Suppr超能文献

利用CBDP和SCoT标记对六倍体小麦(普通小麦)及两种山羊草属物种(粗厚山羊草和圆柱山羊草)进行分子多样性分析。

Molecular diversity analysis in hexaploid wheat (Triticum aestivum L.) and two Aegilops species (Aegilops crassa and Aegilops cylindrica) using CBDP and SCoT markers.

作者信息

Ghobadi Ghazal, Etminan Alireza, Mehrabi Ali Mehras, Shooshtari Lia

机构信息

Department of plant breeding and Biotechnology, Kermanshah Branch, Islamic Azad University, Kermanshah, Iran.

出版信息

J Genet Eng Biotechnol. 2021 Apr 14;19(1):56. doi: 10.1186/s43141-021-00157-8.

Abstract

BACKGROUND

Evaluation of genetic diversity and relationships among crop wild relatives is an important task in crop improvement. The main objective of the current study was to estimate molecular variability within the set of 91 samples from Triticum aestivum, Aegilops cylindrica, and Aegilops crassa species using 30 CAAT box-derived polymorphism (CBDP) and start codon targeted (SCoT) markers.

RESULTS

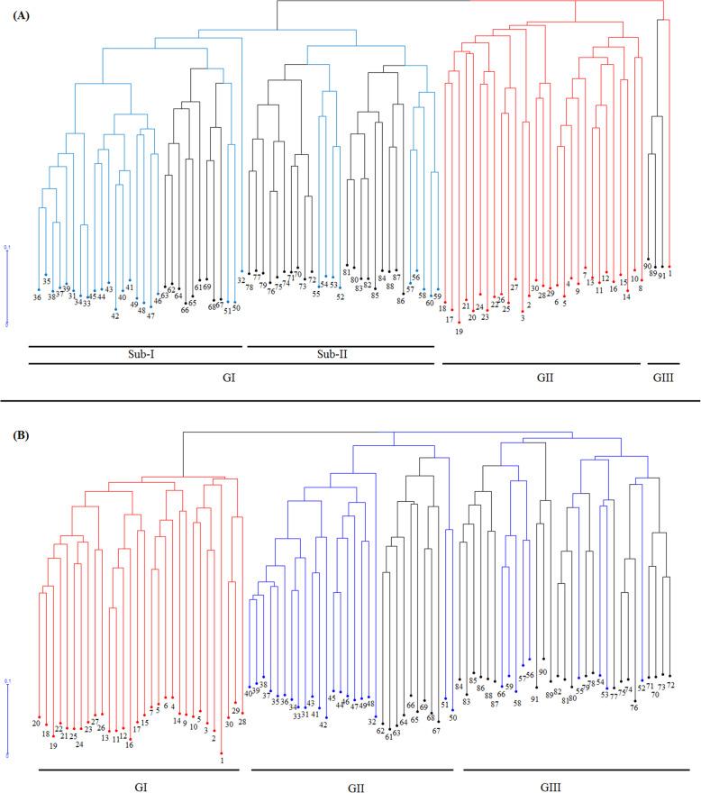
Fifteen SCoT and Fifteen CBDP primers produced 262 and 298 fragments which all of them were polymorphic, respectively. The number of polymorphic bands (NPB), polymorphic information content (PIC), resolving power (Rp), and marker index (MI) for SCoT primers ranged from 14 to 23, 0.31 to 0.39, 2.55 to 7.49, and 7.56 to 14.46 with an average of 17.47, 0.34, 10.44, and 5.69, respectively, whereas these values for CBDP primers were 15 to 26, 0.28 to 0.36, 3.82 to 6.94, and 4.74 to 7.96 with a mean of 19.87, 0.31, 5.35, and 6.24, respectively. Based on both marker systems, analysis of molecular variance (AMOVA) indicated that the portion of genetic diversity within species was more than among them. In both analyses, the highest values of the number of observed (Na) and effective alleles (Ne), Nei's gene diversity (He), and Shannon's information index (I) were estimated for Ae. cylindrica species.

CONCLUSION

The results of cluster analysis and population structure showed that SCoT and CBDP markers grouped all samples based on their genomic constitutions. In conclusion, the used markers are very effective techniques for the evaluation of the genetic diversity in wild relatives of wheat.

摘要

背景

评估作物野生近缘种之间的遗传多样性和关系是作物改良中的一项重要任务。本研究的主要目的是使用30个CAAT框衍生多态性(CBDP)和起始密码子靶向(SCoT)标记,估计来自普通小麦、圆柱山羊草和粗山羊草物种的91个样本中的分子变异性。

结果

15个SCoT引物和15个CBDP引物分别产生了262个和298个片段,所有片段均具有多态性。SCoT引物的多态性条带数(NPB)、多态性信息含量(PIC)、分辨力(Rp)和标记指数(MI)范围分别为14至23、0.31至0.39、2.55至7.49和7.56至14.46,平均值分别为17.47、0.34、10.44和5.69,而CBDP引物的这些值分别为15至26、0.28至0.36、3.82至6.94和4.74至7.96,平均值分别为19.87、0.31、5.35和6.24。基于这两种标记系统,分子方差分析(AMOVA)表明,物种内的遗传多样性部分高于物种间。在这两种分析中,圆柱山羊草物种的观察等位基因数(Na)、有效等位基因数(Ne)、Nei基因多样性(He)和香农信息指数(I)的估计值最高。

结论

聚类分析和群体结构结果表明,SCoT和CBDP标记根据样本的基因组组成对所有样本进行了分组。总之,所使用的标记是评估小麦野生近缘种遗传多样性的非常有效的技术。

https://cdn.ncbi.nlm.nih.gov/pmc/blobs/81c0/8046865/776b847f4b70/43141_2021_157_Fig1_HTML.jpg

相似文献

4
Assessment of genetic diversity among Iranian Aegilops triuncialis accessions using ISSR, SCoT, and CBDP markers.
J Genet Eng Biotechnol. 2021 Jan 11;19(1):5. doi: 10.1186/s43141-020-00107-w.
8
Exploring genetic diversity and Population structure of five Aegilops species with inter-primer binding site (iPBS) markers.
Mol Biol Rep. 2022 Sep;49(9):8567-8574. doi: 10.1007/s11033-022-07689-3. Epub 2022 Jul 17.
9
Genetic diversity and structure of as revealed by start codon targeted and directed amplified minisatellite DNA markers.
Hereditas. 2019 Oct 16;156:32. doi: 10.1186/s41065-019-0108-6. eCollection 2019.
10
Investigation of genetic diversity of Iranian wild relatives of bread wheat using ISSR and SSR markers.
J Genet Eng Biotechnol. 2023 Jun 29;21(1):73. doi: 10.1186/s43141-023-00526-5.

引用本文的文献

5
Investigation of genetic diversity of Iranian wild relatives of bread wheat using ISSR and SSR markers.
J Genet Eng Biotechnol. 2023 Jun 29;21(1):73. doi: 10.1186/s43141-023-00526-5.

本文引用的文献

1
Assessment of genetic diversity among Iranian Aegilops triuncialis accessions using ISSR, SCoT, and CBDP markers.
J Genet Eng Biotechnol. 2021 Jan 11;19(1):5. doi: 10.1186/s43141-020-00107-w.
2
Comparative assessment of ISSR, RAPD, and SCoT markers for genetic diversity in Clerodendrum species of North East India.
Mol Biol Rep. 2020 Oct;47(10):7365-7377. doi: 10.1007/s11033-020-05792-x. Epub 2020 Sep 3.
4
Identification of New Sources of Resistance to Wheat Stem Rust in spp. in the Tertiary Genepool of Wheat.
Front Plant Sci. 2018 Nov 22;9:1719. doi: 10.3389/fpls.2018.01719. eCollection 2018.
7
GenAlEx 6.5: genetic analysis in Excel. Population genetic software for teaching and research--an update.
Bioinformatics. 2012 Oct 1;28(19):2537-9. doi: 10.1093/bioinformatics/bts460. Epub 2012 Jul 20.
8
Genetic diversity of Greek Aegilops species using different types of nuclear genome markers.
Mol Phylogenet Evol. 2010 Sep;56(3):951-61. doi: 10.1016/j.ympev.2010.04.041. Epub 2010 May 5.
9
Phylogenetic relationships among diploid Aegilops species inferred from 5S rDNA units.
Mol Phylogenet Evol. 2009 Oct;53(1):34-44. doi: 10.1016/j.ympev.2009.06.005. Epub 2009 Jun 13.
10
Inference of population structure using multilocus genotype data.
Genetics. 2000 Jun;155(2):945-59. doi: 10.1093/genetics/155.2.945.

文献AI研究员

20分钟写一篇综述,助力文献阅读效率提升50倍。

立即体验

用中文搜PubMed

大模型驱动的PubMed中文搜索引擎

马上搜索

文档翻译

学术文献翻译模型,支持多种主流文档格式。

立即体验