• 文献检索
  • 文档翻译
  • 深度研究
  • 学术资讯
  • Suppr Zotero 插件Zotero 插件
  • 邀请有礼
  • 套餐&价格
  • 历史记录
应用&插件
Suppr Zotero 插件Zotero 插件浏览器插件Mac 客户端Windows 客户端微信小程序
定价
高级版会员购买积分包购买API积分包
服务
文献检索文档翻译深度研究API 文档MCP 服务
关于我们
关于 Suppr公司介绍联系我们用户协议隐私条款
关注我们

Suppr 超能文献

核心技术专利:CN118964589B侵权必究
粤ICP备2023148730 号-1Suppr @ 2026

文献检索

告别复杂PubMed语法,用中文像聊天一样搜索,搜遍4000万医学文献。AI智能推荐,让科研检索更轻松。

立即免费搜索

文件翻译

保留排版,准确专业,支持PDF/Word/PPT等文件格式,支持 12+语言互译。

免费翻译文档

深度研究

AI帮你快速写综述,25分钟生成高质量综述,智能提取关键信息,辅助科研写作。

立即免费体验

动感单车团体课程中的音乐水平偏好与感知运动强度

Music level preference and perceived exercise intensity in group spin classes.

作者信息

Lee Lawrance, Shuster Benjamin, Song Yang, Kujawa Sharon G, Depireux Didier, Hertzano Ronna

机构信息

Department of Otolaryngology, Head and Neck Surgery, University of Maryland School of Medicine, Baltimore, Maryland, USA.

Institute for Genome Sciences, University of Maryland School of Medicine, Baltimore, Maryland, USA.

出版信息

Noise Health. 2021 Jan-Mar;23(108):42-49. doi: 10.4103/nah.NAH_65_20.

DOI:10.4103/nah.NAH_65_20
PMID:33753680
原文链接:https://pmc.ncbi.nlm.nih.gov/articles/PMC8140529/
Abstract

CONTEXT

Sound levels in fitness classes often exceed safe levels despite studies that show many participants find high sound levels stressful.

AIMS

The objective is to determine if lower sound levels in spinning classes significantly impact exercise intensity and to determine if class participants prefer the music played at lower levels.

SETTINGS AND DESIGN

Observational study of 1-hour group spin classes.

METHODS AND MATERIALS

Sound levels were measured in 18 spin classes over two weeks. No adjustments were made in week-1 and sound levels were decreased by 3 dB in week-2. Participant preferences and data on post-class hearing changes were collected via post-class questionnaires (n = 213) and divided into three terciles based on the total sound exposure of corresponding classes.

STATISTICAL ANALYSIS USED

Unweighted survey generalized linear models are used to sort the causal relationships between different variables simultaneously and participant responses. The Chi-square test is used to reveal statistically significant relationships between two or more categorical variables.

RESULTS

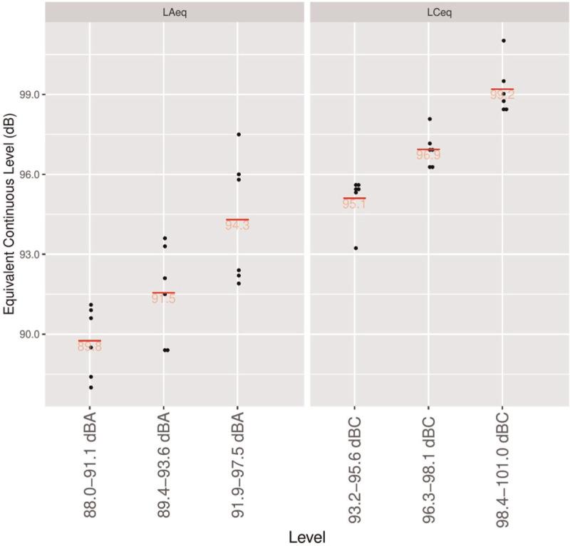
When mean sound levels exceeded 98.4 dBC, respondents were 23 times more likely to report the music as too loud than too quiet (P < 0.05), and four times more likely to prefer a decrease, rather than an increase, in sound level (P < 0.05). There was no significant difference in respondents reporting high exercise intensity between the middle (95.7-98.1 dBC) and upper (98.4-101.0 dBC) terciles, 67.1% and 71.8%, respectively (P = 0.53). Overall, 25.9% of respondents reported auditory symptoms following classes. Analysis in the context of dBA and dBC produced congruent conclusions and interpretations.

CONCLUSIONS

Sound levels in many fitness classes remain dangerously high. However, music level can be lowered without a significant impact on perceived exercise intensity and many participants prefer lower sound levels than current levels.

摘要

背景

尽管研究表明许多参与者认为高声级会带来压力,但健身课程中的声级往往超过安全水平。

目的

目的是确定动感单车课程中较低的声级是否会显著影响运动强度,以及课程参与者是否更喜欢较低声级播放的音乐。

设置与设计

对1小时的团体动感单车课程进行观察性研究。

方法与材料

在两周内对18节动感单车课程进行了声级测量。第1周未进行调整,第2周声级降低了3分贝。通过课后问卷(n = 213)收集参与者的偏好以及课后听力变化数据,并根据相应课程的总声暴露将其分为三个三分位数。

使用的统计分析方法

未加权调查广义线性模型用于同时梳理不同变量与参与者反应之间的因果关系。卡方检验用于揭示两个或多个分类变量之间的统计学显著关系。

结果

当平均声级超过98.4分贝C时,受访者报告音乐声音太大的可能性是太小的23倍(P < 0.05),并且更喜欢降低声级而非提高声级的可能性是4倍(P < 0.05)。在中间三分位数(95.7 - 98.1分贝C)和上部三分位数(98.4 - 101.0分贝C)中,报告高运动强度的受访者之间没有显著差异,分别为67.1%和71.8%(P = 0.53)。总体而言,25.9%的受访者在课程结束后报告有听觉症状。在分贝A和分贝C的背景下进行的分析得出了一致的结论和解释。

结论

许多健身课程中的声级仍然高得危险。然而,可以降低音乐声级,而不会对感知到的运动强度产生显著影响,并且许多参与者更喜欢低于当前水平的声级。

https://cdn.ncbi.nlm.nih.gov/pmc/blobs/f30a/8140529/a82a0526775d/NH-23-42-g005.jpg
https://cdn.ncbi.nlm.nih.gov/pmc/blobs/f30a/8140529/f8625269e336/NH-23-42-g001.jpg
https://cdn.ncbi.nlm.nih.gov/pmc/blobs/f30a/8140529/b4ecce244490/NH-23-42-g002.jpg
https://cdn.ncbi.nlm.nih.gov/pmc/blobs/f30a/8140529/491566621555/NH-23-42-g003.jpg
https://cdn.ncbi.nlm.nih.gov/pmc/blobs/f30a/8140529/fe1113f14112/NH-23-42-g004.jpg
https://cdn.ncbi.nlm.nih.gov/pmc/blobs/f30a/8140529/a82a0526775d/NH-23-42-g005.jpg
https://cdn.ncbi.nlm.nih.gov/pmc/blobs/f30a/8140529/f8625269e336/NH-23-42-g001.jpg
https://cdn.ncbi.nlm.nih.gov/pmc/blobs/f30a/8140529/b4ecce244490/NH-23-42-g002.jpg
https://cdn.ncbi.nlm.nih.gov/pmc/blobs/f30a/8140529/491566621555/NH-23-42-g003.jpg
https://cdn.ncbi.nlm.nih.gov/pmc/blobs/f30a/8140529/fe1113f14112/NH-23-42-g004.jpg
https://cdn.ncbi.nlm.nih.gov/pmc/blobs/f30a/8140529/a82a0526775d/NH-23-42-g005.jpg

相似文献

1
Music level preference and perceived exercise intensity in group spin classes.动感单车团体课程中的音乐水平偏好与感知运动强度
Noise Health. 2021 Jan-Mar;23(108):42-49. doi: 10.4103/nah.NAH_65_20.
2
The role of music intensity in aerobics: implications for hearing conservation.音乐强度在有氧运动中的作用:对听力保护的启示。
J Am Acad Audiol. 2003;14(1):29-38. doi: 10.3766/jaaa.14.1.5.
3
Risk Assessment of Recreational Noise-Induced Hearing Loss from Exposure through a Personal Audio System-iPod Touch.通过个人音频系统-iPod Touch暴露导致的娱乐性噪声性听力损失的风险评估。
J Am Acad Audiol. 2019 Jul/Aug;30(7):619-633. doi: 10.3766/jaaa.17140. Epub 2018 Nov 1.
4
Hearing and loud music exposure in 14-15 years old adolescents.14至15岁青少年的听力与接触大声音乐的情况
Noise Health. 2014 Sep-Oct;16(72):320-30. doi: 10.4103/1463-1741.140512.
5
Sound Exposure of Healthcare Professionals Working with a University Marching Band.与大学行进乐队合作的医护人员的声音暴露情况。
J Am Acad Audiol. 2018 Jan;29(1):83-89. doi: 10.3766/jaaa.17018.
6
Headphone listening habits, hearing thresholds and listening levels in Swedish adolescents with severe to profound HL and adolescents with normal hearing.瑞典重度至极重度听力损失青少年和听力正常青少年的耳机聆听习惯、听力阈值及聆听水平
Int J Audiol. 2018 Oct;57(10):730-736. doi: 10.1080/14992027.2018.1461938. Epub 2018 Apr 27.
7
[An assessment of exposure to noise and temporary changes in hearing related to working as a fitness instructor].[对健身教练工作中噪声暴露及听力相关暂时变化的评估]
Med Pr. 2021 Aug 31;72(4):391-397. doi: 10.13075/mp.5893.01102. Epub 2021 Jun 25.
8
Noise levels in fitness classes are still too high: evidence from 1997-1998 and 2009-2011.健身课程中的噪音水平仍然过高:1997 - 1998年及2009 - 2011年的证据。
Arch Environ Occup Health. 2014;69(4):223-30. doi: 10.1080/19338244.2013.771248.
9
Noise-induced hearing loss induces loudness intolerance in a rat Active Sound Avoidance Paradigm (ASAP).噪声性听力损失在大鼠主动声音回避范式(ASAP)中诱发响度不耐受。
Hear Res. 2017 Sep;353:197-203. doi: 10.1016/j.heares.2017.07.001. Epub 2017 Jul 8.
10
Impact of usage of personal music systems on oto-acoustic emissions among medical students.个人音乐系统的使用对医学生耳声发射的影响。
Noise Health. 2017 Sep-Oct;19(90):222-226. doi: 10.4103/nah.NAH_75_16.

引用本文的文献

1
Clinical and audiological profile of patients with sudden sensorineural hearing loss after exposure to recreational noise.接触娱乐性噪声后突发感音神经性听力损失患者的临床和听力学特征
Braz J Otorhinolaryngol. 2025 Apr 10;91(4):101617. doi: 10.1016/j.bjorl.2025.101617.

本文引用的文献

1
Age-Related Hearing Loss Is Dominated by Damage to Inner Ear Sensory Cells, Not the Cellular Battery That Powers Them.年龄相关性听力损失主要由内耳感觉细胞的损伤引起,而不是为其提供能量的细胞电池。
J Neurosci. 2020 Aug 12;40(33):6357-6366. doi: 10.1523/JNEUROSCI.0937-20.2020. Epub 2020 Jul 20.
2
Noise: Acoustic Trauma to the Inner Ear.噪声:内耳的声学创伤。
Otolaryngol Clin North Am. 2020 Aug;53(4):531-542. doi: 10.1016/j.otc.2020.03.008. Epub 2020 Apr 30.
3
Noise levels at baseball stadiums and the spectators' attitude to noise.
棒球场的噪音水平以及观众对噪音的态度。
Noise Health. 2019 Mar-Apr;21(99):47-54. doi: 10.4103/nah.NAH_39_18.
4
Noise exposure limit for children in recreational settings: Review of available evidence.娱乐场所中儿童的噪声暴露限值:现有证据综述。
J Acoust Soc Am. 2019 Nov;146(5):3922. doi: 10.1121/1.5132540.
5
Mechanisms of Noise-Induced Tinnitus: Insights from Cellular Studies.噪声性耳鸣的发生机制:细胞研究的新见解。
Neuron. 2019 Jul 3;103(1):8-20. doi: 10.1016/j.neuron.2019.05.008.
6
Patterns and trends in OSHA occupational noise exposure measurements from 1979 to 2013.1979 年至 2013 年 OSHA 职业噪声暴露测量的模式和趋势。
Occup Environ Med. 2019 Feb;76(2):118-124. doi: 10.1136/oemed-2018-105041. Epub 2018 Nov 27.
7
Cycling exercise classes may be bad for your (hearing) health.骑自行车健身课程可能对你的(听力)健康有害。
Laryngoscope. 2017 Aug;127(8):1873-1877. doi: 10.1002/lary.26331. Epub 2016 Oct 12.
8
Noise-Induced Hearing Loss: Permanent Versus Temporary Threshold Shifts and the Effects of Hair Cell Versus Neuronal Degeneration.噪声性听力损失:永久性与暂时性阈移以及毛细胞与神经元变性的影响
Adv Exp Med Biol. 2016;875:1-7. doi: 10.1007/978-1-4939-2981-8_1.
9
Noise-induced hearing loss: an occupational medicine perspective.噪声性听力损失:职业医学视角
Curr Opin Otolaryngol Head Neck Surg. 2014 Oct;22(5):388-93. doi: 10.1097/MOO.0000000000000079.
10
Noise levels in fitness classes are still too high: evidence from 1997-1998 and 2009-2011.健身课程中的噪音水平仍然过高:1997 - 1998年及2009 - 2011年的证据。
Arch Environ Occup Health. 2014;69(4):223-30. doi: 10.1080/19338244.2013.771248.