Suppr超能文献

2020 年 7 月至 12 月,英国在全面复课后针对儿童感染 SARS-CoV-2 情况及全国封锁影响的前瞻性全国观察队列监测。

SARS-CoV-2 infections in children following the full re-opening of schools and the impact of national lockdown: Prospective, national observational cohort surveillance, July-December 2020, England.

机构信息

Immunisation and Countermeasures Division, National Infection Service, Public Health England, London NW9 5EQ, UK.

COVID-19 Epi Cell, Public health England, London, UK.

出版信息

J Infect. 2021 Apr;82(4):67-74. doi: 10.1016/j.jinf.2021.02.022. Epub 2021 Feb 25.

Abstract

INTRODUCTION

The reopening of schools during the COVID-19 pandemic has raised concern for the safety of staff and students, their families and the wider community. We monitored SARS-CoV-2 infection rates in school-aged children and compared them with adult infection rates before and after schools reopened in England.

METHODS

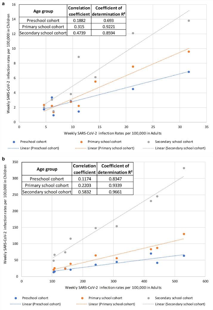
Public Health England receives daily electronic reports of all SARS-CoV-2 tests nationally. SARS-CoV-2 infection rates by school year from July to December 2020 were analysed, including the effect of a national month-long lockdown whilst keeping schools open in November 2020 RESULTS: SARS-CoV-2 infections rates were low during early summer but started increasing in mid-August, initially in young adults followed by secondary and then primary school-aged children prior to schools reopening in September 2020. Cases in school-aged children lagged behind and followed adult trends after schools reopened, with a strong age gradient in weekly infection rates. There was a strong (P<0.001) correlation in regional infection rates between adults and secondary (R=0.96-0.98), primary (R=0.93-0.94) and preschool-aged (R=0.62-0.85) children. The November lockdown was associated with declines in adult infection rates, followed a week later, by declines in student cases. From 23 November 2020, cases in adults and children increased rapidly following the emergence of a more transmissible novel variant of concern (VOC-202,012/01; B.1.1.7).

CONCLUSIONS

In school-aged children, SARS-CoV-2 infections followed the same trajectory as adult cases and only declined after national lockdown was implemented whilst keeping schools open. Maintaining low community infection rates is critical for keeping schools open during the pandemic.

摘要

引言

在 COVID-19 大流行期间,学校重新开放引起了人们对教职员工、学生、他们的家人和更广泛社区安全的关注。我们监测了学龄儿童中的 SARS-CoV-2 感染率,并将其与英格兰学校重新开放前后的成人感染率进行了比较。

方法

英国公共卫生署每天接收全国范围内所有 SARS-CoV-2 检测的电子报告。分析了 2020 年 7 月至 12 月期间按学年划分的 SARS-CoV-2 感染率,包括 2020 年 11 月在全国范围内实行为期一个月的封锁而保持学校开放的影响。

结果

2020 年夏初,SARS-CoV-2 感染率较低,但从 8 月中旬开始上升,最初是在年轻人中,然后是在中学和小学年龄段的儿童中,随后在 2020 年 9 月学校重新开放。学龄儿童的病例滞后,并在学校重新开放后跟随成人趋势,每周感染率呈明显的年龄梯度。在成人和中学(R=0.96-0.98)、小学(R=0.93-0.94)和学龄前(R=0.62-0.85)儿童之间,区域感染率存在很强的相关性(P<0.001)。11 月的封锁与成人感染率下降有关,一周后,学生病例也随之下降。从 2020 年 11 月 23 日起,随着更具传染性的新型关注变异株(VOC-202,012/01;B.1.1.7)的出现,成人和儿童的病例迅速增加。

结论

在学龄儿童中,SARS-CoV-2 感染与成人病例的轨迹相同,仅在实施全国封锁以保持学校开放后才下降。在大流行期间,保持社区低感染率对于保持学校开放至关重要。

https://cdn.ncbi.nlm.nih.gov/pmc/blobs/5342/7904496/e5273d04e7f0/gr1_lrg.jpg

文献AI研究员

20分钟写一篇综述,助力文献阅读效率提升50倍。

立即体验

用中文搜PubMed

大模型驱动的PubMed中文搜索引擎

马上搜索

文档翻译

学术文献翻译模型,支持多种主流文档格式。

立即体验