• 文献检索
  • 文档翻译
  • 深度研究
  • 学术资讯
  • Suppr Zotero 插件Zotero 插件
  • 邀请有礼
  • 套餐&价格
  • 历史记录
应用&插件
Suppr Zotero 插件Zotero 插件浏览器插件Mac 客户端Windows 客户端微信小程序
定价
高级版会员购买积分包购买API积分包
服务
文献检索文档翻译深度研究API 文档MCP 服务
关于我们
关于 Suppr公司介绍联系我们用户协议隐私条款
关注我们

Suppr 超能文献

核心技术专利:CN118964589B侵权必究
粤ICP备2023148730 号-1Suppr @ 2026

文献检索

告别复杂PubMed语法,用中文像聊天一样搜索,搜遍4000万医学文献。AI智能推荐,让科研检索更轻松。

立即免费搜索

文件翻译

保留排版,准确专业,支持PDF/Word/PPT等文件格式,支持 12+语言互译。

免费翻译文档

深度研究

AI帮你快速写综述,25分钟生成高质量综述,智能提取关键信息,辅助科研写作。

立即免费体验

一个赛季中每周内及周与周之间的幸福感变化:一项针对精英青年男性足球运动员的队列研究

Intra- and Inter-week Variations of Well-Being Across a Season: A Cohort Study in Elite Youth Male Soccer Players.

作者信息

Nobari Hadi, Fani Maryam, Clemente Filipe Manuel, Carlos-Vivas Jorge, Pérez-Gómez Jorge, Ardigò Luca Paolo

机构信息

Department of Physical Education and Sports, University of Granada, Granada, Spain.

HEME Research Group, Faculty of Sport Sciences, University of Extremadura, Cáceres, Spain.

出版信息

Front Psychol. 2021 Apr 9;12:671072. doi: 10.3389/fpsyg.2021.671072. eCollection 2021.

DOI:10.3389/fpsyg.2021.671072
PMID:33897575
原文链接:https://pmc.ncbi.nlm.nih.gov/articles/PMC8062971/
Abstract

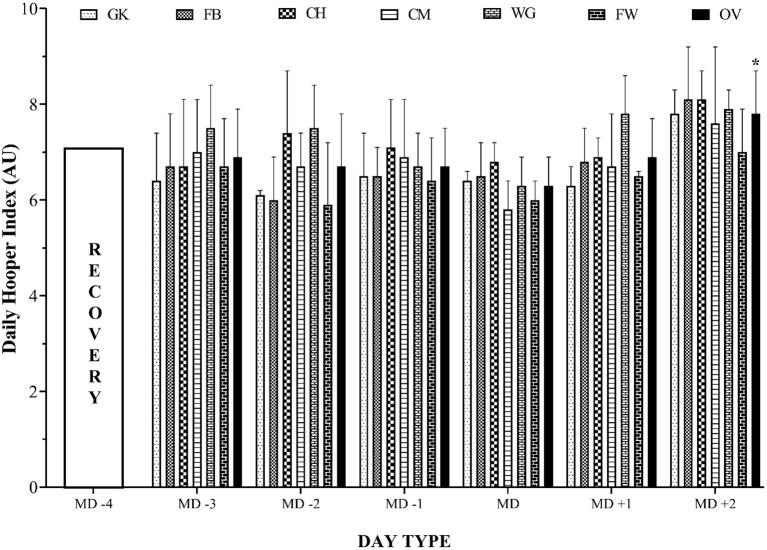
This study describes the weekly variations of well-being ratings relative to fatigue (wFatigue), stress (wStress), delayed-onset muscle soreness (wDOMS), sleep quality (wSleep), and Hooper questionnaire (wHQ) throughout the season. In addition, the well-being variables for the playing position in different moments of the season were discussed. Twenty-one elite young soccer players U17 took part in this study. From the beginning of the pre-season, well-being status was monitored daily by the HQ method throughout 36 weeks, including four periods: (1) pre-season, (2) early-season, (3) mid-season, and (4) end-season. Players trained at least 3 times per week throughout the season. The main outcome was that, in weeks 33 and 28, the highest [wFatigue: 15.85 ± 3.38 arbitrary units (AU); wHQ: 48.86 ± 9.23 AU] and the lowest (wFatigue: 5.38 ± 1.88 AU; wHQ: 20.43 ± 5.49 AU) wFatigue and wHQ occurred, respectively, although the lowest level of wDOMS happened in week 28 (4.86 ± 2.15 AU), while the highest wDOMS was observed in week 5 (14.65 ± 4.16 AU). The highest wSleep (13.00 ± 2.12 AU) and wStress (11.65 ± 2.92 AU) were observed in weeks 8 and 34, respectively, while the lowest wSleep (5.81 ± 2.29 AU) and wStress (3.76 ± 0.94 AU) were marked in week 29 coincidentally. In the HQ between every weekday, except recovery day, and the day of the match (MD), considerable highest HQ was only revealed in 2 days after MD in contrast to overall team comparison. In the present study, we observed that the well-being changes between different phases of the season as well as between weeks and days of the week with the MD are significant. These results provide a great point of view for coaches and practitioners about well-being variations over a season in elite youth soccer level. As a result, coaches will be more aware about non-functional overreaching and taking measures to prevent it.

摘要

本研究描述了整个赛季中,与疲劳(wFatigue)、压力(wStress)、延迟性肌肉酸痛(wDOMS)、睡眠质量(wSleep)以及霍珀问卷(wHQ)相关的幸福感评分的每周变化情况。此外,还讨论了赛季不同阶段不同比赛位置的幸福感变量。21名17岁以下的精英青年足球运动员参与了本研究。从季前赛开始,通过霍珀问卷法在36周内每天监测球员的幸福感状况,包括四个阶段:(1)季前赛,(2)赛季初期,(3)赛季中期,(4)赛季末期。整个赛季球员每周至少训练3次。主要结果是,在第33周和第28周,分别出现了最高的[wFatigue:15.85±3.38任意单位(AU);wHQ:48.86±9.23 AU]和最低的(wFatigue:5.38±1.88 AU;wHQ:20.43±5.49 AU)wFatigue和wHQ,尽管最低水平的wDOMS出现在第28周(4.86±2.15 AU),而最高的wDOMS出现在第5周(14.65±4.16 AU)。最高的wSleep(13.00±2.12 AU)和wStress(11.65±2.92 AU)分别出现在第8周和第34周,而最低的wSleep(5.81±2.29 AU)和wStress(3.76±0.94 AU)巧合地出现在第29周。在每个工作日(休息日除外)与比赛日(MD)之间的霍珀问卷中,与整个球队相比,只有在比赛日后的2天显示出相当高的霍珀问卷得分。在本研究中,我们观察到赛季不同阶段以及与比赛日相关的周与日之间的幸福感变化是显著的。这些结果为教练和从业者提供了关于精英青年足球水平赛季中幸福感变化的重要视角。因此,教练将更清楚非功能性过度训练并采取措施预防。

https://cdn.ncbi.nlm.nih.gov/pmc/blobs/a35a/8062971/3a920cedf00d/fpsyg-12-671072-g0002.jpg
https://cdn.ncbi.nlm.nih.gov/pmc/blobs/a35a/8062971/938880d4f954/fpsyg-12-671072-g0001.jpg
https://cdn.ncbi.nlm.nih.gov/pmc/blobs/a35a/8062971/3a920cedf00d/fpsyg-12-671072-g0002.jpg
https://cdn.ncbi.nlm.nih.gov/pmc/blobs/a35a/8062971/938880d4f954/fpsyg-12-671072-g0001.jpg
https://cdn.ncbi.nlm.nih.gov/pmc/blobs/a35a/8062971/3a920cedf00d/fpsyg-12-671072-g0002.jpg

相似文献

1
Intra- and Inter-week Variations of Well-Being Across a Season: A Cohort Study in Elite Youth Male Soccer Players.一个赛季中每周内及周与周之间的幸福感变化:一项针对精英青年男性足球运动员的队列研究
Front Psychol. 2021 Apr 9;12:671072. doi: 10.3389/fpsyg.2021.671072. eCollection 2021.
2
Fluctuations in Well-Being Based on Position in Elite Young Soccer Players during a Full Season.精英年轻足球运动员在整个赛季中基于场上位置的幸福感波动
Healthcare (Basel). 2021 May 14;9(5):586. doi: 10.3390/healthcare9050586.
3
Association between Training Load and Well-Being Measures in Young Soccer Players during a Season.赛季中年轻足球运动员训练负荷与健康状况测量指标的相关性。
Int J Environ Res Public Health. 2021 Apr 22;18(9):4451. doi: 10.3390/ijerph18094451.
4
Analyzing the Seasonal Changes and Relationships in Training Load and Wellness in Elite Volleyball Players.分析精英排球运动员训练负荷和健康的季节性变化及其关系。
Int J Sports Physiol Perform. 2020 May 1;15(5):731-740. doi: 10.1123/ijspp.2019-0251.
5
Description of acute and chronic load, training monotony and strain over a season and its relationships with well-being status: A study in elite under-16 soccer players.一个赛季中急性和慢性负荷、训练单调性及压力的描述及其与健康状况的关系:一项针对16岁以下精英足球运动员的研究
Physiol Behav. 2020 Oct 15;225:113117. doi: 10.1016/j.physbeh.2020.113117. Epub 2020 Aug 1.
6
Relationships between training load and wellbeing measures across a full season: a study of Turkish national youth wrestlers.整个赛季训练负荷与健康指标之间的关系:一项针对土耳其国家青年摔跤运动员的研究。
Biol Sport. 2023 Apr;40(2):399-408. doi: 10.5114/biolsport.2023.116009. Epub 2022 Jun 1.
7
In-Season Quantification and Relationship of External and Internal Intensity, Sleep Quality, and Psychological or Physical Stressors of Semi-Professional Soccer Players.半职业足球运动员赛季期间外部和内部强度、睡眠质量以及心理或身体应激源的量化及其关系
Biology (Basel). 2022 Mar 18;11(3):467. doi: 10.3390/biology11030467.
8
Tracking Morning Fatigue Status Across In-Season Training Weeks in Elite Soccer Players.追踪精英足球运动员赛季内训练周中的晨倦状态。
Int J Sports Physiol Perform. 2016 Oct;11(7):947-952. doi: 10.1123/ijspp.2015-0490. Epub 2016 Aug 24.
9
Relationship Between Training Load, Neuromuscular Fatigue, and Daily Well-Being in Elite Young Wrestlers.精英青少年摔跤运动员训练负荷、神经肌肉疲劳与日常幸福感之间的关系
Res Q Exerc Sport. 2024 Jun;95(2):303-312. doi: 10.1080/02701367.2023.2198575. Epub 2023 Jun 27.
10
Fluctuations of Training Load Variables in Elite Soccer Players U-14 throughout the Competition Season.14岁以下精英足球运动员在整个比赛赛季中训练负荷变量的波动情况。
Healthcare (Basel). 2021 Oct 21;9(11):1418. doi: 10.3390/healthcare9111418.

引用本文的文献

1
Relationship Between GPS-Derived Variables and Subjective Questionnaires Among Elite Youth Soccer Players.精英青少年足球运动员中基于GPS得出的变量与主观问卷调查之间的关系
Sports (Basel). 2025 Jul 25;13(8):246. doi: 10.3390/sports13080246.
2
Impact of Four-Match Congestion on the Well-Being of Under-16 Male Soccer Players.四场比赛密集赛程对16岁以下男性足球运动员身心健康的影响。
Sports (Basel). 2025 Jun 26;13(7):209. doi: 10.3390/sports13070209.
3
Comparison of external load during differing microcycle structures across two competitive seasons in elite female Portuguese soccer players.

本文引用的文献

1
The effects of 14-week betaine supplementation on endocrine markers, body composition and anthropometrics in professional youth soccer players: a double blind, randomized, placebo-controlled trial.为期 14 周的甜菜碱补充对职业青年足球运动员内分泌标志物、身体成分和人体测量学的影响:一项双盲、随机、安慰剂对照试验。
J Int Soc Sports Nutr. 2021 Mar 4;18(1):20. doi: 10.1186/s12970-021-00417-5.
2
Analysis of Fitness Status Variations of Under-16 Soccer Players Over a Season and Their Relationships With Maturational Status and Training Load.16岁以下足球运动员一个赛季体能状况变化及其与成熟状态和训练负荷的关系分析
Front Physiol. 2021 Feb 5;11:597697. doi: 10.3389/fphys.2020.597697. eCollection 2020.
3
葡萄牙精英女子足球运动员在两个竞争赛季中不同微周期结构下的外部负荷比较。
Front Sports Act Living. 2025 Jun 26;7:1608382. doi: 10.3389/fspor.2025.1608382. eCollection 2025.
4
Identifying Optimal Pitch Training Load in Elite Soccer Players.确定精英足球运动员的最佳音高训练负荷。
J Funct Morphol Kinesiol. 2025 Jun 4;10(2):211. doi: 10.3390/jfmk10020211.
5
Effect of the phase of the season and contextual variables on match running performance in Spanish football teams.季节阶段和情境变量对西班牙足球队比赛跑动表现的影响。
Biol Sport. 2024 Oct;41(4):101-108. doi: 10.5114/biolsport.2024.133667. Epub 2024 Apr 8.
6
Contemporary practices of physical trainers in professional soccer: A qualitative study.职业足球中体能教练的当代实践:一项定性研究。
Front Psychol. 2023 Sep 19;14:1101958. doi: 10.3389/fpsyg.2023.1101958. eCollection 2023.
7
The Association between Training Frequency, Symptoms of Overtraining and Injuries in Young Men Soccer Players.青年男子足球运动员的训练频率、过度训练症状与损伤之间的关系。
Int J Environ Res Public Health. 2023 Apr 11;20(8):5466. doi: 10.3390/ijerph20085466.
8
Effects of Game Weekly Frequency on Subjective Training Load, Wellness, and Injury Rate in Male Elite Soccer Players.游戏每周频率对男性精英足球运动员主观训练负荷、健康和受伤率的影响。
Int J Environ Res Public Health. 2022 Dec 29;20(1):579. doi: 10.3390/ijerph20010579.
9
Weekly Variations of Well-Being and Interactions with Training and Match Intensities: A Descriptive Case Study in Youth Male Soccer Players.周报幸福感变化与训练和比赛强度的相互影响:对青年男性足球运动员的描述性案例研究。
Int J Environ Res Public Health. 2022 Mar 2;19(5):2935. doi: 10.3390/ijerph19052935.
10
Fluctuations of Training Load Variables in Elite Soccer Players U-14 throughout the Competition Season.14岁以下精英足球运动员在整个比赛赛季中训练负荷变量的波动情况。
Healthcare (Basel). 2021 Oct 21;9(11):1418. doi: 10.3390/healthcare9111418.
The effect of two types of combined training on bio-motor ability adaptations in sedentary females.
两种类型的联合训练对久坐女性生物运动能力适应性的影响。
J Sports Med Phys Fitness. 2021 Oct;61(10):1317-1325. doi: 10.23736/S0022-4707.20.11736-5. Epub 2020 Dec 18.
4
Relationships Between Training Workload Parameters with Variations in Anaerobic Power and Change of Direction Status in Elite Youth Soccer Players.关系训练工作量参数与厌氧能力变化和优秀青年足球运动员变向能力变化之间的关系。
Int J Environ Res Public Health. 2020 Oct 29;17(21):7934. doi: 10.3390/ijerph17217934.
5
Description of acute and chronic load, training monotony and strain over a season and its relationships with well-being status: A study in elite under-16 soccer players.一个赛季中急性和慢性负荷、训练单调性及压力的描述及其与健康状况的关系:一项针对16岁以下精英足球运动员的研究
Physiol Behav. 2020 Oct 15;225:113117. doi: 10.1016/j.physbeh.2020.113117. Epub 2020 Aug 1.
6
Variations of training load, monotony, and strain and dose-response relationships with maximal aerobic speed, maximal oxygen uptake, and isokinetic strength in professional soccer players.职业足球运动员的训练负荷、单调性和应变的变化,以及与最大有氧速度、最大摄氧量和等速力量的剂量-反应关系。
PLoS One. 2019 Dec 4;14(12):e0225522. doi: 10.1371/journal.pone.0225522. eCollection 2019.
7
Training load and well-being status variations of elite futsal players across a full season: Comparisons between normal and congested weeks.整个赛季精英五人制足球运动员训练负荷和健康状况的变化:正常周和密集周的比较。
Physiol Behav. 2019 Mar 15;201:123-129. doi: 10.1016/j.physbeh.2019.01.001. Epub 2019 Jan 3.
8
Seasonal player wellness and its longitudinal association with internal training load: study in elite volleyball.季节性运动员健康状况及其与内部训练负荷的纵向关联:精英排球运动研究
J Sports Med Phys Fitness. 2019 Mar;59(3):345-351. doi: 10.23736/S0022-4707.18.08312-3. Epub 2018 Apr 4.
9
Effects of Passive and Active Rest on Physiological Responses and Time Motion Characteristics in Different Small Sided Soccer Games.被动休息和主动休息对不同小型足球比赛中生理反应和时间运动特征的影响。
J Hum Kinet. 2017 Dec 28;60:123-132. doi: 10.1515/hukin-2017-0095. eCollection 2017 Dec.
10
Internal training load and its longitudinal relationship with seasonal player wellness in elite professional soccer.精英职业足球中的内部训练负荷及其与球员赛季健康状况的纵向关系。
Physiol Behav. 2017 Oct 1;179:262-267. doi: 10.1016/j.physbeh.2017.06.021. Epub 2017 Jun 28.