Suppr超能文献

新冠病毒阳性患者鼻咽微生物组特征:我们能明确其作用吗?

Nasopharyngeal Microbiome Signature in COVID-19 Positive Patients: Can We Definitively Get a Role to ?

机构信息

Department of Molecular Medicine and Medical Biotechnologies, University of Naples Federico II, Napoli, Italy.

CEINGE Biotecnologie Avanzate S.C.a R.L., Napoli, Italy.

出版信息

Front Cell Infect Microbiol. 2021 Feb 15;11:625581. doi: 10.3389/fcimb.2021.625581. eCollection 2021.

Abstract

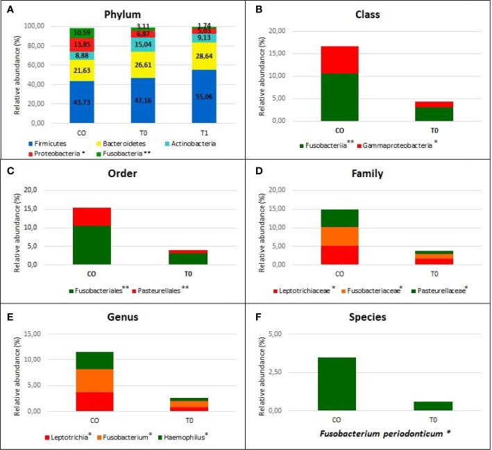
Severe acute respiratory syndrome coronavirus 2 (SARS-CoV-2) caused the pandemic Coronavirus Disease 2019 (COVID-19). This virus is highly transmissible among individuals through both droplets and aerosol leading to determine severe pneumonia. Among the various factors that can influence both the onset of disease and the severity of its complications, the microbiome composition has also been investigated. Recent evidence showed the possible relationship between gut, lung, nasopharyngeal, or oral microbiome and COVID-19, but very little is known about it. Therefore, we aimed to verify the relationships between nasopharyngeal microbiome and the development of either COVID-19 or the severity of symptoms. To this purpose, we analyzed, by next generation sequencing, the hypervariable V1-V2-V3 regions of the bacterial 16S rRNA in nasopharyngeal swabs from SARS-CoV-2 infected patients (n=18) and control (CO) individuals (n=12) using Microbiota solution A (Arrow Diagnostics). We found a significant lower abundance of Proteobacteria and Fusobacteria in COVID-19 patients in respect to CO (p=0.003 and p<0.0001, respectively) from the phylum up to the genus (p<0.001). The () resulted as the most significantly reduced species in COVID-19 patients respect to CO. is reported as being able to perform the surface sialylation. Noteworthy, some sialic acids residues on the cell surface could work as additional S protein of SARS-CoV-2 receptors. Consequently, SARS-CoV-2 could use sialic acids as receptors to bind to the epithelium of the respiratory tract, promoting its clustering and the disease development. We can therefore speculate that the significant reduction of in COVID-19 patients could be directly or indirectly linked to the modulation of sialic acid metabolism. Finally, viral or environmental factors capable of interfering with sialic metabolism could determine a fall in the individual protection from SARS-CoV-2. Further studies are necessary to clarify the precise role of in COVID-19.

摘要

严重急性呼吸综合征冠状病毒 2 (SARS-CoV-2) 引发了大流行的 2019 年冠状病毒病 (COVID-19)。该病毒在人与人之间通过飞沫和气溶胶高度传播,导致严重肺炎。在影响疾病发作和并发症严重程度的各种因素中,微生物组组成也已被研究。最近的证据表明,肠道、肺部、鼻咽部或口腔微生物组与 COVID-19 之间可能存在关联,但对此知之甚少。因此,我们旨在验证鼻咽微生物组与 COVID-19 的发展或症状严重程度之间的关系。为此,我们通过下一代测序分析了鼻咽拭子中细菌 16S rRNA 的高变区 V1-V2-V3 区域 SARS-CoV-2 感染患者(n=18)和对照(CO)个体(n=12),使用 Microbiota solution A(Arrow Diagnostics)。我们发现 COVID-19 患者的变形菌门和梭杆菌门的丰度明显低于 CO(分别为 p=0.003 和 p<0.0001),从门到属(p<0.001)。在 COVID-19 患者中,()被认为是最显著减少的物种。据报道,能够进行表面唾液酸化。值得注意的是,细胞表面上的一些唾液酸残基可以作为 SARS-CoV-2 受体的额外 S 蛋白。因此,SARS-CoV-2 可以使用唾液酸作为受体结合到呼吸道上皮,促进其聚集和疾病发展。因此,我们可以推测 COVID-19 患者中()的显著减少可能直接或间接与唾液酸代谢的调节有关。最后,能够干扰唾液酸代谢的病毒或环境因素可能会导致个体对 SARS-CoV-2 的保护下降。需要进一步研究来阐明()在 COVID-19 中的确切作用。

https://cdn.ncbi.nlm.nih.gov/pmc/blobs/b527/7919745/59455d74ddda/fcimb-11-625581-g001.jpg

文献检索

告别复杂PubMed语法,用中文像聊天一样搜索,搜遍4000万医学文献。AI智能推荐,让科研检索更轻松。

立即免费搜索

文件翻译

保留排版,准确专业,支持PDF/Word/PPT等文件格式,支持 12+语言互译。

免费翻译文档

深度研究

AI帮你快速写综述,25分钟生成高质量综述,智能提取关键信息,辅助科研写作。

立即免费体验