Suppr超能文献

利用分子对接从丝瓜中分离得到的化合物对 SARS-CoV-2 主要蛋白酶的抑制作用。

SARS-CoV-2 main protease inhibition by compounds isolated from Luffa cylindrica using molecular docking.

机构信息

College of Pharmacy, Drug Research and Development Center, Daegu Catholic University, Gyeongbuk 38430, Republic of Korea; Institute of Pharmaceutical Research and Development, College of Pharmacy, Wonkwang University, Iksan 54538, Republic of Korea.

College of Pharmacy, Research Institute of Pharmaceutical Sciences, Kyungpook National University, Daegu 41566, Republic of Korea.

出版信息

Bioorg Med Chem Lett. 2021 May 15;40:127972. doi: 10.1016/j.bmcl.2021.127972. Epub 2021 Mar 19.

Abstract

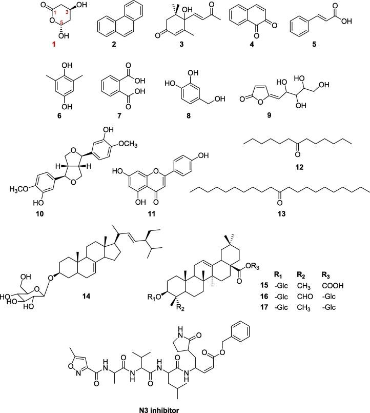
In this study, chemical investigation of methanol extract of the air-dried fruits of Luffa cylindrica led to the identification of a new δ-valerolactone (1), along with sixteen known compounds (2-17). Their chemical structures including the absolute configuration were elucidated by extensive spectroscopic analysis and electronic circular dichroism analysis, as well as by comparison with those reported in the literature. For the first time in literature, we have examined the binding potential of the isolated compounds to highly conserved protein, M of SARS-CoV-2 using the molecular docking technique. We found that the isolated saponins (14-17) bind to the substrate-binding pocket of SARS-CoV-2 M with docking energy scores of -7.13, -7.29, -7.47, and -7.54 kcal.mol, respectively, along with binding abilities equivalent to an already claimed N3 protease inhibitor (-7.51 kcal.mol).

摘要

在这项研究中,对干燥空气的丝瓜果实甲醇提取物进行了化学研究,鉴定出一种新的δ-缬草内酯(1),以及十六种已知化合物(2-17)。通过广泛的光谱分析和电子圆二色性分析,以及与文献报道的化合物进行比较,确定了它们的化学结构和绝对构型。首次使用分子对接技术,我们研究了分离得到的化合物与高度保守的 SARS-CoV-2 蛋白 M 的结合潜力。我们发现,分离得到的皂苷(14-17)与 SARS-CoV-2 M 的底物结合口袋结合,对接能分别为-7.13、-7.29、-7.47 和-7.54 kcal/mol,结合能力与已申报的 N3 蛋白酶抑制剂(-7.51 kcal/mol)相当。

https://cdn.ncbi.nlm.nih.gov/pmc/blobs/fe2a/7977011/d8287772d62a/ga1_lrg.jpg

文献检索

告别复杂PubMed语法,用中文像聊天一样搜索,搜遍4000万医学文献。AI智能推荐,让科研检索更轻松。

立即免费搜索

文件翻译

保留排版,准确专业,支持PDF/Word/PPT等文件格式,支持 12+语言互译。

免费翻译文档

深度研究

AI帮你快速写综述,25分钟生成高质量综述,智能提取关键信息,辅助科研写作。

立即免费体验