Suppr超能文献

MEDLINE 检索问题:五个供应商平台的纵向查询分析。

MEDLINE search retrieval issues: A longitudinal query analysis of five vendor platforms.

机构信息

School of Information Science, University of Kentucky, Lexington, Kentucky, United States of America.

Taubman Health Sciences Library, University of Michigan, Ann Arbor, Michigan, United States of America.

出版信息

PLoS One. 2021 May 6;16(5):e0234221. doi: 10.1371/journal.pone.0234221. eCollection 2021.

Abstract

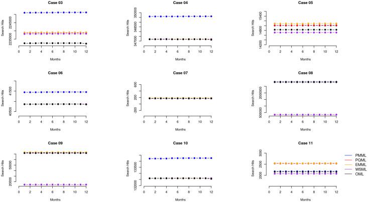
This study compared the results of data collected from a longitudinal query analysis of the MEDLINE database hosted on multiple platforms that include PubMed, EBSCOHost, Ovid, ProQuest, and Web of Science. The goal was to identify variations among the search results on the platforms after controlling for search query syntax. We devised twenty-nine cases of search queries comprised of five semantically equivalent queries per case to search against the five MEDLINE database platforms. We ran our queries monthly for a year and collected search result count data to observe changes. We found that search results varied considerably depending on MEDLINE platform. Reasons for variations were due to trends in scholarly publication such as publishing individual papers online first versus complete issues. Some other reasons were metadata differences in bibliographic records; differences in the levels of specificity of search fields provided by the platforms and large fluctuations in monthly search results based on the same query. Database integrity and currency issues were observed as each platform updated its MEDLINE data throughout the year. Specific biomedical bibliographic databases are used to inform clinical decision-making, create systematic reviews, and construct knowledge bases for clinical decision support systems. They serve as essential information retrieval and discovery tools to help identify and collect research data and are used in a broad range of fields and as the basis of multiple research designs. This study should help clinicians, researchers, librarians, informationists, and others understand how these platforms differ and inform future work in their standardization.

摘要

本研究比较了从多个平台上的 MEDLINE 数据库进行的纵向查询分析中收集的数据结果,这些平台包括 PubMed、EBSCOHost、Ovid、ProQuest 和 Web of Science。目的是在控制搜索查询语法后,确定这些平台上的搜索结果之间的差异。我们设计了 29 个搜索查询案例,每个案例包含 5 个语义等效的查询,用于针对 5 个 MEDLINE 数据库平台进行搜索。我们每月运行一次查询,收集搜索结果计数数据以观察变化。我们发现,搜索结果因 MEDLINE 平台而异。变化的原因是学术出版趋势的不同,例如先在线发布单篇论文而不是完整的期刊。其他一些原因是书目记录中的元数据差异;平台提供的搜索字段的特异性水平不同;以及基于相同查询的每月搜索结果的大幅波动。在整个一年中,每个平台都在更新其 MEDLINE 数据,我们观察到数据库的完整性和时效性问题。特定的生物医学书目数据库用于为临床决策提供信息、创建系统评价以及构建临床决策支持系统的知识库。它们是必不可少的信息检索和发现工具,有助于识别和收集研究数据,并在广泛的领域中使用,并作为多种研究设计的基础。本研究应帮助临床医生、研究人员、图书馆员、信息专家和其他人了解这些平台之间的差异,并为未来的标准化工作提供信息。

https://cdn.ncbi.nlm.nih.gov/pmc/blobs/fecf/8101950/542c2bc653e8/pone.0234221.g001.jpg

文献检索

告别复杂PubMed语法,用中文像聊天一样搜索,搜遍4000万医学文献。AI智能推荐,让科研检索更轻松。

立即免费搜索

文件翻译

保留排版,准确专业,支持PDF/Word/PPT等文件格式,支持 12+语言互译。

免费翻译文档

深度研究

AI帮你快速写综述,25分钟生成高质量综述,智能提取关键信息,辅助科研写作。

立即免费体验