Suppr超能文献

来自Mykinso队列研究的横断面分析:建立日本肠道微生物指标的参考范围。

A cross-sectional analysis from the Mykinso Cohort Study: establishing reference ranges for Japanese gut microbial indices.

作者信息

Watanabe Satoshi, Kameoka Shoichiro, Shinozaki Natsuko O, Kubo Ryuichi, Nishida Akifumi, Kuriyama Minoru, Takeda Aya K

机构信息

Cykinso, Inc., 1-36-1 Yoyogi, Shibuya, Tokyo 151-0053, Japan.

Department of Electrical Engineering and Bioscience, Waseda University, 1-104 Totsuka, Shinjuku-ku, Tokyo 169-8050, Japan.

出版信息

Biosci Microbiota Food Health. 2021;40(2):123-134. doi: 10.12938/bmfh.2020-038. Epub 2021 Feb 10.

Abstract

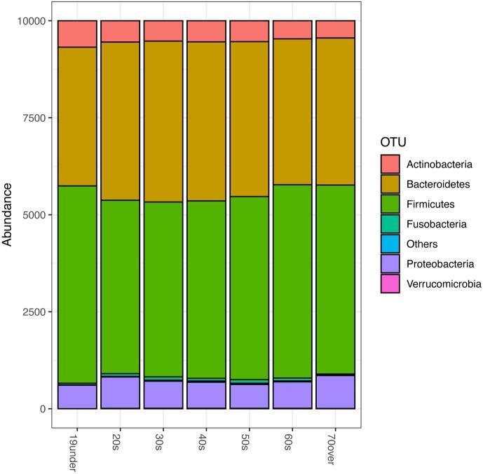
The purpose of this study was to establish reference ranges for gut microbial indices by collecting real-world Japanese microbiome data from a Mykinso cohort. Although several large cohort studies have focused on the human gut microbiome, large cohort studies of the gut microbiome from Japanese populations are scarce, especially from healthy or non-diseased individuals. We collected stool samples and original survey lifestyle information from 5,843 Japanese individuals through the Mykinso gut microbiome testing service. From the obtained 16S rRNA sequence data derived from stool samples, the ratio and distribution of each taxon were analyzed. The relationship between different epidemiological attributes and gut microbial indicators were statistically analyzed. The qualitative and quantitative indicators of these common gut microbiota were confirmed to be strongly correlated with age, sex, constipation/diarrhea, and history of lifestyle-related diseases. Therefore, we set up a healthy sub-cohort that controlled for these attribute factors and defined reference ranges from the distribution of gut microbial index in that population. Taken together, these results show that the gut microbiota of Japanese people had high beta-diversity, with no single "typical" gut microbiota type. We believe that the reference ranges for the gut microbial indices obtained in this study can be new reference values for determining the balance and health of the gut microbiota of an individual. In the future, it is necessary to clarify the clinical validity of these reference values by comparing them with a clinical disease cohort.

摘要

本研究的目的是通过收集来自Mykinso队列的真实世界日本微生物组数据,建立肠道微生物指标的参考范围。尽管有几项大型队列研究关注人类肠道微生物组,但针对日本人群肠道微生物组的大型队列研究却很稀少,尤其是来自健康或未患病个体的研究。我们通过Mykinso肠道微生物组检测服务,从5843名日本个体中收集了粪便样本和原始的调查生活方式信息。从获得的粪便样本16S rRNA序列数据中,分析了每个分类群的比例和分布。对不同流行病学属性与肠道微生物指标之间的关系进行了统计分析。这些常见肠道微生物群的定性和定量指标被证实与年龄、性别、便秘/腹泻以及生活方式相关疾病史密切相关。因此,我们建立了一个控制了这些属性因素的健康亚队列,并根据该人群肠道微生物指标的分布确定了参考范围。综上所述,这些结果表明,日本人的肠道微生物群具有较高的β多样性,没有单一的“典型”肠道微生物群类型。我们认为,本研究中获得的肠道微生物指标参考范围可以作为确定个体肠道微生物群平衡和健康的新参考值。未来,有必要通过与临床疾病队列进行比较来阐明这些参考值的临床有效性。

https://cdn.ncbi.nlm.nih.gov/pmc/blobs/fc45/8099632/67ea482afb41/bmfh-40-123-g001.jpg

文献AI研究员

20分钟写一篇综述,助力文献阅读效率提升50倍。

立即体验

用中文搜PubMed

大模型驱动的PubMed中文搜索引擎

马上搜索

文档翻译

学术文献翻译模型,支持多种主流文档格式。

立即体验