• 文献检索
  • 文档翻译
  • 深度研究
  • 学术资讯
  • Suppr Zotero 插件Zotero 插件
  • 邀请有礼
  • 套餐&价格
  • 历史记录
应用&插件
Suppr Zotero 插件Zotero 插件浏览器插件Mac 客户端Windows 客户端微信小程序
定价
高级版会员购买积分包购买API积分包
服务
文献检索文档翻译深度研究API 文档MCP 服务
关于我们
关于 Suppr公司介绍联系我们用户协议隐私条款
关注我们

Suppr 超能文献

核心技术专利:CN118964589B侵权必究
粤ICP备2023148730 号-1Suppr @ 2026

文献检索

告别复杂PubMed语法,用中文像聊天一样搜索,搜遍4000万医学文献。AI智能推荐,让科研检索更轻松。

立即免费搜索

文件翻译

保留排版,准确专业,支持PDF/Word/PPT等文件格式,支持 12+语言互译。

免费翻译文档

深度研究

AI帮你快速写综述,25分钟生成高质量综述,智能提取关键信息,辅助科研写作。

立即免费体验

评估和权衡老年乳腺癌患者乳腺癌特异性死亡和其他特定原因死亡的风险

Evaluating and Balancing the Risk of Breast Cancer-Specific Death and Other Cause-Specific Death in Elderly Breast Cancer Patients.

作者信息

Peng Yuan, Hu Taobo, Cheng Lin, Tong Fuzhong, Cao Yingming, Liu Peng, Zhou Bo, Liu Miao, Liu Hongjun, Guo Jiajia, Xie Fei, Yang Houpu, Wang Siyuan, Wang Chaobin, Wang Shu

机构信息

Breast Center, Peking University People's Hospital, Beijing, China.

出版信息

Front Oncol. 2021 Mar 12;11:578880. doi: 10.3389/fonc.2021.578880. eCollection 2021.

DOI:10.3389/fonc.2021.578880
PMID:33777734
原文链接:https://pmc.ncbi.nlm.nih.gov/articles/PMC7994517/
Abstract

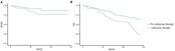
The dilemma of undertreatment and overtreatment of elderly breast cancer patients is common. This study aimed to investigate clinicopathological features, treatment modalities, and survival in women diagnosed with breast cancer at age 70 years or over, and to assist clinicians in developing individualized treatment plans by balancing the risks of breast cancer-specific death (BCSD) and other cause-specific death (OCSD). This retrospective study included 420 women who were diagnosed with pathologically confirmed invasive breast cancer at age 70 years or older from January 2008 to December 2015 at Peking University People's Hospital (PKUPH). We collected baseline health status, tumor characteristics, treatment choices, and outcomes and created nomograms for clinicians to estimate individualized BCSD and OCSD risk directly. During a median follow-up of 71.5 months (range 2 to 144 months) in patients with stage I-III tumors, breast cancer specific survival (BCSS) was 92.4% (376/407) and overall survival (OS) was 78.1% (318/407). There were 89 deaths, and 65.2% (58/89) were non-breast cancer related. Upon multivariate analysis by Cox regression model, tumor size, positive lymph nodes, Ki-67, and surgery were independent predictors of BCSS, and comorbidities, positive lymph nodes, Ki-67, surgery, and endocrine therapy were independent predictors of OS. Propensity score weighted (PSW) was applied to analyze therapeutic efficacy, and there was BCSS and OS benefit with surgery (both < 0.001), BCSS benefit with chemotherapy ( = 0.029), BCSS and OS benefit with endocrine therapy ( = 0.006 and 0.004), and neither BCSS nor OS benefit with radiotherapy (RT) ( = 0.348 and 0.289). Competing-risk nomograms were developed to estimate cumulative mortality probabilities for BCSD and OCSD for individual patients according to clinicopathologic characteristics and treatments. The calibration curves displayed exceptionally, with C-indexes 0.714 for BCSD and 0.717 for OCSD. Older patients had greater risk of dying from non-breast cancer causes. Surgery, chemotherapy, and endocrine therapy were associated with improved survival. Competing risk nomograms allowed individual assessment of BCSD and OCSD, based on clinicopathological characteristics and treatment options, and can be used as a tool to help in choosing appropriate treatment strategies. This study was approved by the Peking University People's Hospital Research Ethics Board on September 4, 2018.

摘要

老年乳腺癌患者治疗不足和过度治疗的困境很常见。本研究旨在调查70岁及以上确诊为乳腺癌的女性的临床病理特征、治疗方式和生存情况,并通过平衡乳腺癌特异性死亡(BCSD)和其他特定原因死亡(OCSD)的风险,协助临床医生制定个体化治疗方案。这项回顾性研究纳入了420名2008年1月至2015年12月在北京大学人民医院(PKUPH)确诊为病理证实的浸润性乳腺癌且年龄在70岁及以上的女性。我们收集了基线健康状况、肿瘤特征、治疗选择和结局,并创建了列线图,供临床医生直接估计个体化的BCSD和OCSD风险。在I - III期肿瘤患者的中位随访71.5个月(范围2至144个月)期间,乳腺癌特异性生存(BCSS)为92.4%(376/407),总生存(OS)为78.1%(318/407)。共有89例死亡,其中65.2%(58/89)与非乳腺癌相关。通过Cox回归模型进行多因素分析,肿瘤大小、阳性淋巴结、Ki-67和手术是BCSS的独立预测因素,合并症、阳性淋巴结、Ki-67、手术和内分泌治疗是OS的独立预测因素。应用倾向评分加权(PSW)分析治疗效果,手术对BCSS和OS均有益(均<0.001),化疗对BCSS有益(=0.029),内分泌治疗对BCSS和OS均有益(=0.006和0.004),放疗(RT)对BCSS和OS均无益处(=0.348和0.289)。开发了竞争风险列线图,根据临床病理特征和治疗方法估计个体患者BCSD和OCSD的累积死亡概率。校准曲线显示良好,BCSD的C指数为0.714,OCSD的C指数为0.717。老年患者死于非乳腺癌原因的风险更高。手术、化疗和内分泌治疗与生存改善相关。竞争风险列线图可根据临床病理特征和治疗选择对BCSD和OCSD进行个体评估,并可作为帮助选择合适治疗策略的工具。本研究于2018年9月4日获得北京大学人民医院研究伦理委员会批准。

https://cdn.ncbi.nlm.nih.gov/pmc/blobs/a54f/7994517/16767eafb3a4/fonc-11-578880-g0006.jpg
https://cdn.ncbi.nlm.nih.gov/pmc/blobs/a54f/7994517/edbc67263e72/fonc-11-578880-g0001.jpg
https://cdn.ncbi.nlm.nih.gov/pmc/blobs/a54f/7994517/5c034b01596d/fonc-11-578880-g0002.jpg
https://cdn.ncbi.nlm.nih.gov/pmc/blobs/a54f/7994517/99cbff3da5ac/fonc-11-578880-g0003.jpg
https://cdn.ncbi.nlm.nih.gov/pmc/blobs/a54f/7994517/29c0df179481/fonc-11-578880-g0004.jpg
https://cdn.ncbi.nlm.nih.gov/pmc/blobs/a54f/7994517/b5484bbdf1a3/fonc-11-578880-g0005.jpg
https://cdn.ncbi.nlm.nih.gov/pmc/blobs/a54f/7994517/16767eafb3a4/fonc-11-578880-g0006.jpg
https://cdn.ncbi.nlm.nih.gov/pmc/blobs/a54f/7994517/edbc67263e72/fonc-11-578880-g0001.jpg
https://cdn.ncbi.nlm.nih.gov/pmc/blobs/a54f/7994517/5c034b01596d/fonc-11-578880-g0002.jpg
https://cdn.ncbi.nlm.nih.gov/pmc/blobs/a54f/7994517/99cbff3da5ac/fonc-11-578880-g0003.jpg
https://cdn.ncbi.nlm.nih.gov/pmc/blobs/a54f/7994517/29c0df179481/fonc-11-578880-g0004.jpg
https://cdn.ncbi.nlm.nih.gov/pmc/blobs/a54f/7994517/b5484bbdf1a3/fonc-11-578880-g0005.jpg
https://cdn.ncbi.nlm.nih.gov/pmc/blobs/a54f/7994517/16767eafb3a4/fonc-11-578880-g0006.jpg

相似文献

1
Evaluating and Balancing the Risk of Breast Cancer-Specific Death and Other Cause-Specific Death in Elderly Breast Cancer Patients.评估和权衡老年乳腺癌患者乳腺癌特异性死亡和其他特定原因死亡的风险
Front Oncol. 2021 Mar 12;11:578880. doi: 10.3389/fonc.2021.578880. eCollection 2021.
2
Nomograms for Estimating Cause-Specific Death Rates of Patients With Inflammatory Breast Cancer: A Competing-Risks Analysis.炎性乳腺癌患者特定原因死亡率的列线图估计:竞争风险分析。
Technol Cancer Res Treat. 2021 Jan-Dec;20:15330338211016371. doi: 10.1177/15330338211016371.
3
Nomogram Predicting Cause-Specific Mortality in Nonmetastatic Male Breast Cancer: A Competing Risk Analysis.预测非转移性男性乳腺癌特定病因死亡率的列线图:一项竞争风险分析
J Cancer. 2019 Jan 1;10(3):583-593. doi: 10.7150/jca.28991. eCollection 2019.
4
Prognostic effect of radiotherapy in breast cancer patients underwent immediate reconstruction after mastectomy.乳房切除术后即刻重建的乳腺癌患者放疗的预后效果。
Front Oncol. 2022 Nov 2;12:1010088. doi: 10.3389/fonc.2022.1010088. eCollection 2022.
5
Nomogram Predicts the Role of Primary Tumor Surgery on Stage-IV Breast Cancer Patients: A SEER-Based Competing Risk Analysis Model.列线图预测原发性肿瘤手术在IV期乳腺癌患者中的作用:基于监测、流行病学和最终结果(SEER)的竞争风险分析模型
Front Oncol. 2022 May 4;12:819531. doi: 10.3389/fonc.2022.819531. eCollection 2022.
6
Predicting Survival Benefit of Sparing Sentinel Lymph Node Biopsy in Low-Risk Elderly Patients With Early Breast Cancer: A Population-Based Analysis.预测早期乳腺癌低风险老年患者保留前哨淋巴结活检的生存获益:一项基于人群的分析。
Front Oncol. 2020 Sep 11;10:1718. doi: 10.3389/fonc.2020.01718. eCollection 2020.
7
Prognostic analysis of cT1-3N1M0 breast cancer patients who have responded to neoadjuvant therapy undergoing various axillary surgery and breast surgery based on propensity score matching and competitive risk model.基于倾向评分匹配和竞争风险模型,对接受新辅助治疗后有反应的cT1-3N1M0乳腺癌患者进行不同腋窝手术和乳房手术的预后分析。
Front Oncol. 2024 Jan 24;14:1319981. doi: 10.3389/fonc.2024.1319981. eCollection 2024.
8
Competing Nomogram for Late-Period Breast Cancer-Specific Death in Patients with Early-Stage Hormone Receptor-Positive Breast Cancer.早期激素受体阳性乳腺癌患者晚期乳腺癌特异性死亡的竞争风险列线图
Clin Breast Cancer. 2022 Apr;22(3):e296-e309. doi: 10.1016/j.clbc.2021.08.008. Epub 2021 Aug 31.
9
Research on the Role of Marriage Status Among Women Underwent Breast Reconstruction Following Mastectomy: A Competing Risk Analysis Model Based on the SEER Database, 1998-2015.乳房切除术后接受乳房重建的女性婚姻状况的作用研究:基于1998 - 2015年监测、流行病学和最终结果(SEER)数据库的竞争风险分析模型
Front Surg. 2022 Jan 21;8:803223. doi: 10.3389/fsurg.2021.803223. eCollection 2021.
10
Development and validation of nomograms for predicting overall and breast cancer-specific survival among patients with triple-negative breast cancer.三阴性乳腺癌患者总生存和乳腺癌特异性生存预测列线图的开发与验证
Cancer Manag Res. 2018 Nov 19;10:5881-5894. doi: 10.2147/CMAR.S178859. eCollection 2018.

引用本文的文献

1
Frequency of use and characterization of frailty assessments in observational studies on older women with breast cancer: a systematic review.观察性研究中老年女性乳腺癌患者衰弱评估的使用频率和特征:系统评价。
BMC Geriatr. 2024 Jun 27;24(1):563. doi: 10.1186/s12877-024-05152-5.
2
Use of artificial intelligence in breast surgery: a narrative review.人工智能在乳腺手术中的应用:一项叙述性综述。
Gland Surg. 2024 Mar 27;13(3):395-411. doi: 10.21037/gs-23-414. Epub 2024 Mar 22.
3
Deep learning-guided adjuvant chemotherapy selection for elderly patients with breast cancer.

本文引用的文献

1
Guideline-concordant chemotherapy in patients with hormone receptor-positive and node-positive, early breast cancer leads to better overall and metastases-free survival with limited benefit in elderly patients.激素受体阳性和淋巴结阳性的早期乳腺癌患者接受符合指南的化疗可改善总生存和无转移生存,而老年患者的获益有限。
Arch Gynecol Obstet. 2020 Feb;301(2):573-583. doi: 10.1007/s00404-019-05387-3. Epub 2019 Nov 20.
2
Simulation of Chemotherapy Effects in Older Breast Cancer Patients With High Recurrence Scores.高复发评分老年乳腺癌患者化疗效果的模拟。
J Natl Cancer Inst. 2020 Jun 1;112(6):574-581. doi: 10.1093/jnci/djz189.
3
深度学习指导下的老年乳腺癌患者辅助化疗选择。
Breast Cancer Res Treat. 2024 May;205(1):97-107. doi: 10.1007/s10549-023-07237-y. Epub 2024 Jan 31.
4
Prognostic Tools for Older Women with Breast Cancer: A Systematic Review.老年女性乳腺癌预后工具:系统评价。
Medicina (Kaunas). 2023 Aug 30;59(9):1576. doi: 10.3390/medicina59091576.
5
Establishment and validation of a nomogram for predicting immune-related prognostic features in trunk melanoma-specific death.用于预测躯干黑色素瘤特异性死亡中免疫相关预后特征的列线图的建立与验证
Ann Transl Med. 2022 Dec;10(24):1371. doi: 10.21037/atm-22-6045.
6
Prediction model of all-cause death based on balance ability among middle-aged and older Chinese adults of overweight and obesity.基于平衡能力的中老年超重和肥胖人群全因死亡预测模型。
Front Public Health. 2022 Dec 22;10:1039718. doi: 10.3389/fpubh.2022.1039718. eCollection 2022.
7
Effect of adjuvant chemotherapy on the survival outcomes of elderly breast cancer: A retrospective cohort study based on SEER database.辅助化疗对老年乳腺癌患者生存结局的影响:基于 SEER 数据库的回顾性队列研究。
J Evid Based Med. 2022 Dec;15(4):354-364. doi: 10.1111/jebm.12506. Epub 2022 Dec 15.
Impact of Older Age and Comorbidity on Locoregional and Distant Breast Cancer Recurrence: A Large Population-Based Study.
老年和合并症对局部和远处乳腺癌复发的影响:一项大型基于人群的研究。
Oncologist. 2020 Jan;25(1):e24-e30. doi: 10.1634/theoncologist.2019-0412. Epub 2019 Sep 12.
4
Competing Risk of Death in Elderly Patients with Newly Diagnosed Stage I Breast Cancer.老年初诊Ⅰ期乳腺癌患者的死亡竞争风险。
J Am Coll Surg. 2019 Jul;229(1):30-36.e1. doi: 10.1016/j.jamcollsurg.2019.03.013. Epub 2019 Mar 29.
5
Breast Cancer in the Elderly.老年人乳腺癌。
Surg Clin North Am. 2018 Aug;98(4):819-833. doi: 10.1016/j.suc.2018.04.002. Epub 2018 May 21.
6
Impact of age on breast cancer mortality and competing causes of death at 10 years follow-up in the adjuvant TEAM trial.辅助 TEAM 试验中年龄对乳腺癌死亡率和 10 年随访时其他死因竞争的影响。
Eur J Cancer. 2018 Aug;99:1-8. doi: 10.1016/j.ejca.2018.04.009. Epub 2018 Jun 6.
7
Surgery for early breast cancer in the extremely elderly leads to improved outcomes - An Asian population study.超高龄早期乳腺癌患者行手术治疗可改善预后——一项亚洲人群研究。
Breast. 2017 Dec;36:44-48. doi: 10.1016/j.breast.2017.09.002. Epub 2017 Sep 22.
8
Adjuvant systemic therapy in older women with breast cancer.老年女性乳腺癌的辅助全身治疗。
Breast Cancer (Dove Med Press). 2016 Jul 25;8:141-7. doi: 10.2147/BCTT.S110765. eCollection 2016.
9
Breast-conserving surgery with or without irradiation in women aged 65 years or older with early breast cancer (PRIME II): a randomised controlled trial.65 岁或以上早期乳腺癌女性中保乳手术联合或不联合放疗(PRIME II):一项随机对照试验。
Lancet Oncol. 2015 Mar;16(3):266-73. doi: 10.1016/S1470-2045(14)71221-5. Epub 2015 Jan 28.
10
Risk of hospitalization according to chemotherapy regimen in early-stage breast cancer.早期乳腺癌患者的化疗方案与住院风险。
J Clin Oncol. 2014 Jul 1;32(19):2010-7. doi: 10.1200/JCO.2013.49.3676. Epub 2014 May 27.