Suppr超能文献

一项为K奖获得者提供方法指导并促进强大研究团队发展的创新计划:RAMP导师。

An innovative program to provide methodological mentoring and to foster the development of robust research teams for K awardees: RAMP Mentors.

作者信息

Rasmussen-Torvik Laura J, Daniels Lauren A, Herzog Keith A, Traw Emily J, Fleming Michael F, Pope Richard M, Lloyd-Jones Donald M, Welty Leah J

机构信息

Department of Preventive Medicine, Northwestern University Feinberg School of Medicine, Chicago, IL, USA.

Northwestern University Clinical and Translational Science Institute, Chicago, IL, USA.

出版信息

J Clin Transl Sci. 2020 Sep 4;5(1):e43. doi: 10.1017/cts.2020.536.

Abstract

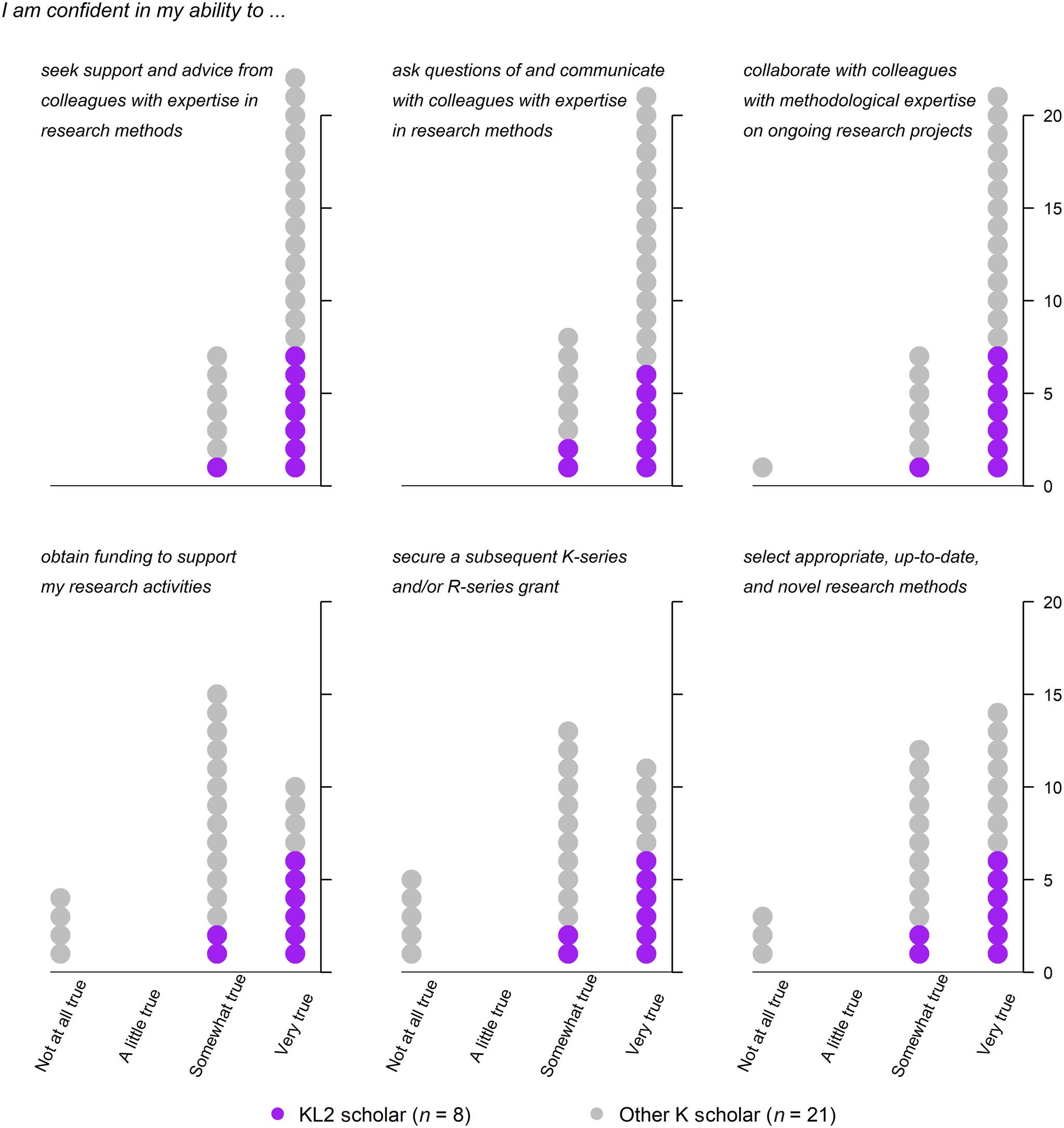
Within the Biostatistics, Epidemiology, and Research Design (BERD) component of the Northwestern University Clinical and Translational Sciences Institute, we created a mentoring program to complement training provided by the associated Multidisciplinary Career Development Program (KL2). Called Research design Analysis Methods Program (RAMP) Mentors, the program provides each KL2 scholar with individualized, hands-on mentoring in biostatistics, epidemiology, informatics, and related fields, with the goal of building multidisciplinary research teams. From 2015 to 2019, RAMP Mentors paired 8 KL2 scholars with 16 individually selected mentors. Mentors had funded/protected time to meet at least monthly with their scholar to provide advice and instruction on methods for ongoing research, including incorporating novel techniques. RAMP Mentors has been evaluated through focus groups and surveys. KL2 scholars reported high satisfaction with RAMP Mentors and confidence in their ability to establish and maintain methodologic collaborations. Compared with other Northwestern University K awardees, KL2 scholars reported higher confidence in obtaining research funding, including subsequent K or R awards, and selecting appropriate, up-to-date research methods. RAMP Mentors is a promising partnership between a BERD group and KL2 program, promoting methodologic education and building multidisciplinary research teams for junior investigators pursuing clinical and translational research.

摘要

在西北大学临床与转化科学研究所的生物统计学、流行病学和研究设计(BERD)部门,我们创建了一个指导计划,以补充相关多学科职业发展计划(KL2)提供的培训。该计划名为研究设计分析方法计划(RAMP)导师计划,为每位KL2学者提供生物统计学、流行病学、信息学及相关领域的个性化实践指导,目标是组建多学科研究团队。2015年至2019年期间,RAMP导师计划为8名KL2学者与16名经个别挑选的导师进行了配对。导师有专门的时间用于与他们的学者至少每月会面一次,就正在进行的研究方法,包括采用新技术,提供建议和指导。RAMP导师计划已通过焦点小组和调查进行了评估。KL2学者对RAMP导师计划表示高度满意,并对自己建立和维持方法学合作的能力充满信心。与西北大学其他获得K奖的人相比,KL2学者在获得研究资金(包括后续的K奖或R奖)以及选择合适的最新研究方法方面表现出更高的信心。RAMP导师计划是BERD小组与KL2计划之间一个很有前景的合作关系,为从事临床和转化研究的初级研究人员促进方法学教育并组建多学科研究团队。

https://cdn.ncbi.nlm.nih.gov/pmc/blobs/ec4e/8057491/38e8e9119e85/S2059866120005361_fig1.jpg

文献AI研究员

20分钟写一篇综述,助力文献阅读效率提升50倍。

立即体验

用中文搜PubMed

大模型驱动的PubMed中文搜索引擎

马上搜索

文档翻译

学术文献翻译模型,支持多种主流文档格式。

立即体验