• 文献检索
  • 文档翻译
  • 深度研究
  • 学术资讯
  • Suppr Zotero 插件Zotero 插件
  • 邀请有礼
  • 套餐&价格
  • 历史记录
应用&插件
Suppr Zotero 插件Zotero 插件浏览器插件Mac 客户端Windows 客户端微信小程序
定价
高级版会员购买积分包购买API积分包
服务
文献检索文档翻译深度研究API 文档MCP 服务
关于我们
关于 Suppr公司介绍联系我们用户协议隐私条款
关注我们

Suppr 超能文献

核心技术专利:CN118964589B侵权必究
粤ICP备2023148730 号-1Suppr @ 2026

文献检索

告别复杂PubMed语法,用中文像聊天一样搜索,搜遍4000万医学文献。AI智能推荐,让科研检索更轻松。

立即免费搜索

文件翻译

保留排版,准确专业,支持PDF/Word/PPT等文件格式,支持 12+语言互译。

免费翻译文档

深度研究

AI帮你快速写综述,25分钟生成高质量综述,智能提取关键信息,辅助科研写作。

立即免费体验

腰痛患者的身体能力:一项对患者亚组进行探索性比较的横断面研究。

Physical Abilities in Low Back Pain Patients: A Cross-Sectional Study with Exploratory Comparison of Patient Subgroups.

作者信息

Šarabon Nejc, Vreček Nace, Hofer Christian, Löfler Stefan, Kozinc Žiga, Kern Helmut

机构信息

Faculty of Health Sciences, University of Primorska, 6310 Izola, Slovenia.

Laboratory for Motor Control and Motor Behaviour, S2P, Science to Practice Ltd., 1000 Ljubljana, Slovenia.

出版信息

Life (Basel). 2021 Mar 10;11(3):226. doi: 10.3390/life11030226.

DOI:10.3390/life11030226
PMID:33802214
原文链接:https://pmc.ncbi.nlm.nih.gov/articles/PMC8000067/
Abstract

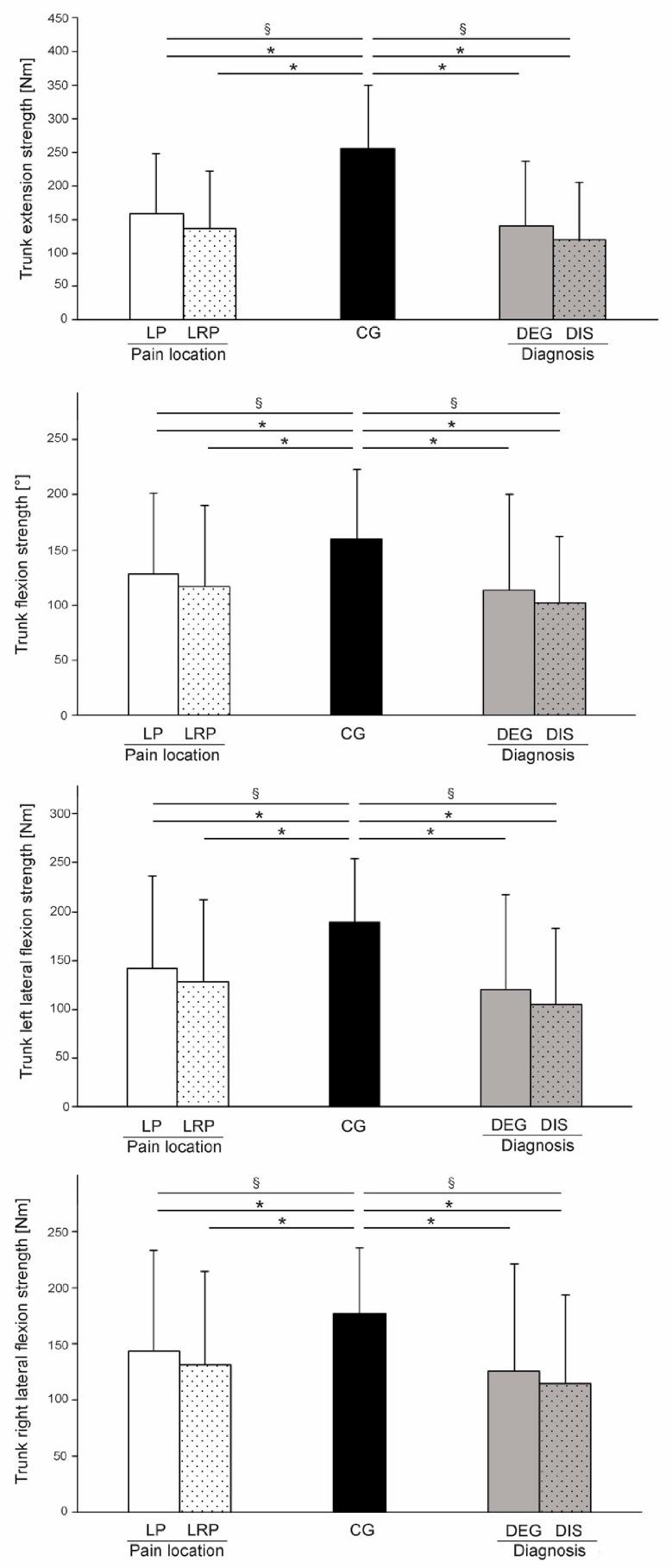
An abundance of literature has investigated the association between low back pain (LBP) and physical ability or function. It has been shown that LBP patients display reduced range of motion, decreased balance ability, impaired proprioception, and lower strength compared to asymptomatic persons. The aim of this study was to investigate the differences between LBP patients and healthy controls in terms of several physical abilities. Based on the premised that different biomechanical and physiological causes and consequences could be related to different types of LBP, a secondary exploratory attempt of the study was to examine the differences between LBP subgroups based on the pain location (local or referred) or type of pathology (discogenic or degenerative) on the level of impairment of function and ability. Participants performed range of motion tests, trunk maximal voluntary contraction force tests, a sitting balance assessment, the timed up-and-go test, the chair rise test, and the trunk reposition error test. Compared to the control group, symptomatic patients on average showed 45.7% lower trunk extension ( < 0.001, η = 0.33) and 27.7 % lower trunk flexion force ( < 0.001, η = 0.37) during maximal voluntary contraction. LBP patients exhibited decreased sitting balance ability and lower scores in mobility tests (all < 0.001). There were no differences between groups in Schober's test and trunk repositioning error ( > 0.05). No differences were observed among the LBP subgroups. The exploratory analyses are limited by the sample size and uncertain validity of the diagnostic procedures within this study. Further studies with appropriate diagnostic procedures and perhaps a different subgrouping of the LBP patients are needed to elucidate if different types of LBP are related to altered biomechanics, physiology, and function.

摘要

大量文献研究了腰痛(LBP)与身体能力或功能之间的关联。研究表明,与无症状者相比,腰痛患者的活动范围减小、平衡能力下降、本体感觉受损且力量较弱。本研究的目的是调查腰痛患者与健康对照者在几种身体能力方面的差异。基于不同的生物力学和生理原因及后果可能与不同类型的腰痛相关这一前提,本研究的二次探索性尝试是根据疼痛部位(局部或牵涉痛)或病理类型(椎间盘源性或退行性),在功能和能力受损水平上检查腰痛亚组之间的差异。参与者进行了活动范围测试、躯干最大自主收缩力测试、坐位平衡评估、计时起立行走测试、椅子起立测试和躯干重新定位误差测试。与对照组相比,有症状的患者在最大自主收缩时,平均躯干伸展降低45.7%(<0.001,η=0.33),躯干屈曲力降低27.7%(<0.001,η=0.37)。腰痛患者的坐位平衡能力下降,在移动性测试中的得分较低(均<0.001)。在Schober试验和躯干重新定位误差方面,各组之间没有差异(>0.05)。在腰痛亚组之间未观察到差异。本研究中的探索性分析受到样本量和诊断程序有效性不确定的限制。需要进一步开展具有适当诊断程序的研究,或许对腰痛患者进行不同的亚组划分,以阐明不同类型的腰痛是否与生物力学、生理学和功能改变有关。

https://cdn.ncbi.nlm.nih.gov/pmc/blobs/e862/8000067/7dbeb7cd3f4f/life-11-00226-g003.jpg
https://cdn.ncbi.nlm.nih.gov/pmc/blobs/e862/8000067/47d91c230645/life-11-00226-g001.jpg
https://cdn.ncbi.nlm.nih.gov/pmc/blobs/e862/8000067/b4bc5fcd42b0/life-11-00226-g002.jpg
https://cdn.ncbi.nlm.nih.gov/pmc/blobs/e862/8000067/7dbeb7cd3f4f/life-11-00226-g003.jpg
https://cdn.ncbi.nlm.nih.gov/pmc/blobs/e862/8000067/47d91c230645/life-11-00226-g001.jpg
https://cdn.ncbi.nlm.nih.gov/pmc/blobs/e862/8000067/b4bc5fcd42b0/life-11-00226-g002.jpg
https://cdn.ncbi.nlm.nih.gov/pmc/blobs/e862/8000067/7dbeb7cd3f4f/life-11-00226-g003.jpg

相似文献

1
Physical Abilities in Low Back Pain Patients: A Cross-Sectional Study with Exploratory Comparison of Patient Subgroups.腰痛患者的身体能力:一项对患者亚组进行探索性比较的横断面研究。
Life (Basel). 2021 Mar 10;11(3):226. doi: 10.3390/life11030226.
2
Comparison of the lumbar flexion angle and repositioning error during lumbar flexion-extension in young computer workers in Korea with differing back pain.韩国不同背痛程度的年轻电脑工作者在腰椎屈伸过程中腰椎前屈角度与重新定位误差的比较。
Work. 2015 Jun 5;51(2):223-8. doi: 10.3233/WOR-141856.
3
The association of low back pain, neuromuscular imbalance, and trunk extension strength in athletes.运动员中腰痛、神经肌肉失衡与躯干伸展力量的关联。
Spine J. 2006 Nov-Dec;6(6):673-83. doi: 10.1016/j.spinee.2006.03.012.
4
Effects of pelvic asymmetry and low back pain on trunk kinematics during sitting: a comparison with standing.骨盆不对称和腰痛对坐姿时躯干运动学的影响:与站姿的比较。
Spine (Phila Pa 1976). 2006 Mar 1;31(5):E135-43. doi: 10.1097/01.brs.0000201325.89493.5f.
5
Altered patterns of superficial trunk muscle activation during sitting in nonspecific chronic low back pain patients: importance of subclassification.非特异性慢性下腰痛患者坐姿时躯干浅层肌肉激活模式的改变:亚分类的重要性
Spine (Phila Pa 1976). 2006 Aug 1;31(17):2017-23. doi: 10.1097/01.brs.0000228728.11076.82.
6
Does movement matter in people with back pain? Investigating 'atypical' lumbo-pelvic kinematics in people with and without back pain using wireless movement sensors.腰痛患者的运动是否重要?使用无线运动传感器研究腰痛患者和无腰痛患者的“非典型”腰骨盆运动学。
BMC Musculoskelet Disord. 2019 Jan 18;20(1):28. doi: 10.1186/s12891-018-2387-x.
7
The effect of two lumbar belt designs on trunk repositioning sense in people with and without low back pain.两种腰带设计对有和没有腰痛的人群躯干重新定位感觉的影响。
Ann Phys Rehabil Med. 2017 Sep;60(5):306-311. doi: 10.1016/j.rehab.2017.03.002. Epub 2017 Apr 29.
8
Dynamic stability of the trunk during unstable sitting in people with low back pain.下背痛患者在不稳定坐姿时躯干的动态稳定性
Spine (Phila Pa 1976). 2014 May 1;39(10):785-90. doi: 10.1097/BRS.0000000000000296.
9
The role of trunk muscles in sitting balance control in people with low back pain.躯干肌肉在腰痛患者坐位平衡控制中的作用。
J Electromyogr Kinesiol. 2014 Dec;24(6):947-53. doi: 10.1016/j.jelekin.2014.09.009. Epub 2014 Sep 23.
10
A comparison of physical characteristics and swing mechanics between golfers with and without a history of low back pain.比较有和无下背痛病史的高尔夫球手的身体特征和挥杆力学。
J Orthop Sports Phys Ther. 2010 Jul;40(7):430-8. doi: 10.2519/jospt.2010.3152.

引用本文的文献

1
The cross-cultural adaptation, validity, and reliability of the Spanish version of the Fremantle Back Awareness Questionnaire.《弗里曼特尔背部觉知问卷》西班牙语版的跨文化适应性、效度和信度
Front Psychol. 2023 Mar 2;14:1070411. doi: 10.3389/fpsyg.2023.1070411. eCollection 2023.
2
Biomechanical Phenotyping of Chronic Low Back Pain: Protocol for BACPAC.慢性下背痛的生物力学表型:BACPAC 方案。
Pain Med. 2023 Aug 4;24(Suppl 1):S48-S60. doi: 10.1093/pm/pnac163.

本文引用的文献

1
Reliability of isometric and isokinetic trunk flexor strength using a functional electromechanical dynamometer.使用功能性电动测力计测量等长和等速躯干屈肌力量的可靠性。
PeerJ. 2019 Oct 18;7:e7883. doi: 10.7717/peerj.7883. eCollection 2019.
2
Role of fasciae in nonspecific low back pain.筋膜在非特异性下腰痛中的作用。
Eur J Transl Myol. 2019 Aug 6;29(3):8330. doi: 10.4081/ejtm.2019.8330. eCollection 2019 Aug 2.
3
Classification of foot drop gait characteristic due to lumbar radiculopathy using machine learning algorithms.
基于机器学习算法的腰椎神经根病所致足下垂步态特征分类。
Gait Posture. 2019 Jun;71:234-240. doi: 10.1016/j.gaitpost.2019.05.010. Epub 2019 May 4.
4
Mobility disorders and pain, interrelations that need new research concepts and advanced clinical commitments.运动障碍与疼痛,这种相互关系需要新的研究理念和先进的临床实践。
Eur J Transl Myol. 2017 Dec 5;27(4):7179. doi: 10.4081/ejtm.2017.7179.
5
ANALYSIS OF FUNCTIONAL CAPACITY IN INDIVIDUALS WITH AND WITHOUT CHRONIC LOWER BACK PAIN.有和没有慢性下背痛的个体的功能能力分析。
Acta Ortop Bras. 2017 Jul-Aug;25(4):143-146. doi: 10.1590/1413-785220172504156564.
6
Back Pain with Leg Pain.背痛伴腿痛。
Curr Pain Headache Rep. 2017 Jul;21(7):32. doi: 10.1007/s11916-017-0632-x.
7
People with chronic low back pain have poorer balance than controls in challenging tasks.患有慢性下背痛的人在具有挑战性的任务中比对照组的平衡能力更差。
Disabil Rehabil. 2018 Jun;40(11):1294-1300. doi: 10.1080/09638288.2017.1294627. Epub 2017 Mar 10.
8
How consistent are lordosis, range of movement and lumbo-pelvic rhythm in people with and without back pain?有背痛和无背痛人群的脊柱前凸、活动范围及腰骨盆节律的一致性如何?
BMC Musculoskelet Disord. 2016 Sep 22;17(1):403. doi: 10.1186/s12891-016-1250-1.
9
Static and dynamic balance deficiencies in chronic low back pain.慢性下腰痛患者的静态和动态平衡缺陷
J Back Musculoskelet Rehabil. 2016 Nov 21;29(4):887-893. doi: 10.3233/BMR-160721.
10
Mobility Test Protocols for the Elderly: A Methodological Note.老年人移动性测试协议:一份方法学说明。
Eur J Transl Myol. 2015 Sep 23;25(4):253-6. doi: 10.4081/ejtm.2015.5385. eCollection 2015 Aug 24.