• 文献检索
  • 文档翻译
  • 深度研究
  • 学术资讯
  • Suppr Zotero 插件Zotero 插件
  • 邀请有礼
  • 套餐&价格
  • 历史记录
应用&插件
Suppr Zotero 插件Zotero 插件浏览器插件Mac 客户端Windows 客户端微信小程序
定价
高级版会员购买积分包购买API积分包
服务
文献检索文档翻译深度研究API 文档MCP 服务
关于我们
关于 Suppr公司介绍联系我们用户协议隐私条款
关注我们

Suppr 超能文献

核心技术专利:CN118964589B侵权必究
粤ICP备2023148730 号-1Suppr @ 2026

文献检索

告别复杂PubMed语法,用中文像聊天一样搜索,搜遍4000万医学文献。AI智能推荐,让科研检索更轻松。

立即免费搜索

文件翻译

保留排版,准确专业,支持PDF/Word/PPT等文件格式,支持 12+语言互译。

免费翻译文档

深度研究

AI帮你快速写综述,25分钟生成高质量综述,智能提取关键信息,辅助科研写作。

立即免费体验

兴衰人口动态增加了进化竞争群落中的多样性。

Boom-bust population dynamics increase diversity in evolving competitive communities.

机构信息

Department of Zoology and Department of Mathematics, University of British Columbia, 6270 University Boulevard, Vancouver, BC, Canada.

Physics Department, University of Santiago of Chile (USACH), Santiago, Chile.

出版信息

Commun Biol. 2021 Apr 23;4(1):502. doi: 10.1038/s42003-021-02021-4.

DOI:10.1038/s42003-021-02021-4
PMID:33893395
原文链接:https://pmc.ncbi.nlm.nih.gov/articles/PMC8065032/
Abstract

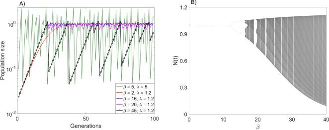
The processes and mechanisms underlying the origin and maintenance of biological diversity have long been of central importance in ecology and evolution. The competitive exclusion principle states that the number of coexisting species is limited by the number of resources, or by the species' similarity in resource use. Natural systems such as the extreme diversity of unicellular life in the oceans provide counter examples. It is known that mathematical models incorporating population fluctuations can lead to violations of the exclusion principle. Here we use simple eco-evolutionary models to show that a certain type of population dynamics, boom-bust dynamics, can allow for the evolution of much larger amounts of diversity than would be expected with stable equilibrium dynamics. Boom-bust dynamics are characterized by long periods of almost exponential growth (boom) and a subsequent population crash due to competition (bust). When such ecological dynamics are incorporated into an evolutionary model that allows for adaptive diversification in continuous phenotype spaces, desynchronization of the boom-bust cycles of coexisting species can lead to the maintenance of high levels of diversity.

摘要

生物多样性的起源和维持的过程和机制一直是生态学和进化的核心问题。竞争排斥原理表明,共存物种的数量受资源数量或物种对资源利用的相似性限制。海洋中单细胞生命的极端多样性等自然系统提供了反例。已知,纳入种群波动的数学模型可能导致对排斥原理的违反。在这里,我们使用简单的生态进化模型表明,某种类型的种群动态,繁荣-萧条动态,可以允许进化出比稳定平衡动态所预期的更多的多样性。繁荣-萧条动态的特征是长时间的几乎指数增长(繁荣)和随后由于竞争而导致的种群崩溃(萧条)。当这种生态动态被纳入允许在连续表型空间中进行适应性多样化的进化模型时,共存物种的繁荣-萧条周期的失同步可以导致高水平多样性的维持。

https://cdn.ncbi.nlm.nih.gov/pmc/blobs/8ddc/8065032/da0bc71ecc29/42003_2021_2021_Fig6_HTML.jpg
https://cdn.ncbi.nlm.nih.gov/pmc/blobs/8ddc/8065032/13a7af157e50/42003_2021_2021_Fig1_HTML.jpg
https://cdn.ncbi.nlm.nih.gov/pmc/blobs/8ddc/8065032/5ea1775daf44/42003_2021_2021_Fig2_HTML.jpg
https://cdn.ncbi.nlm.nih.gov/pmc/blobs/8ddc/8065032/01afa6d44254/42003_2021_2021_Fig3_HTML.jpg
https://cdn.ncbi.nlm.nih.gov/pmc/blobs/8ddc/8065032/c09be23bea5b/42003_2021_2021_Fig4_HTML.jpg
https://cdn.ncbi.nlm.nih.gov/pmc/blobs/8ddc/8065032/e229189e4f69/42003_2021_2021_Fig5_HTML.jpg
https://cdn.ncbi.nlm.nih.gov/pmc/blobs/8ddc/8065032/da0bc71ecc29/42003_2021_2021_Fig6_HTML.jpg
https://cdn.ncbi.nlm.nih.gov/pmc/blobs/8ddc/8065032/13a7af157e50/42003_2021_2021_Fig1_HTML.jpg
https://cdn.ncbi.nlm.nih.gov/pmc/blobs/8ddc/8065032/5ea1775daf44/42003_2021_2021_Fig2_HTML.jpg
https://cdn.ncbi.nlm.nih.gov/pmc/blobs/8ddc/8065032/01afa6d44254/42003_2021_2021_Fig3_HTML.jpg
https://cdn.ncbi.nlm.nih.gov/pmc/blobs/8ddc/8065032/c09be23bea5b/42003_2021_2021_Fig4_HTML.jpg
https://cdn.ncbi.nlm.nih.gov/pmc/blobs/8ddc/8065032/e229189e4f69/42003_2021_2021_Fig5_HTML.jpg
https://cdn.ncbi.nlm.nih.gov/pmc/blobs/8ddc/8065032/da0bc71ecc29/42003_2021_2021_Fig6_HTML.jpg

相似文献

1
Boom-bust population dynamics increase diversity in evolving competitive communities.兴衰人口动态增加了进化竞争群落中的多样性。
Commun Biol. 2021 Apr 23;4(1):502. doi: 10.1038/s42003-021-02021-4.
2
Boom-bust dynamics in biological invasions: towards an improved application of the concept.生物入侵中的兴衰动态:迈向该概念的改进应用。
Ecol Lett. 2017 Oct;20(10):1337-1350. doi: 10.1111/ele.12822. Epub 2017 Aug 17.
3
Evolution of diversity in metabolic strategies.代谢策略多样性的演化。
Elife. 2021 Aug 5;10:e67764. doi: 10.7554/eLife.67764.
4
Evolutionarily stable communities: a framework for understanding the role of trait evolution in the maintenance of diversity.进化稳定群落:理解特征进化在维持多样性中的作用的框架。
Ecol Lett. 2018 Dec;21(12):1853-1868. doi: 10.1111/ele.13142. Epub 2018 Sep 11.
5
Mechanism matters: the cause of fluctuations in boom-bust populations governs optimal habitat restoration strategy.机制至关重要:繁荣-萧条种群波动的原因决定了最佳栖息地恢复策略。
Ecol Appl. 2018 Mar;28(2):356-372. doi: 10.1002/eap.1652. Epub 2018 Jan 19.
6
Unlimited niche packing in a Lotka-Volterra competition game.洛特卡-沃尔泰拉竞争博弈中的无限生态位填充
Theor Popul Biol. 2017 Aug;116:1-17. doi: 10.1016/j.tpb.2017.04.003. Epub 2017 May 8.
7
Competitive Exclusion and Axiomatic Set-Theory: De Morgan's Laws, Ecological Virtual Processes, Symmetries and Frozen Diversity.竞争排斥与公理集合论:德摩根定律、生态虚拟过程、对称性与冻结多样性
Acta Biotheor. 2016 Mar;64(1):85-98. doi: 10.1007/s10441-016-9275-2. Epub 2016 Jan 22.
8
Persistence of high diversity in non-equilibrium ecological communities: implications for modern and fossil ecosystems.非平衡生态群落中高多样性的持续存在:对现代和化石生态系统的意义。
Proc Biol Sci. 2012 Jan 22;279(1727):230-6. doi: 10.1098/rspb.2011.0936. Epub 2011 Jun 8.
9
Effects of rapid evolution on species coexistence.快速进化对物种共存的影响。
Proc Natl Acad Sci U S A. 2019 Feb 5;116(6):2112-2117. doi: 10.1073/pnas.1816298116. Epub 2019 Jan 18.
10
Modeling herbivore functional responses causing boom-bust dynamics following predator removal.模拟食草动物在捕食者移除后引发兴衰动态的功能反应。
Ecol Evol. 2021 Feb 7;11(5):2209-2220. doi: 10.1002/ece3.7185. eCollection 2021 Mar.

引用本文的文献

1
A minimal model of panimmunity maintenance by horizontal gene transfer in the ecological dynamics of bacteria and phages.细菌和噬菌体生态动力学中通过水平基因转移维持泛免疫的最小模型。
Proc Natl Acad Sci U S A. 2025 Aug 5;122(31):e2417628122. doi: 10.1073/pnas.2417628122. Epub 2025 Aug 1.
2
Drivers of antimicrobial resistance in pig production systems of Uganda.乌干达生猪养殖系统中抗菌素耐药性的驱动因素。
Commun Earth Environ. 2025;6(1):517. doi: 10.1038/s43247-025-02506-8. Epub 2025 Jul 2.
3
Sustainable fishing harvest rates for fluctuating fish and invertebrate stocks.

本文引用的文献

1
Environmental dimensionality determines species coexistence.环境维度决定物种共存。
J Theor Biol. 2021 Oct 7;526:110280. doi: 10.1016/j.jtbi.2020.110280. Epub 2020 Apr 23.
2
Competition-driven evolution of organismal complexity.竞争驱动的生物复杂性进化。
PLoS Comput Biol. 2019 Oct 3;15(10):e1007388. doi: 10.1371/journal.pcbi.1007388. eCollection 2019 Oct.
3
The importance of neutral over niche processes in structuring Ediacaran early animal communities.中性过程而非利基过程在构建埃迪卡拉纪早期动物群中的重要性。
波动鱼类和无脊椎动物种群的可持续捕捞收获率。
PLoS One. 2024 Sep 26;19(9):e0307836. doi: 10.1371/journal.pone.0307836. eCollection 2024.
4
Population bottlenecks and sexual recombination shape diatom microevolution.种群瓶颈和有性重组塑造硅藻微观进化。
Ecol Evol. 2024 Jul 31;14(8):e11464. doi: 10.1002/ece3.11464. eCollection 2024 Aug.
5
Biodiversity is enhanced by sequential resource utilization and environmental fluctuations via emergent temporal niches.生物多样性通过新兴的时间生态位,通过连续的资源利用和环境波动而得到增强。
PLoS Comput Biol. 2024 May 13;20(5):e1012049. doi: 10.1371/journal.pcbi.1012049. eCollection 2024 May.
6
Chaotic turnover of rare and abundant species in a strongly interacting model community.强相互作用模型群落中稀有和丰富物种的混乱更替。
Proc Natl Acad Sci U S A. 2024 Mar 12;121(11):e2312822121. doi: 10.1073/pnas.2312822121. Epub 2024 Mar 4.
7
Spatial and temporal heterogeneity alter the cost of plasticity in Pristionchus pacificus.空间和时间异质性改变了太平洋真涡虫的可塑性成本。
PLoS Comput Biol. 2024 Jan 30;20(1):e1011823. doi: 10.1371/journal.pcbi.1011823. eCollection 2024 Jan.
8
Nanoplankton: The dominant vector for carbon export across the Atlantic Southern Ocean in spring.纳米浮游生物:春季穿越南大西洋碳输出的主要载体。
Sci Adv. 2023 Dec;9(48):eadi3059. doi: 10.1126/sciadv.adi3059. Epub 2023 Dec 1.
9
Origins of life: first came evolutionary dynamics.生命的起源:首先出现的是进化动力学。
QRB Discov. 2023 Mar 22;4:e4. doi: 10.1017/qrd.2023.2. eCollection 2023.
10
Jellyfish detritus supports niche partitioning and metabolic interactions among pelagic marine bacteria.水母残体支持浮游海洋细菌的小生境划分和代谢相互作用。
Microbiome. 2023 Jul 21;11(1):156. doi: 10.1186/s40168-023-01598-8.
Ecol Lett. 2019 Dec;22(12):2028-2038. doi: 10.1111/ele.13383. Epub 2019 Sep 12.
4
Multi-species coexistence in Lotka-Volterra competitive systems with crowding effects.Lotka-Volterra 竞争系统中具有拥挤效应的多物种共存。
Sci Rep. 2018 Jan 19;8(1):1198. doi: 10.1038/s41598-017-19044-9.
5
Coevolution Maintains Diversity in the Stochastic "Kill the Winner" Model.协同进化在随机“胜者消亡”模型中维持多样性。
Phys Rev Lett. 2017 Dec 29;119(26):268101. doi: 10.1103/PhysRevLett.119.268101. Epub 2017 Dec 28.
6
Species packing in eco-evolutionary models of seasonally fluctuating environments.季节性波动环境的生态进化模型中的物种聚集
Ecol Lett. 2017 Sep;20(9):1158-1168. doi: 10.1111/ele.12813. Epub 2017 Jul 23.
7
Diversity and Coevolutionary Dynamics in High-Dimensional Phenotype Spaces.高维表型空间中的多样性与协同进化动力学
Am Nat. 2017 Feb;189(2):105-120. doi: 10.1086/689891. Epub 2016 Dec 9.
8
Decoupling function and taxonomy in the global ocean microbiome.全球海洋微生物组中功能与分类的解耦。
Science. 2016 Sep 16;353(6305):1272-7. doi: 10.1126/science.aaf4507.
9
Individual-based models for adaptive diversification in high-dimensional phenotype spaces.用于高维表型空间中适应性多样化的基于个体的模型。
J Theor Biol. 2016 Feb 7;390:97-105. doi: 10.1016/j.jtbi.2015.10.009. Epub 2015 Nov 17.
10
Decoupling physical from biological processes to assess the impact of viruses on a mesoscale algal bloom.将物理过程与生物过程解耦,以评估病毒对中尺度藻华的影响。
Curr Biol. 2014 Sep 8;24(17):2041-6. doi: 10.1016/j.cub.2014.07.046. Epub 2014 Aug 21.