Suppr超能文献

促进水稻生长发育过程中生长点、茎尖、种子和叶脉的形成。

Promotes Growth, Meristem, Seed, and Vein Formation during Rice Plant Development.

机构信息

Department of Biological Sciences, Simon Fraser University, 8888 University Drive, Burnaby, BC V5A 1S6, Canada.

Plant Cell and Developmental Biology, King Abdullah University of Science and Technology, Ibn Al Haytham Bldg.2, Thuwal 23955-6900, Saudi Arabia.

出版信息

Int J Mol Sci. 2021 Apr 15;22(8):4089. doi: 10.3390/ijms22084089.

Abstract

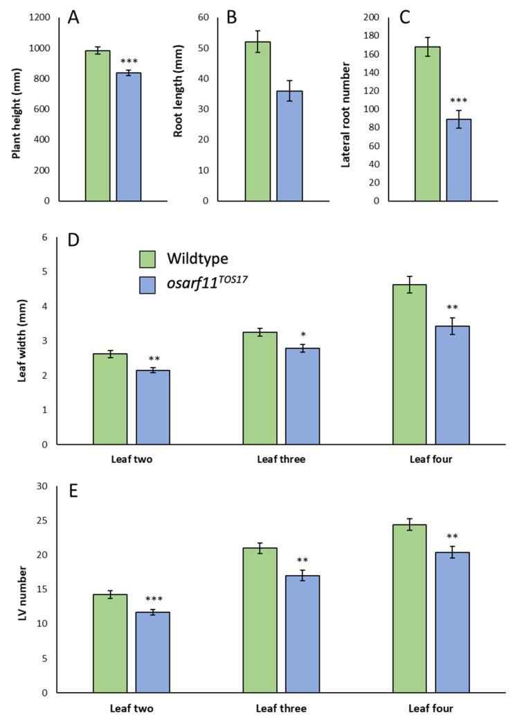
The plant hormone auxin acts as a mediator providing positional instructions in a range of developmental processes. Studies in L. show that auxin acts in large part via activation of Auxin Response Factors (ARFs) that in turn regulate the expression of downstream genes. The rice ( L.) gene is of interest because of its expression in developing rice organs and its high sequence similarity with , a gene with prominent roles in development. We have assessed the phenotype of homozygous insertion mutants in the gene and found that in relation to wildtype, seedlings produced fewer and shorter roots as well as shorter and less wide leaves. Leaves developed fewer veins and larger areoles. Mature plants had a reduced root system, fewer branches per panicle, fewer grains per panicle and fewer filled seeds. Mutants had a reduced sensitivity to auxin-mediated callus formation and inhibition of root elongation, and phenylboronic acid (PBA)-mediated inhibition of vein formation. Taken together, our results implicate in auxin-mediated growth of multiple organs and leaf veins. also appears to play a central role in the formation of lateral root, panicle branch, and grain meristems.

摘要

植物激素生长素作为一种介质,在一系列发育过程中提供位置信息。在拟南芥中的研究表明,生长素主要通过激活生长素响应因子(ARFs)来发挥作用,而生长素响应因子又反过来调节下游基因的表达。水稻(L.)基因之所以引起关注,是因为它在发育中的水稻器官中表达,并与在发育中具有重要作用的基因具有高度的序列相似性。我们评估了 基因纯合插入突变体的表型,发现与野生型相比,突变体的幼苗产生的根较少且较短,叶片较短且较窄。叶片发育的叶脉较少,窝眼较大。成熟的植株根系减少,每穗分枝减少,每穗粒数减少,饱满种子减少。突变体对生长素介导的愈伤组织形成和根伸长抑制以及苯硼酸(PBA)介导的叶脉形成抑制的敏感性降低。综上所述,我们的结果表明 参与了多种器官和叶片叶脉的生长素介导的生长。 似乎也在侧根、穗分枝和谷物分生组织的形成中起核心作用。

https://cdn.ncbi.nlm.nih.gov/pmc/blobs/a100/8071273/da82d372a010/ijms-22-04089-g001.jpg

文献检索

告别复杂PubMed语法,用中文像聊天一样搜索,搜遍4000万医学文献。AI智能推荐,让科研检索更轻松。

立即免费搜索

文件翻译

保留排版,准确专业,支持PDF/Word/PPT等文件格式,支持 12+语言互译。

免费翻译文档

深度研究

AI帮你快速写综述,25分钟生成高质量综述,智能提取关键信息,辅助科研写作。

立即免费体验