Suppr超能文献

感染新型冠状病毒(SARS-CoV-2)患者的肝功能异常检测:一项来自西班牙的回顾性单中心研究

Abnormal Liver Function Test in Patients Infected with Coronavirus (SARS-CoV-2): A Retrospective Single-Center Study from Spain.

作者信息

Benedé-Ubieto Raquel, Estévez-Vázquez Olga, Flores-Perojo Vicente, Macías-Rodríguez Ricardo U, Ruiz-Margáin Astrid, Martínez-Naves Eduardo, Regueiro José R, Ávila Matías A, Trautwein Christian, Bañares Rafael, Bosch Jaume, Cubero Francisco Javier, Nevzorova Yulia A

机构信息

Department of Immunology, Ophthalmology & ENT, Complutense University School of Medicine, 28040 Madrid, Spain.

Department of Genetics, Physiology and Microbiology, Faculty of Biology, Complutense University, 28040 Madrid, Spain.

出版信息

J Clin Med. 2021 Mar 3;10(5):1039. doi: 10.3390/jcm10051039.

Abstract

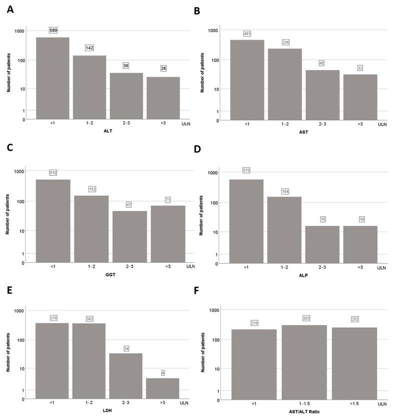
The outbreak of the novel coronavirus SARS-CoV-2 epidemic has rapidly spread and still poses a serious threat to healthcare systems worldwide. In the present study, electronic medical records containing clinical indicators related to liver injury in 799 COVID-19-confirmed patients admitted to a hospital in Madrid (Spain) were extracted and analyzed. Correlation between liver injury and disease outcome was also evaluated. Serum levels of Alanine aminotransferase (ALT), Aspartate aminotransferase (AST), Gamma-glutamyltransferase (GGT), Alkaline phosphatase (ALP), Lactate dehydrogenase (LDH) and AST/ALT ratio were elevated above the Upper Limit of Normal (ULN) in 25.73%, 49.17%, 34.62%, 24.21%, 55.84% and 75% of patients, respectively. Interestingly, significant positive correlation between LDH levels and the AST/ALT ratio with disease outcome was found. Our data showed that SARS-CoV-2 virus infection leads to mild, but significant changes in serum markers of liver injury. The upregulated LDH levels as well as AST/ALT ratios upon admission may be used as additional diagnostic characteristic for COVID-19 patients.

摘要

新型冠状病毒SARS-CoV-2疫情的爆发迅速蔓延,仍然对全球医疗系统构成严重威胁。在本研究中,提取并分析了西班牙马德里一家医院收治的799例确诊COVID-19患者中包含与肝损伤相关临床指标的电子病历。还评估了肝损伤与疾病转归之间的相关性。谷丙转氨酶(ALT)、谷草转氨酶(AST)、γ-谷氨酰转移酶(GGT)、碱性磷酸酶(ALP)、乳酸脱氢酶(LDH)的血清水平以及AST/ALT比值分别在25.73%、49.17%、34.62%、24.21%、55.84%和75%的患者中高于正常上限(ULN)。有趣的是,发现LDH水平和AST/ALT比值与疾病转归之间存在显著正相关。我们的数据表明,SARS-CoV-2病毒感染会导致肝损伤血清标志物出现轻微但显著的变化。入院时LDH水平以及AST/ALT比值的上调可作为COVID-19患者的额外诊断特征。

https://cdn.ncbi.nlm.nih.gov/pmc/blobs/571f/7959465/06e85fbd6d10/jcm-10-01039-g001.jpg

文献检索

告别复杂PubMed语法,用中文像聊天一样搜索,搜遍4000万医学文献。AI智能推荐,让科研检索更轻松。

立即免费搜索

文件翻译

保留排版,准确专业,支持PDF/Word/PPT等文件格式,支持 12+语言互译。

免费翻译文档

深度研究

AI帮你快速写综述,25分钟生成高质量综述,智能提取关键信息,辅助科研写作。

立即免费体验