 86156 Augsburg, Germany; Independent Research Group Clinical Epidemiology, Helmholtz Zentrum München, German Research Centre for Environmental Health, 85764, Neuherberg, Germany.

Chair of Epidemiology at UNIKA-T Augsburg, Ludwig-Maximilians-Universität München, 86156 Augsburg, Germany; Independent Research Group Clinical Epidemiology, Helmholtz Zentrum München, German Research Centre for Environmental Health, 85764, Neuherberg, Germany.

出版信息

Metabolism. 2021 May;118:154732. doi: 10.1016/j.metabol.2021.154732. Epub 2021 Feb 23.

Abstract

OBJECTIVES

Recent studies suggested obesity to be a possible risk factor for COVID-19 disease in the wake of the coronavirus (SARS-CoV-2) infection. However, the causality and especially the role of body fat distribution in this context is still unclear. Thus, using a univariable as well as multivariable two-sample Mendelian randomization (MR) approach, we investigated for the first time the causal impact of body composition on the susceptibility and severity of COVID-19.

METHODS

As indicators of overall and abdominal obesity we considered the measures body mass index (BMI), waist circumference (WC), and trunk fat ratio (TFR). Summary statistics of genome-wide association studies (GWASs) for these body composition measures were drawn from the GIANT consortium and UK Biobank, while for susceptibility and severity due to COVID-19 disease data from the COVID-19 Host Genetics Initiative was used. For the COVID-19 cohort neither age nor gender was available. Total and direct causal effect estimates were calculated using Single Nucleotide Polymorphisms (SNPs), sensitivity analyses were done applying several robust MR techniques and mediation effects of type 2 diabetes (T2D) and cardiovascular diseases (CVD) were investigated within multivariable MR analyses.

RESULTS

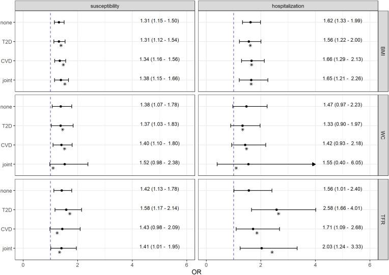
Genetically predicted BMI was strongly associated with both, susceptibility (OR = 1.31 per 1 SD increase; 95% CI: 1.15-1.50; P-value = 7.3·10) and hospitalization (OR = 1.62 per 1 SD increase; 95% CI: 1.33-1.99; P-value = 2.8·10) even after adjustment for genetically predicted visceral obesity traits. These associations were neither mediated substantially by T2D nor by CVD. Finally, total but not direct effects of visceral body fat on outcomes could be detected.

CONCLUSIONS

This study provides strong evidence for a causal impact of overall obesity on the susceptibility and severity of COVID-19 disease. The impact of abdominal obesity was weaker and disappeared after adjustment for BMI. Therefore, obese people should be regarded as a high-risk group. Future research is necessary to investigate the underlying mechanisms linking obesity with COVID-19.

摘要

目的

最近的研究表明,肥胖可能是冠状病毒(SARS-CoV-2)感染后 COVID-19 疾病的一个潜在危险因素。然而,因果关系,特别是体脂分布在这方面的作用仍不清楚。因此,我们使用单变量和多变量两样本孟德尔随机化(MR)方法,首次研究了身体成分对 COVID-19 易感性和严重程度的因果影响。

方法

作为整体和腹部肥胖的指标,我们考虑了体重指数(BMI)、腰围(WC)和躯干脂肪比(TFR)。这些身体成分指标的全基因组关联研究(GWAS)汇总统计数据来自 GIANT 联盟和英国生物库,而 COVID-19 疾病的数据则来自 COVID-19 宿主遗传学倡议。对于 COVID-19 队列,没有年龄和性别信息。使用单核苷酸多态性(SNP)计算总效应和直接因果效应估计值,应用几种稳健的 MR 技术进行敏感性分析,并在多变量 MR 分析中研究 2 型糖尿病(T2D)和心血管疾病(CVD)的中介效应。

结果

遗传预测的 BMI 与易感性(OR=每增加 1 SD 的 1.31;95%CI:1.15-1.50;P 值=7.3·10)和住院(OR=每增加 1 SD 的 1.62;95%CI:1.33-1.99;P 值=2.8·10)均呈强烈相关,即使在调整了遗传预测的内脏肥胖特征后也是如此。这些关联在很大程度上不受 T2D 或 CVD 的影响。最后,只检测到总身体脂肪对结果的影响,而不是直接影响。

结论

本研究为肥胖对 COVID-19 疾病易感性和严重程度的因果影响提供了有力证据。腹部肥胖的影响较弱,在调整 BMI 后消失。因此,肥胖者应被视为高危人群。未来的研究有必要探讨肥胖与 COVID-19 之间的潜在机制。

https://cdn.ncbi.nlm.nih.gov/pmc/blobs/7796/7900753/a6aef21fa6b8/gr1_lrg.jpg

文献检索

告别复杂PubMed语法,用中文像聊天一样搜索,搜遍4000万医学文献。AI智能推荐,让科研检索更轻松。

立即免费搜索

文件翻译

保留排版,准确专业,支持PDF/Word/PPT等文件格式,支持 12+语言互译。

免费翻译文档

深度研究

AI帮你快速写综述,25分钟生成高质量综述,智能提取关键信息,辅助科研写作。

立即免费体验