• 文献检索
  • 文档翻译
  • 深度研究
  • 学术资讯
  • Suppr Zotero 插件Zotero 插件
  • 邀请有礼
  • 套餐&价格
  • 历史记录
应用&插件
Suppr Zotero 插件Zotero 插件浏览器插件Mac 客户端Windows 客户端微信小程序
定价
高级版会员购买积分包购买API积分包
服务
文献检索文档翻译深度研究API 文档MCP 服务
关于我们
关于 Suppr公司介绍联系我们用户协议隐私条款
关注我们

Suppr 超能文献

核心技术专利:CN118964589B侵权必究
粤ICP备2023148730 号-1Suppr @ 2026

文献检索

告别复杂PubMed语法,用中文像聊天一样搜索,搜遍4000万医学文献。AI智能推荐,让科研检索更轻松。

立即免费搜索

文件翻译

保留排版,准确专业,支持PDF/Word/PPT等文件格式,支持 12+语言互译。

免费翻译文档

深度研究

AI帮你快速写综述,25分钟生成高质量综述,智能提取关键信息,辅助科研写作。

立即免费体验

基于图像的饮食评估方法与1型糖尿病青少年书面食物日记之间的一致性

Agreement between an Image-Based Dietary Assessment Method and a Written Food Diary among Adolescents with Type 1 Diabetes.

作者信息

Heikkilä Laura, Vanhala Marja, Korpelainen Raija, Tossavainen Päivi

机构信息

Department of Sports and Exercise Medicine, Oulu Deaconess Institute Foundation sr., FI-90101 Oulu, Finland.

Center for Life Course Health Research, Faculty of Medicine, University of Oulu, FI-90014 Oulu, Finland.

出版信息

Nutrients. 2021 Apr 16;13(4):1319. doi: 10.3390/nu13041319.

DOI:10.3390/nu13041319
PMID:33923638
原文链接:https://pmc.ncbi.nlm.nih.gov/articles/PMC8072648/
Abstract

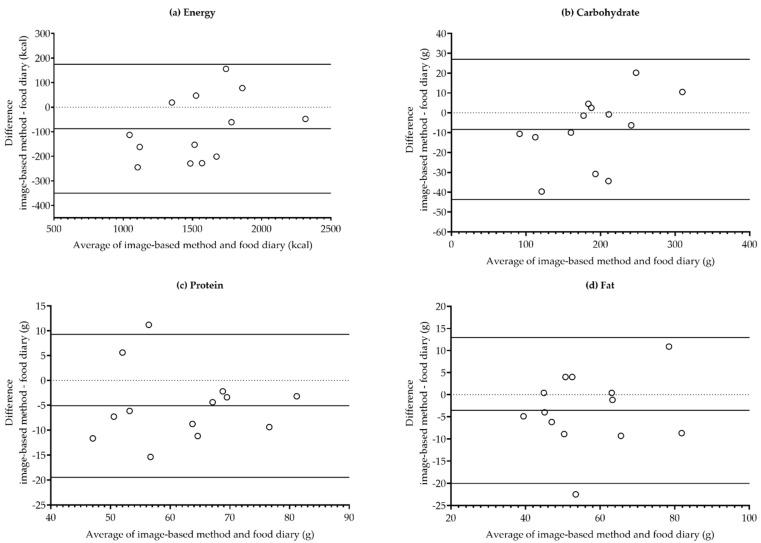
Valid and useful dietary assessment methods for adolescents with type 1 diabetes (T1D) are needed. In this study, we compared an image-based method with a written food diary for dietary intake estimation among adolescents with T1D and evaluated the adolescents' experiences of the methods. Adolescents with T1D aged 13 to 18 years ( = 13) photographed their meals ( = 264) with a mobile phone camera and simultaneously kept a written food diary for four consecutive days. The participants filled out electronic background and feedback questionnaires. The agreement between the methods was evaluated using intraclass correlation coefficients (ICCs) and Bland-Altman plot analyses. The agreement between the methods was moderate to excellent for the energy intake (ICC = 0.91, 95% confidence interval (CI): 0.66 to 0.97, < 0.001) and good to excellent for total carbohydrate intake (ICC = 0.95, 95% CI: 0.84 to 0.99, < 0.001). The adolescents considered photographing easier and faster than keeping a food diary. In conclusion, the image-based method appeared comparable to the food diary for dietary intake estimation among adolescents with T1D. The photographing of meals may become a useful dietary assessment tool for adolescents with T1D, but must be further developed and validated.

摘要

需要为1型糖尿病(T1D)青少年提供有效且实用的饮食评估方法。在本研究中,我们比较了一种基于图像的方法和书面食物日记在T1D青少年饮食摄入量估计中的应用,并评估了青少年对这些方法的体验。13至18岁的T1D青少年( = 13)用手机摄像头拍摄他们的餐食( = 264),并同时连续四天记录书面食物日记。参与者填写了电子背景和反馈问卷。使用组内相关系数(ICC)和布兰德 - 奥特曼图分析来评估方法之间的一致性。两种方法在能量摄入方面的一致性为中等至优秀(ICC = 0.91,95%置信区间(CI):0.66至0.97, < 0.001),在总碳水化合物摄入量方面为良好至优秀(ICC = 0.95,95% CI:0.84至0.99, < 0.001)。青少年认为拍照比记录食物日记更容易、更快。总之,对于T1D青少年的饮食摄入量估计,基于图像的方法似乎与食物日记相当。餐食拍照可能成为T1D青少年有用的饮食评估工具,但必须进一步开发和验证。

https://cdn.ncbi.nlm.nih.gov/pmc/blobs/48cd/8072648/73f5cd96f2c1/nutrients-13-01319-g001.jpg
https://cdn.ncbi.nlm.nih.gov/pmc/blobs/48cd/8072648/73f5cd96f2c1/nutrients-13-01319-g001.jpg
https://cdn.ncbi.nlm.nih.gov/pmc/blobs/48cd/8072648/73f5cd96f2c1/nutrients-13-01319-g001.jpg

相似文献

1
Agreement between an Image-Based Dietary Assessment Method and a Written Food Diary among Adolescents with Type 1 Diabetes.基于图像的饮食评估方法与1型糖尿病青少年书面食物日记之间的一致性
Nutrients. 2021 Apr 16;13(4):1319. doi: 10.3390/nu13041319.
2
Assessment of Dietary Intake Using Food Photography and Video Recording in Free-Living Young Adults: A Comparative Study.使用食物摄影和视频记录评估自由生活的年轻成年人的饮食摄入:一项比较研究。
J Acad Nutr Diet. 2021 Apr;121(4):749-761.e1. doi: 10.1016/j.jand.2020.09.040. Epub 2020 Nov 10.
3
Development of a hand-held personal digital assistant-based food diary with food photographs for Japanese subjects.基于手持个人数字助理并带有食物照片的日本受试者食物日记的开发。
J Am Diet Assoc. 2009 Jul;109(7):1232-6. doi: 10.1016/j.jada.2009.04.013.
4
Validity and Usability of a Smartphone Image-Based Dietary Assessment App Compared to 3-Day Food Diaries in Assessing Dietary Intake Among Canadian Adults: Randomized Controlled Trial.智能手机图像膳食评估应用与 3 天食物日记评估加拿大成年人膳食摄入量的有效性和可用性:随机对照试验。
JMIR Mhealth Uhealth. 2020 Sep 9;8(9):e16953. doi: 10.2196/16953.
5
Evaluation of a smartphone food diary application using objectively measured energy expenditure.使用客观测量的能量消耗对一款智能手机食物日记应用程序进行评估。
Int J Behav Nutr Phys Act. 2017 Mar 14;14(1):30. doi: 10.1186/s12966-017-0488-9.
6
Agreement between an online dietary assessment tool (myfood24) and an interviewer-administered 24-h dietary recall in British adolescents aged 11-18 years.一款在线饮食评估工具(myfood24)与访谈者实施的24小时饮食回顾法在11至18岁英国青少年中的一致性研究。
Br J Nutr. 2016 May;115(9):1678-86. doi: 10.1017/S0007114516000593. Epub 2016 Mar 15.
7
[Evaluation study on a new method of dietary assessment with instant photography applied in urban pregnant women in Nanjing city].[南京市城区孕妇膳食评估新方法——即时摄影法的应用评价研究]
Wei Sheng Yan Jiu. 2015 Jul;44(4):586-92.
8
Carbohydrate Estimation by a Mobile Phone-Based System Versus Self-Estimations of Individuals With Type 1 Diabetes Mellitus: A Comparative Study.基于手机系统的碳水化合物估算与1型糖尿病患者的自我估算:一项对比研究。
J Med Internet Res. 2016 May 11;18(5):e101. doi: 10.2196/jmir.5567.
9
Relative Validity and Reproducibility of a Food Frequency Questionnaire to Assess Food Group Intake in Pregnant Jordanian Women.评估约旦孕妇食物组摄入量的食物频率问卷的相对有效性和可重复性。
J Acad Nutr Diet. 2019 Aug;119(8):1349-1361. doi: 10.1016/j.jand.2019.02.009. Epub 2019 Apr 25.
10
Validity and practicability of smartphone-based photographic food records for estimating energy and nutrient intake.基于智能手机的食物照片记录用于估计能量和营养摄入量的有效性和实用性。
Asia Pac J Clin Nutr. 2017 May;26(3):396-401. doi: 10.6133/apjcn.042016.05.

引用本文的文献

1
Navigating next-gen nutrition care using artificial intelligence-assisted dietary assessment tools-a scoping review of potential applications.使用人工智能辅助饮食评估工具引领下一代营养护理——潜在应用的范围综述
Front Nutr. 2025 Jan 23;12:1518466. doi: 10.3389/fnut.2025.1518466. eCollection 2025.
2
What Is the Tech Missing? Nutrition Reporting in Type 1 Diabetes.科技缺失了什么?1 型糖尿病的营养报告。
Nutrients. 2024 May 29;16(11):1690. doi: 10.3390/nu16111690.
3
Tailored Prompting to Improve Adherence to Image-Based Dietary Assessment: Mixed Methods Study.

本文引用的文献

1
Validity of image-based dietary assessment methods: A systematic review and meta-analysis.基于图像的膳食评估方法的有效性:系统评价和荟萃分析。
Clin Nutr. 2020 Oct;39(10):2945-2959. doi: 10.1016/j.clnu.2020.08.002. Epub 2020 Aug 12.
2
The validity of technology-based dietary assessment methods in childhood and adolescence: a systematic review.基于技术的膳食评估方法在儿童和青少年中的有效性:系统评价。
Crit Rev Food Sci Nutr. 2021;61(7):1065-1080. doi: 10.1080/10408398.2020.1753166. Epub 2020 Apr 20.
3
Evaluation of a Technological Image-Based Dietary Assessment Tool for Children during Pubertal Growth: A Pilot Study.
基于图像的膳食评估依从性的定制提示:混合方法研究。
JMIR Mhealth Uhealth. 2024 Apr 15;12:e52074. doi: 10.2196/52074.
4
Surveying Nutrient Assessment with Photographs of Meals (SNAPMe): A Benchmark Dataset of Food Photos for Dietary Assessment.膳食照片中的营养评估调查 (SNAPMe):用于膳食评估的食物照片基准数据集。
Nutrients. 2023 Nov 30;15(23):4972. doi: 10.3390/nu15234972.
5
Development and validation of a smartphone image-based app for dietary intake assessment among Palestinian undergraduates.开发并验证了一款基于智能手机图像的应用程序,用于评估巴勒斯坦大学生的饮食摄入量。
Sci Rep. 2022 Sep 14;12(1):15467. doi: 10.1038/s41598-022-19545-2.
6
A Mixed-Method Study Exploring Experiences and Perceptions of Nutritionists Regarding Use of an Image-Based Dietary Assessment System in Tanzania.一项混合方法研究,探索坦桑尼亚营养师对使用基于图像的膳食评估系统的经验和看法。
Nutrients. 2022 Jan 18;14(3):417. doi: 10.3390/nu14030417.
基于技术图像的青春期儿童膳食评估工具的评价:一项初步研究。
Nutrients. 2019 Oct 20;11(10):2527. doi: 10.3390/nu11102527.
4
Accuracy in the estimation of children's food portion sizes against a food picture book by parents and early educators.父母和早期教育工作者依据食物绘本对儿童食物份量估计的准确性。
J Nutr Sci. 2018 Dec 27;7:e35. doi: 10.1017/jns.2018.26. eCollection 2018.
5
A Comparative Study on Carbohydrate Estimation: GoCARB vs. Dietitians.碳水化合物估算的比较研究:GoCARB 与营养师。
Nutrients. 2018 Jun 7;10(6):741. doi: 10.3390/nu10060741.
6
Accuracy of Automatic Carbohydrate, Protein, Fat and Calorie Counting Based on Voice Descriptions of Meals in People with Type 1 Diabetes.基于语音描述的 1 型糖尿病患者餐食的自动碳水化合物、蛋白质、脂肪和卡路里计数的准确性。
Nutrients. 2018 Apr 21;10(4):518. doi: 10.3390/nu10040518.
7
Feasibility and relative validity of a digital photo-based dietary assessment: results from the Nutris-Phone study.基于数码相片的膳食评估的可行性和相对有效性:Nutris-Phone 研究结果。
Public Health Nutr. 2019 May;22(7):1160-1167. doi: 10.1017/S1368980018000344. Epub 2018 Mar 6.
8
Pilot Testing a Photo-Based Food Diary in Nine- to Twelve- Year Old- Children from Dunedin, New Zealand.在新西兰达尼丁的 9 至 12 岁儿童中进行基于照片的食物日记的初步测试。
Nutrients. 2018 Feb 20;10(2):240. doi: 10.3390/nu10020240.
9
Validity of the Remote Food Photography Method Against Doubly Labeled Water Among Minority Preschoolers.针对少数族裔学龄前儿童,远程食物摄影法与双标水法对比的有效性研究
Obesity (Silver Spring). 2017 Sep;25(9):1633-1638. doi: 10.1002/oby.21931. Epub 2017 Jul 31.
10
New mobile methods for dietary assessment: review of image-assisted and image-based dietary assessment methods.新的饮食评估移动方法:图像辅助和基于图像的饮食评估方法综述。
Proc Nutr Soc. 2017 Aug;76(3):283-294. doi: 10.1017/S0029665116002913. Epub 2016 Dec 12.