• 文献检索
  • 文档翻译
  • 深度研究
  • 学术资讯
  • Suppr Zotero 插件Zotero 插件
  • 邀请有礼
  • 套餐&价格
  • 历史记录
应用&插件
Suppr Zotero 插件Zotero 插件浏览器插件Mac 客户端Windows 客户端微信小程序
定价
高级版会员购买积分包购买API积分包
服务
文献检索文档翻译深度研究API 文档MCP 服务
关于我们
关于 Suppr公司介绍联系我们用户协议隐私条款
关注我们

Suppr 超能文献

核心技术专利:CN118964589B侵权必究
粤ICP备2023148730 号-1Suppr @ 2026

文献检索

告别复杂PubMed语法,用中文像聊天一样搜索,搜遍4000万医学文献。AI智能推荐,让科研检索更轻松。

立即免费搜索

文件翻译

保留排版,准确专业,支持PDF/Word/PPT等文件格式,支持 12+语言互译。

免费翻译文档

深度研究

AI帮你快速写综述,25分钟生成高质量综述,智能提取关键信息,辅助科研写作。

立即免费体验

65 至 90 岁巴西老年人握力的参考值:来自多中心 Fibra-BR 研究的证据。

Normative reference values of handgrip strength for Brazilian older people aged 65 to 90 years: Evidence from the multicenter Fibra‑BR study.

机构信息

Institute of Social Medicine, Rio de Janeiro State University, Rio de Janeiro, Brazil.

Department of Medicine, Pontifical Catholic University, Puerto Rico, Brazil.

出版信息

PLoS One. 2021 May 4;16(5):e0250925. doi: 10.1371/journal.pone.0250925. eCollection 2021.

DOI:10.1371/journal.pone.0250925
PMID:33945557
原文链接:https://pmc.ncbi.nlm.nih.gov/articles/PMC8096087/
Abstract

BACKGROUND

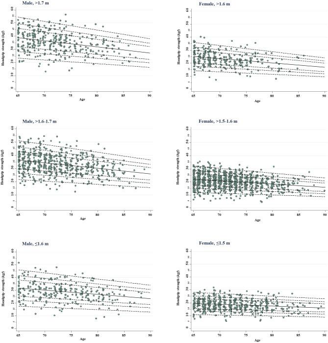
Handgrip strength (HGS) is an indicator of muscle strength, suited for evaluating the aging process. Its use depends on the availability of reliable normative reference values (NRV). The main objective of this study is to provide NRV of HGS for Brazilians aged 65 to 90 years.

METHODS

Participants were from the Frailty in Brazilian Older People research. 2,999 successful aging (SA) participants comprised the development sample. HGS was measured using a hydraulic dynamometer. Obtaining NRV involved regressing HGS on age per sex-height strata, fitting separate fractional polynomial (FP) models for the mean and coefficient of variation. Model fit was assessed via standardized residuals, probability/quantile plots, and comparing observed to normal expected percentages of participants falling within specified centile intervals. For validation, the latter procedure was applied to 2,369 unsuccessfully aging (UA) participants.

RESULTS

Across strata, the best-fitting models for the means were FP of power 1. FP models for the CV indicated age invariance, entailing steady heteroscedastic age decline in SD since coefficients for the means were negative and SD = CV×mean. All models adjusted well. Centiles distributions for the SA and UA populations showed anticipated patterns, respectively falling on and below the normative expected centile references. Results (NRV) are presented in tables and centile charts. Equations are also provided.

CONCLUSION

NRV/charts may be endorsed for routine use, while still tested further. They would aid professionals caring for older people, not only to identify those at risk and eligible for immediate provisions, but also in planning prevention and rehabilitation measures.

摘要

背景

握力(HGS)是肌肉力量的指标,适用于评估衰老过程。其使用取决于是否有可靠的规范参考值(NRV)。本研究的主要目的是为 65 至 90 岁的巴西人提供 HGS 的 NRV。

方法

参与者来自巴西老年人虚弱研究。2999 名成功衰老(SA)参与者构成了开发样本。使用液压测力计测量 HGS。获得 NRV 涉及按性别-身高分层回归 HGS 与年龄的关系,为均值和变异系数拟合单独的分数多项式(FP)模型。通过标准化残差、概率/分位数图以及比较观察到的与特定百分位区间内预期参与者百分比来评估模型拟合情况。为了验证,后一种方法应用于 2369 名未成功衰老(UA)参与者。

结果

在各层中,均值的最佳拟合模型是幂 1 的 FP。CV 的 FP 模型表明年龄不变,这意味着 SD 随年龄呈稳定的异方差下降,因为均值的系数为负且 SD = CV×mean。所有模型都调整得很好。SA 和 UA 人群的百分位数分布分别呈现出预期的模式,分别落在和低于规范预期的百分位参考值上。结果(NRV)以表格和百分位图表的形式呈现。还提供了方程。

结论

NRV/图表可以得到认可并常规使用,同时仍需要进一步测试。它们将有助于照顾老年人的专业人员,不仅可以识别有风险和有资格获得即时供应的人,还可以规划预防和康复措施。

https://cdn.ncbi.nlm.nih.gov/pmc/blobs/d359/8096087/b8faedeb3eab/pone.0250925.g001.jpg
https://cdn.ncbi.nlm.nih.gov/pmc/blobs/d359/8096087/b8faedeb3eab/pone.0250925.g001.jpg
https://cdn.ncbi.nlm.nih.gov/pmc/blobs/d359/8096087/b8faedeb3eab/pone.0250925.g001.jpg

相似文献

1
Normative reference values of handgrip strength for Brazilian older people aged 65 to 90 years: Evidence from the multicenter Fibra‑BR study.65 至 90 岁巴西老年人握力的参考值:来自多中心 Fibra-BR 研究的证据。
PLoS One. 2021 May 4;16(5):e0250925. doi: 10.1371/journal.pone.0250925. eCollection 2021.
2
Nationwide handgrip strength values and factors associated with muscle weakness in older adults: findings from the Brazilian Longitudinal Study of Aging (ELSI-Brazil).全国老年人握力值及与肌肉无力相关因素:巴西老龄化纵向研究(ELSI-Brazil)的结果。
BMC Geriatr. 2022 Dec 30;22(1):1005. doi: 10.1186/s12877-022-03721-0.
3
Handgrip strength and muscle quality in Australian women: cross-sectional data from the Geelong Osteoporosis Study.澳大利亚女性的握力和肌肉质量:来自 Geelong 骨质疏松研究的横断面数据。
J Cachexia Sarcopenia Muscle. 2020 Jun;11(3):690-697. doi: 10.1002/jcsm.12544. Epub 2020 Feb 15.
4
Reference values and factors associated with hand grip strength among older adults living in southeastern Poland.居住在波兰东南部的老年人手握力的参考值及相关因素。
Sci Rep. 2021 May 11;11(1):9950. doi: 10.1038/s41598-021-89408-9.
5
Normative values of hand grip strength in a large unselected Chinese population: Evidence from the China National Health Survey.中国大规模未选择人群的握力正常值:来自中国健康调查的证据。
J Cachexia Sarcopenia Muscle. 2023 Jun;14(3):1312-1321. doi: 10.1002/jcsm.13223. Epub 2023 Mar 31.
6
Handgrip strength: Normative reference values in males and females aged 6-64 Years old in a Colombian population.握力:哥伦比亚人群中 6-64 岁男性和女性的正常值参考范围。
Clin Nutr ESPEN. 2021 Aug;44:379-386. doi: 10.1016/j.clnesp.2021.05.009. Epub 2021 May 26.
7
Strong or Weak Handgrip? Normative Reference Values for the German Population across the Life Course Stratified by Sex, Age, and Body Height.握力强还是弱?德国人群一生中按性别、年龄和身高分层的标准参考值。
PLoS One. 2016 Oct 4;11(10):e0163917. doi: 10.1371/journal.pone.0163917. eCollection 2016.
8
Hand-grip strength among older adults in Singapore: a comparison with international norms and associative factors.新加坡老年人的握力:与国际标准及相关因素的比较
BMC Geriatr. 2017 Aug 4;17(1):176. doi: 10.1186/s12877-017-0565-6.
9
Handgrip Strength Cannot Be Assumed a Proxy for Overall Muscle Strength.握力不能被视为整体肌肉力量的替代指标。
J Am Med Dir Assoc. 2018 Aug;19(8):703-709. doi: 10.1016/j.jamda.2018.04.019. Epub 2018 Jun 20.
10
Reference values for handgrip strength: data from the Tianjin Chronic Low-Grade Systemic Inflammation and Health (TCLSIH) cohort study.握力参考值:来自天津慢性低度系统性炎症与健康(TCLSIH)队列研究的数据。
Age Ageing. 2020 Feb 27;49(2):233-238. doi: 10.1093/ageing/afz148.

引用本文的文献

1
International norms for adult handgrip strength: A systematic review of data on 2.4 million adults aged 20 to 100+ years from 69 countries and regions.成人握力的国际规范:对来自69个国家和地区的240万年龄在20岁至100岁以上成年人的数据进行的系统综述。
J Sport Health Sci. 2024 Dec 6;14:101014. doi: 10.1016/j.jshs.2024.101014.
2
Identification of the needs and priorities of older people and stakeholders in rural and urban areas of Santo Andre, Brazil.巴西圣安德烈市农村和城市地区老年人及利益相关者的需求和优先事项的确定。
PLoS One. 2024 May 9;19(5):e0297489. doi: 10.1371/journal.pone.0297489. eCollection 2024.
3
Validity and reliability of SEIS-3: An instrument for subjective measuring of strength in older adults.

本文引用的文献

1
The association between hand grip strength and rehabilitation outcome in post-acute hip fractured patients.手部握力与急性髋部骨折后康复结果的相关性。
Aging Clin Exp Res. 2019 Oct;31(10):1509-1516. doi: 10.1007/s40520-019-01200-y. Epub 2019 Apr 16.
2
Hand grip strength: Reference values for adults and elderly people of Rio Branco, Acre, Brazil.手握力:巴西阿克里州里奥布兰科市成年人和老年人的参考值。
PLoS One. 2019 Jan 31;14(1):e0211452. doi: 10.1371/journal.pone.0211452. eCollection 2019.
3
Sarcopenia: revised European consensus on definition and diagnosis.
SEIS-3的效度与信度:一种用于主观测量老年人力量的工具。
MethodsX. 2023 Dec 4;12:102512. doi: 10.1016/j.mex.2023.102512. eCollection 2024 Jun.
4
Prevalence of dynapenia and overlap with disability, depression, and executive dysfunction.动力不足的流行率及其与残疾、抑郁和执行功能障碍的重叠。
Rev Saude Publica. 2023 Aug 4;57:43. doi: 10.11606/s1518-8787.2023057004580. eCollection 2023.
5
Nationwide handgrip strength values and factors associated with muscle weakness in older adults: findings from the Brazilian Longitudinal Study of Aging (ELSI-Brazil).全国老年人握力值及与肌肉无力相关因素:巴西老龄化纵向研究(ELSI-Brazil)的结果。
BMC Geriatr. 2022 Dec 30;22(1):1005. doi: 10.1186/s12877-022-03721-0.
6
Correction: Normative reference values of handgrip strength for Brazilian older people aged 65 to 90 years: Evidence from the multicenter Fibra‑BR study.更正:巴西65至90岁老年人握力的标准参考值:来自多中心Fibra‑BR研究的证据。
PLoS One. 2022 Mar 17;17(3):e0265915. doi: 10.1371/journal.pone.0265915. eCollection 2022.
肌少症:定义和诊断的欧洲共识修订版。
Age Ageing. 2019 Jan 1;48(1):16-31. doi: 10.1093/ageing/afy169.
4
Prevalence of and factors associated with successful aging in Brazilian older adults: Frailty in Brazilian older people Study (FIBRA RJ).巴西老年人中成功老龄化的流行情况及相关因素:巴西老年人脆弱性研究(FIBRA RJ)。
Geriatr Gerontol Int. 2018 Aug;18(8):1280-1285. doi: 10.1111/ggi.13334. Epub 2018 May 2.
5
Reference values for hand grip strength in the South Korean population.韩国人群手握力参考值。
PLoS One. 2018 Apr 6;13(4):e0195485. doi: 10.1371/journal.pone.0195485. eCollection 2018.
6
Reference values of hand-grip dynamometry and the relationship between low strength and mortality in older Chileans.智利老年人握力测定的参考值与低强度和死亡率的关系。
Clin Interv Aging. 2018 Feb 22;13:317-324. doi: 10.2147/CIA.S152946. eCollection 2018.
7
Reference Values of Grip Strength, Prevalence of Low Grip Strength, and Factors Affecting Grip Strength Values in Chinese Adults.中国人握力参考值、低握力流行率及影响握力值的因素。
J Am Med Dir Assoc. 2017 Jun 1;18(6):551.e9-551.e16. doi: 10.1016/j.jamda.2017.03.006. Epub 2017 Apr 29.
8
Age-related normative values for handgrip strength and grip strength's usefulness as a predictor of mortality and both cognitive and physical decline in older adults in northwest Russia.俄罗斯西北部老年人握力的年龄相关规范值以及握力作为死亡率、认知和身体衰退预测指标的效用。
J Musculoskelet Neuronal Interact. 2017 Mar 1;17(1):417-432.
9
Grip strength reference values for Canadians aged 6 to 79: Canadian Health Measures Survey, 2007 to 2013.6 至 79 岁加拿大人握力参考值:2007 至 2013 年加拿大健康测量调查。
Health Rep. 2016 Oct 19;27(10):3-10.
10
Normative Values of Hand Grip Strength for Elderly Singaporeans Aged 60 to 89 Years: A Cross-Sectional Study.60至89岁新加坡老年人握力的标准值:一项横断面研究。
J Am Med Dir Assoc. 2016 Sep 1;17(9):864.e1-7. doi: 10.1016/j.jamda.2016.06.013.